[ Новые сообщения · Участники · Правила форума · Поиск · RSS ]
 
Работай из дома! 18+

  • Страница 1 из 12
  • 1
  • 2
  • 3
  • 11
  • 12
  • »
Решебник по Алгебре. 10 - 11 класс. Мордкович
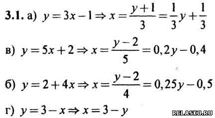
CSKAДата: Среда, 02.09.2015, 13:07 | Сообщение # 1
Полковник
Группа: Проверенные
Сообщений: 169
Награды: 0
Репутация: 0
Статус: Offline


 
Работай из дома! 18+
 
 


Решебник по Алгебре. 10 - 11 класс. Мордкович



Алгебра и начала математического анализа. В двух частях. Ч 2. Задачник для 10-11 классов

А.Г. Мордкович и др., - 6-11 изд. М.: Мнемозина 2011 г.

Профильный и базовый уровень ГДЗ задачника Мордкович предназначен для учеников 10 и 11 класса, что бы онлайн проверить свои знания предмета и посмотреть ответы на готовые домашние задания. Часть 1, 2

Скачать бесплатно ГДЗ. Алгебра и начало математического анализа. 10 класс. Мордкович А. Г. и др

Скачать бесплатно ГДЗ. Алгебра и начало математического анализа. 11 класс. Мордкович А. Г. и др

ОГЛАВЛЕНИЕ ЗАДАЧНИКА:

Глава 1. Числовые функции

§ 1. Определение числовой функции и способы ее задания
§ 2. Свойства функции
§ 3. Обратная функция

Глава 2. Тригонометрические функции

§ 4. Числовая окружность
§ 5. Числовая окружность на координатной плоскости
§ 6. Синус и косинус. Тангенс и котангенс
§ 7. Тригонометрические функции числового аргумента
§ 8. Тригонометрические функции углового аргумента
§ 9. Формулы приведения
§ 10. Функция y = sinx , её свойства и график
§ 11. Функция y = cosx, ее свойства и график
§ 12. Периодичность функций y = sinx, y = cosx
§ 13. Преобразования графиков тригонометрических функций
§ 14. Функции y = tg x, y=ctg x, их свойства и графики

Глава 3. Тригонометрические уравнения

§ 15. Арккосинус. Решение уравнения cos/ = a
§ 16. Арксинус. Решение уравнения sin/ = a
§ 17. Арктангенс и арккотангенс. Решение уравнений tgx = а , ctgx = а
§ 18. Тригонометрические уравнения
Фото: 2136166.jpg (78.6 Kb)


 
 
CSKAДата: Среда, 02.09.2015, 13:08 | Сообщение # 2
Полковник
Группа: Проверенные
Сообщений: 169
Награды: 0
Репутация: 0
Статус: Offline


 
Работай из дома! 18+
 
 


Скачать бесплатно ГДЗ. Алгебра и начало математического анализа. 10 класс. Мордкович А. Г. и др

Скачать бесплатно ГДЗ. Алгебра и начало математического анализа. 11 класс. Мордкович А. Г. и др

Параграф 1: 1, 2, 3, 4, 5, 6, 7, 8, 9, 10, 11, 12, 13, 14, 15, 16, 17, 18, 19

Параграф 2: 1, 2, 3, 4, 5, 6, 7, 8, 9, 10, 11, 12, 13, 14, 15

Параграф 3: 1, 2, 3, 4, 5

Параграф 4: 1, 2, 3, 4, 5, 6, 7, 8, 9, 10, 11, 12, 13, 14, 15, 16, 17, 18, 19

Параграф 5: 1, 2, 3, 4, 5, 6, 7, 8, 9, 10, 11, 12, 13, 14

Параграф 6: 1, 2, 3, 4, 5, 6, 7, 8, 9

Параграф 7: 1, 2, 3, 4, 5, 6, 7, 8, 9, 10, 11, 12, 13, 14, 15, 16, 17, 18, 19, 20

