[ Новые сообщения · Участники · Правила форума · Поиск · RSS ]
 
Работай из дома! 18+

Решебник по Алгебре. 10 - 11 класс. Мордкович
CSKAДата: Среда, 02.09.2015, 15:48 | Сообщение # 46
Полковник
Группа: Проверенные
Сообщений: 169
Награды: 0
Репутация: 0
Статус: Offline


 
Работай из дома! 18+
 
 


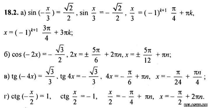
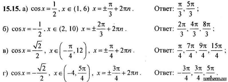
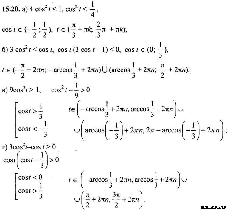
Ответы на задания из параграфа № 15. Мордкович А. Г. Алгебра 10-11 класс.

Для увеличения ответа на задачу, нажмите на картинку



---------------------------------------------------------------------



---------------------------------------------------------------------



---------------------------------------------------------------------



---------------------------------------------------------------------



---------------------------------------------------------------------

Перейти в оглавление решебника по Алгебре. Мордкович
Фото: 4247176.jpg (8.8 Kb) · 9371858.jpg (9.0 Kb) · 8782900.jpg (9.2 Kb) · 4255081.jpg (3.7 Kb) · 0713442.jpg (6.0 Kb)
 
 
CSKAДата: Среда, 02.09.2015, 15:48 | Сообщение # 47
Полковник
Группа: Проверенные
Сообщений: 169
Награды: 0
Репутация: 0
Статус: Offline


 
Работай из дома! 18+
 
 


Ответы на задания из параграфа № 15. Мордкович А. Г. Алгебра 10-11 класс.

Для увеличения ответа на задачу, нажмите на картинку



---------------------------------------------------------------------



---------------------------------------------------------------------



---------------------------------------------------------------------



---------------------------------------------------------------------



---------------------------------------------------------------------

Перейти в оглавление решебника по Алгебре. Мордкович
Фото: 8041102.jpg (3.8 Kb) · 7381799.jpg (14.9 Kb) · 3238516.jpg (14.1 Kb) · 2488283.jpg (18.5 Kb) · 9089867.jpg (17.9 Kb)
 
 
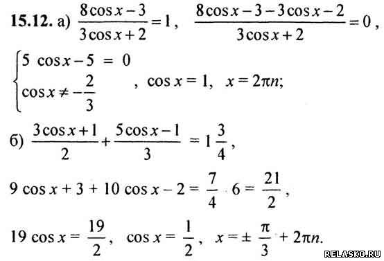
CSKAДата: Среда, 02.09.2015, 15:49 | Сообщение # 48
Полковник
Группа: Проверенные
Сообщений: 169
Награды: 0
Репутация: 0
Статус: Offline


 
Работай из дома! 18+
 
 


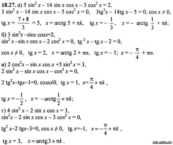
Ответы на задания из параграфа № 15. Мордкович А. Г. Алгебра 10-11 класс.

Для увеличения ответа на задачу, нажмите на картинку



---------------------------------------------------------------------



---------------------------------------------------------------------



---------------------------------------------------------------------



---------------------------------------------------------------------



---------------------------------------------------------------------

Перейти в оглавление решебника по Алгебре. Мордкович
Фото: 8845787.jpg (6.9 Kb) · 7138161.jpg (11.4 Kb) · 4645591.jpg (14.9 Kb) · 6576798.jpg (55.4 Kb) · 8560462.jpg (30.9 Kb)
 
 
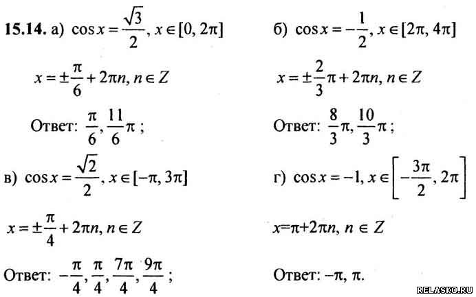
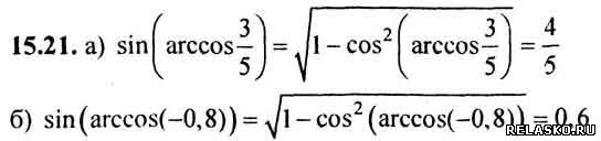
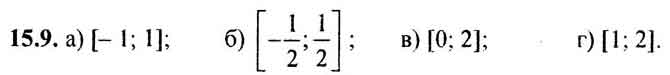
CSKAДата: Среда, 02.09.2015, 15:49 | Сообщение # 49
Полковник
Группа: Проверенные
Сообщений: 169
Награды: 0
Репутация: 0
Статус: Offline


 
Работай из дома! 18+
 
 


Ответы на задания из параграфа № 15. Мордкович А. Г. Алгебра 10-11 класс.

Для увеличения ответа на задачу, нажмите на картинку



---------------------------------------------------------------------



---------------------------------------------------------------------

Перейти в оглавление решебника по Алгебре. Мордкович
Фото: 9630556.jpg (7.7 Kb) · 8504109.jpg (13.5 Kb)
 
 
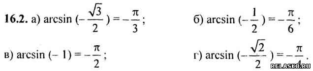
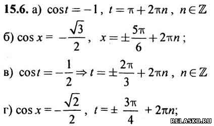
CSKAДата: Среда, 02.09.2015, 15:59 | Сообщение # 50
Полковник
Группа: Проверенные
Сообщений: 169
Награды: 0
Репутация: 0
Статус: Offline


 
Работай из дома! 18+
 
 


Ответы на задания из параграфа № 16. Мордкович А. Г. Алгебра 10-11 класс.

Для увеличения ответа на задачу, нажмите на картинку



---------------------------------------------------------------------



---------------------------------------------------------------------



---------------------------------------------------------------------



---------------------------------------------------------------------



---------------------------------------------------------------------

Перейти в оглавление решебника по Алгебре. Мордкович
Фото: 3331311.jpg (5.2 Kb) · 8302796.jpg (6.5 Kb) · 2401668.jpg (8.6 Kb) · 0707856.jpg (10.2 Kb) · 4413072.jpg (7.7 Kb)
 
 