Параграф 8: 1, 2, 3, 4, 5, 6, 7, 8, 9, 10, 11, 12, 13, 14, 15, 16

Параграф 9: 1, 2, 3, 4, 5, 6, 7, 8, 9, 10, 11, 12, 13, 14

Параграф 10: 1, 2, 3, 4, 5, 6, 7, 8, 9, 10, 11, 12, 13, 14, 15, 16, 17, 18

Параграф 11: 1, 2, 3, 4, 5, 6, 7, 8, 9, 10, 11, 12, 13

Параграф 12: 1, 2, 3, 4, 5, 6, 7, 8, 9

Параграф 13: 1, 2, 3, 4, 5, 6, 7, 8, 9, 10, 11, 12, 13, 14, 15, 16, 17, 18, 19, 20

Параграф 14: 1, 2, 3, 4, 5, 6, 7, 8, 9, 10, 11, 12, 13, 14, 15

Параграф 15: 1, 2, 3, 4, 5, 6, 7, 8, 9, 10, 11, 12, 13, 14, 15, 16, 17, 18, 19, 20, 21, 22

Параграф 16: 1, 2, 3, 4, 5

Параграф 17: 1, 2, 3, 4, 5, 6, 7, 8, 9, 10

Параграф 18: 1, 2, 3, 4, 5, 6, 7, 8, 9, 10, 11, 12, 13, 14, 15, 16, 17, 18, 19, 20, 21, 22, 23, 24, 25, 26, 27, 28, 29, 30, 31, 32, 33, 34, 35

Параграф 19: 1, 2, 3, 4, 5, 6, 7, 8, 9, 10, 11, 12, 13, 14, 15, 16, 17, 18, 19, 20, 21, 22, 23, 24, 25, 26

Параграф 20: 1, 2, 3, 4, 5, 6, 7, 8, 9, 10, 11, 12, 13, 14, 15, 16

Параграф 21: 1, 2, 3, 4, 5, 6, 7, 8, 9, 10, 11, 12, 13, 14, 15, 16, 17, 18, 19, 20, 21, 22, 23, 24, 25, 26, 27, 28, 29, 30, 31, 32, 33, 34, 35, 36, 37, 38

Параграф 22: 1, 2, 3, 4, 5, 6, 7, 8, 9, 10, 11, 12, 13, 14, 15, 16, 17, 18, 19, 20, 21, 22

Параграф 23: 1, 2, 3, 4, 5, 6, 7, 8, 9, 10, 11, 12, 13

Параграф 24: 1, 2, 3, 4, 5, 6, 7, 8, 9, 10, 11, 12, 13, 14, 15, 16, 17, 18, 19, 20, 21, 22

Параграф 25: 1, 2, 3, 4, 5, 6, 7, 8, 9, 10, 11, 12, 13, 14, 15

Параграф 26: 1, 2, 3, 4, 5, 6, 7, 8, 9, 10, 11, 12, 13, 14, 15, 16, 17, 18, 19, 20, 21, 22, 23, 24, 25

Параграф 27: 1, 2, 3, 4, 5, 6, 7, 8, 9, 10, 11, 12, 13, 14

Параграф 28: 1, 2, 3, 4, 5, 6, 7, 8, 9, 10, 11, 12, 13, 14, 15, 16, 17, 18, 19, 20

Параграф 29: 1, 2, 3, 4, 5, 6, 7, 8, 9, 10, 11, 12, 13, 14, 15, 16, 17, 18, 19, 20, 21, 22, 23, 24, 25, 26, 27

Параграф 30: 1, 2, 3, 4, 5, 6, 7, 8, 9, 10, 11, 12, 13, 14, 15, 16, 17, 18, 19, 20, 21, 22, 23, 24, 25, 26, 27, 28, 29, 30, 31, 32

Параграф 31: 1, 2, 3, 4, 5, 6, 7, 8, 9, 10, 11, 12, 13, 14, 15

Параграф 32: 1, 2, 3, 4, 5, 6, 7, 8, 9, 10, 11, 12, 13, 14, 15, 16, 17, 18, 19, 20, 21, 22, 23, 24, 25, 26, 27, 28, 29, 30, 31, 32, 33, 34, 35, 36, 37, 38, 39, 40

Параграф 33: 1, 2, 3, 4, 5, 6, 7, 8, 9, 10, 11, 12, 13, 14, 15, 16, 17, 18, 19

Параграф 34: 1, 2, 3, 4, 5, 6, 7, 8, 9, 10, 11, 12, 13, 14, 15, 16, 17, 18, 19, 20, 21, 22

Параграф 35: 1, 2, 3, 4, 5, 6, 7, 8, 9, 10, 11, 12, 13, 14, 15, 16, 17, 18, 19, 20, 21, 22, 23, 24, 25, 26, 27, 28, 29, 30

Параграф 36: 1, 2, 3, 4, 5, 6, 7, 8, 9, 10, 11, 12, 13, 14, 15, 16, 17, 18, 19, 20, 21, 22, 23, 24, 25, 26, 27, 28, 29, 30, 31

Параграф 37: 1, 2, 3, 4, 5, 6, 7, 8, 9, 10, 11, 12, 13, 14, 15, 16, 17, 18, 19, 20, 21, 22, 23, 24, 25, 26, 27, 28, 29, 30, 31, 32, 33

Параграф 38: 1, 2, 3, 4, 5, 6, 7, 8, 9, 10, 11, 12, 13, 14, 15, 16, 17, 18, 19, 20, 21, 22, 23, 24, 25, 26, 27, 28, 29, 30, 31, 32, 33, 34, 35, 36, 37, 38, 39
 
 
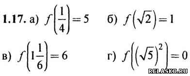
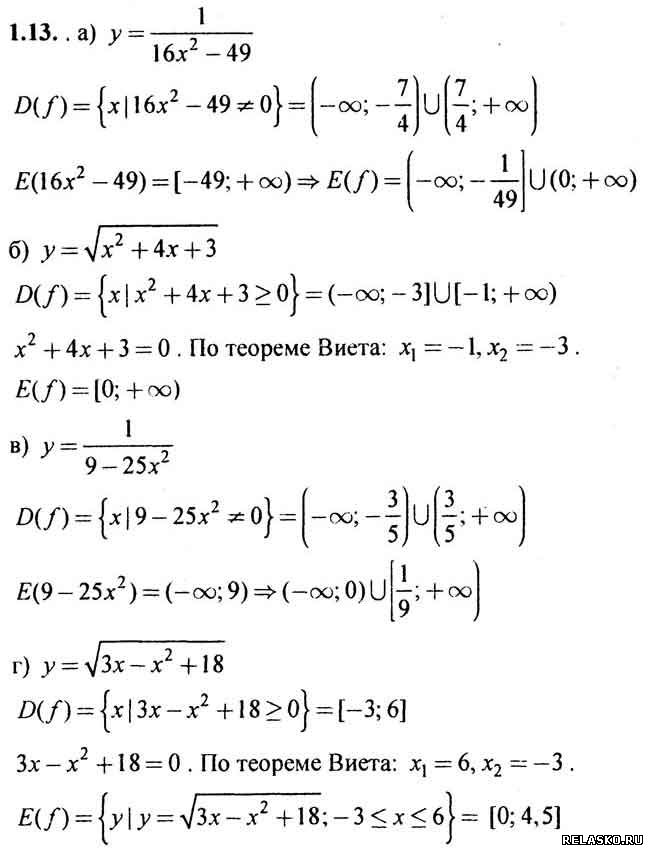
CSKAДата: Среда, 02.09.2015, 13:13 | Сообщение # 3
Полковник
Группа: Проверенные
Сообщений: 169
Награды: 0
Репутация: 0
Статус: Offline


 
Работай из дома! 18+
 
 


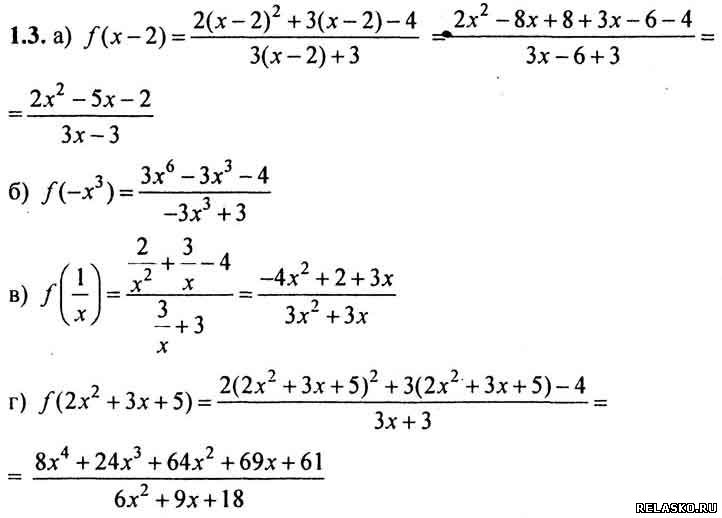
Ответы на задания из параграфа № 1. Мордкович А. Г. Алгебра 10-11 класс.

Для увеличения ответа на задание, нажмите на картинку



---------------------------------------------------------------------



---------------------------------------------------------------------



---------------------------------------------------------------------



---------------------------------------------------------------------



---------------------------------------------------------------------

Перейти в оглавление решебника по Алгебре. Мордкович
Фото: 2088674.jpg (4.6 Kb) · 7343277.jpg (8.3 Kb) · 8185056.jpg (21.6 Kb) · 8560876.jpg (5.4 Kb) · 5742481.jpg (23.3 Kb)


 
 
CSKAДата: Среда, 02.09.2015, 13:21 | Сообщение # 4
Полковник
Группа: Проверенные
Сообщений: 169
Награды: 0
Репутация: 0
Статус: Offline


 
Работай из дома! 18+
 
 


Ответы на задания из параграфа № 1. Мордкович А. Г. Алгебра 10-11 класс.

Для увеличения ответа на задачу, нажмите на картинку



---------------------------------------------------------------------



---------------------------------------------------------------------



---------------------------------------------------------------------



---------------------------------------------------------------------



---------------------------------------------------------------------

Перейти в оглавление решебника по Алгебре. Мордкович
Фото: 1449157.jpg (48.2 Kb) · 1681943.jpg (26.2 Kb) · 1484190.jpg (29.0 Kb) · 0805458.jpg (26.3 Kb) · 8142052.jpg (19.3 Kb)
 
 
CSKAДата: Среда, 02.09.2015, 13:51 | Сообщение # 5
Полковник
Группа: Проверенные
Сообщений: 169
Награды: 0
Репутация: 0
Статус: Offline


 
Работай из дома! 18+
 
 


Ответы на задания из параграфа № 1. Мордкович А. Г. Алгебра 10-11 класс.

Для увеличения ответа на задачу, нажмите на картинку



---------------------------------------------------------------------



---------------------------------------------------------------------



---------------------------------------------------------------------



---------------------------------------------------------------------



---------------------------------------------------------------------

Перейти в оглавление решебника по Алгебре. Мордкович
Фото: 0076060.jpg (36.4 Kb) · 5772878.jpg (25.7 Kb) · 4747956.jpg (36.0 Kb) · 5267888.jpg (24.0 Kb) · 4371274.jpg (30.1 Kb)
 
 
CSKAДата: Среда, 02.09.2015, 13:54 | Сообщение # 6
Полковник
Группа: Проверенные
Сообщений: 169
Награды: 0
Репутация: 0
Статус: Offline


 
Работай из дома! 18+
 
 


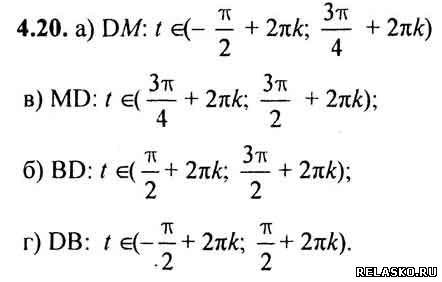
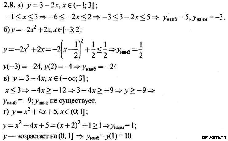
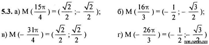
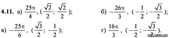
Ответы на задания из параграфа № 1. Мордкович А. Г. Алгебра 10-11 класс.

Для увеличения ответа на задачу, нажмите на картинку



---------------------------------------------------------------------



---------------------------------------------------------------------



---------------------------------------------------------------------



---------------------------------------------------------------------

$IMAGE5$

---------------------------------------------------------------------

Перейти в оглавление решебника по Алгебре. Мордкович
Фото: 3473544.jpg (46.1 Kb) · 1445714.jpg (4.8 Kb) · 6881908.jpg (9.5 Kb) · 2930931.jpg (11.0 Kb)
 
 
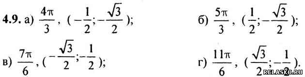
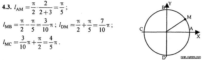
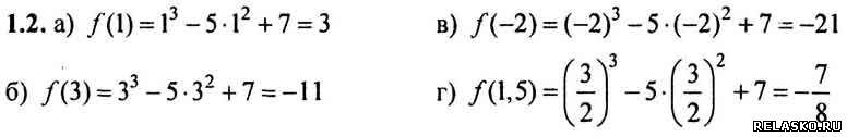
CSKAДата: Среда, 02.09.2015, 13:59 | Сообщение # 7
Полковник
Группа: Проверенные
Сообщений: 169
Награды: 0
Репутация: 0
Статус: Offline


 
Работай из дома! 18+
 
 


Ответы на задания из параграфа № 2. Мордкович А. Г. Алгебра 10-11 класс.

Для увеличения ответа на задачу, нажмите на картинку



---------------------------------------------------------------------



---------------------------------------------------------------------



---------------------------------------------------------------------



---------------------------------------------------------------------



---------------------------------------------------------------------

Перейти в оглавление решебника по Алгебре. Мордкович
Фото: 8956871.jpg (18.9 Kb) · 7147318.jpg (21.5 Kb) · 1545125.jpg (32.9 Kb) · 1670355.jpg (23.2 Kb) · 5716912.jpg (28.1 Kb)
 
 
CSKAДата: Среда, 02.09.2015, 14:00 | Сообщение # 8
Полковник
Группа: Проверенные
Сообщений: 169
Награды: 0
Репутация: 0
Статус: Offline


 
Работай из дома! 18+
 
 


Ответы на задания из параграфа № 2. Мордкович А. Г. Алгебра 10-11 класс.

Для увеличения ответа на задачу, нажмите на картинку



---------------------------------------------------------------------



---------------------------------------------------------------------



---------------------------------------------------------------------



---------------------------------------------------------------------



---------------------------------------------------------------------

Перейти в оглавление решебника по Алгебре. Мордкович
Фото: 9717582.jpg (19.2 Kb) · 1611143.jpg (27.8 Kb) · 6135228.jpg (25.0 Kb) · 5382199.jpg (21.1 Kb) · 0526108.jpg (26.3 Kb)
 
 
CSKAДата: Среда, 02.09.2015, 14:00 | Сообщение # 9
Полковник
Группа: Проверенные
Сообщений: 169
Награды: 0
Репутация: 0
Статус: Offline


 
Работай из дома! 18+
 
 


Ответы на задания из параграфа № 2. Мордкович А. Г. Алгебра 10-11 класс.

Для увеличения ответа на задачу, нажмите на картинку



---------------------------------------------------------------------



---------------------------------------------------------------------



---------------------------------------------------------------------



---------------------------------------------------------------------



---------------------------------------------------------------------

Перейти в оглавление решебника по Алгебре. Мордкович
Фото: 6918221.jpg (21.2 Kb) · 3926398.jpg (23.5 Kb) · 0812149.jpg (21.5 Kb) · 5631219.jpg (26.0 Kb) · 5093008.jpg (24.2 Kb)
 
 
CSKAДата: Среда, 02.09.2015, 14:02 | Сообщение # 10
Полковник
Группа: Проверенные
Сообщений: 169
Награды: 0
Репутация: 0
Статус: Offline


 
Работай из дома! 18+
 
 


Ответы на задания из параграфа № 3. Мордкович А. Г. Алгебра 10-11 класс.

Для увеличения ответа на задачу, нажмите на картинку



---------------------------------------------------------------------



---------------------------------------------------------------------



---------------------------------------------------------------------



---------------------------------------------------------------------



---------------------------------------------------------------------

Перейти в оглавление решебника по Алгебре. Мордкович
Фото: 3076078.jpg (8.4 Kb) · 3834834.jpg (19.2 Kb) · 1684023.jpg (31.8 Kb) · 2008994.jpg (37.4 Kb) · 1194026.jpg (36.0 Kb)
 
 
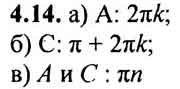
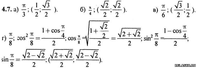
CSKAДата: Среда, 02.09.2015, 14:05 | Сообщение # 11
Полковник
Группа: Проверенные
Сообщений: 169
Награды: 0
Репутация: 0
Статус: Offline


 
Работай из дома! 18+
 
 


Ответы на задания из параграфа № 4. Мордкович А. Г. Алгебра 10-11 класс.

Для увеличения ответа на задачу, нажмите на картинку



---------------------------------------------------------------------



---------------------------------------------------------------------



---------------------------------------------------------------------



---------------------------------------------------------------------



---------------------------------------------------------------------

Перейти в оглавление решебника по Алгебре. Мордкович
Фото: 7544042.jpg (20.9 Kb) · 9239299.jpg (20.0 Kb) · 5348711.jpg (10.9 Kb) · 9787084.jpg (9.6 Kb) · 6941545.jpg (4.5 Kb)
 
 
CSKAДата: Среда, 02.09.2015, 14:06 | Сообщение # 12
Полковник
Группа: Проверенные
Сообщений: 169
Награды: 0
Репутация: 0
Статус: Offline


 
Работай из дома! 18+
 
 


Ответы на задания из параграфа № 4. Мордкович А. Г. Алгебра 10-11 класс.

Для увеличения ответа на задачу, нажмите на картинку



---------------------------------------------------------------------



---------------------------------------------------------------------



---------------------------------------------------------------------



---------------------------------------------------------------------



---------------------------------------------------------------------

Перейти в оглавление решебника по Алгебре. Мордкович
Фото: 7214375.jpg (4.0 Kb) · 6477040.jpg (15.2 Kb) · 5248538.jpg (7.7 Kb) · 8767654.jpg (7.1 Kb) · 9522336.jpg (6.4 Kb)
 
 
CSKAДата: Среда, 02.09.2015, 14:06 | Сообщение # 13
Полковник
Группа: Проверенные
Сообщений: 169
Награды: 0
Репутация: 0
Статус: Offline


 
Работай из дома! 18+
 
 


Ответы на задания из параграфа № 4. Мордкович А. Г. Алгебра 10-11 класс.

Для увеличения ответа на задачу, нажмите на картинку



---------------------------------------------------------------------



---------------------------------------------------------------------



---------------------------------------------------------------------



---------------------------------------------------------------------

$IMAGE5$

---------------------------------------------------------------------

Перейти в оглавление решебника по Алгебре. Мордкович
Фото: 8651594.jpg (7.8 Kb) · 3830267.jpg (28.4 Kb) · 0372427.jpg (11.7 Kb) · 8986007.jpg (2.8 Kb)


 
 
CSKAДата: Среда, 02.09.2015, 14:10 | Сообщение # 14
Полковник
Группа: Проверенные
Сообщений: 169
Награды: 0
Репутация: 0
Статус: Offline


 
Работай из дома! 18+
 
 


Ответы на задания из параграфа № 4. Мордкович А. Г. Алгебра 10-11 класс.

Для увеличения ответа на задачу, нажмите на картинку



---------------------------------------------------------------------



---------------------------------------------------------------------



---------------------------------------------------------------------



---------------------------------------------------------------------



---------------------------------------------------------------------

Продолжение решебника по Алгебре. Мордкович
Фото: 3947641.jpg (6.2 Kb) · 0716571.jpg (2.7 Kb) · 7627366.jpg (2.6 Kb) · 0932021.jpg (8.3 Kb) · 8581969.jpg (9.5 Kb)
 
 
CSKAДата: Среда, 02.09.2015, 14:12 | Сообщение # 15
Полковник
Группа: Проверенные
Сообщений: 169
Награды: 0
Репутация: 0
Статус: Offline


 
Работай из дома! 18+
 
 




Ответы на задания из параграфа № 5. Мордкович А. Г. Алгебра 10-11 класс.

Для увеличения ответа на задачу, нажмите на картинку



---------------------------------------------------------------------



---------------------------------------------------------------------



---------------------------------------------------------------------



---------------------------------------------------------------------



---------------------------------------------------------------------

Перейти в оглавление решебника по Алгебре. Мордкович
Фото: 8949223.jpg (19.3 Kb) · 5741316.jpg (5.7 Kb) · 6554341.jpg (9.3 Kb) · 0135723.jpg (16.7 Kb) · 7780226.jpg (15.9 Kb)
 
 
  • Страница 1 из 12
  • 1
  • 2
  • 3
  • 11
  • 12
  • »
Поиск:

Работай из дома! 18+
 
 
 
 
 
 

 
Последние темы на форуме:
 
  • Новогодние праздники 2021-2022 официальные выходные
  • Показатели давления и сердцебиения у женщины 57 лет
  • Гороскоп на декабрь 2021 Женщина Телец
  • Гороскоп на январь 2022 от Павла Глоба
  • Гороскоп на декабрь 2021 от Павла Глоба
  • Гороскоп на ноябрь 2021 от Павла Глоба
  • Стенограмма судьбы - Содержание серий, актеры и роли сериала
  • Мосгаз. Западня - Содержание серий, актеры и роли 2021
  • Тобол - Содержание серий, актеры и роли сериала. 2021
  • Гороскоп для Тигра на сегодня от Павла Глоба
  • Утраченные воспоминания - Содержание серий, актеры и роли
  • Чёрно-белая любовь - Содержание серий, актеры и роли сериала
  • Забытая женщина - Содержание серий, актеры и роли сериала
  • Тайна спящей дамы - Содержание серий, актеры и роли сериала
  • Сериал Часы с кукушкой - Содержание серий, актеры и роли
  •  
     

     
    Обращаем ваше внимание на то, что данный интернет-сайт www.kinolog.do.am носит исключительно информационный характер и ни при каких условиях не является публичной офертой, определяемой положениями Статьи 437 (2) Гражданского кодекса РФ. Цена и наличие товара может отличаться от действительной. Пожалуйста, уточняйте цены и наличие товара у наших менеджеров.
    Администрация сайта не несет ответственности за действия и содержание размещаемой информации пользователей: комментарии, материалы, сообщения и темы на форуме, публикации, объявления и т.д.
    Правообладателям | Реклама | Учебники | Политика
    Отопление, водоснабжение, газоснабжение, канализация © 2003 - 2021
    Рейтинг@Mail.ru Рейтинг арматурных сайтов. ARMTORG.RU Яндекс.Метрика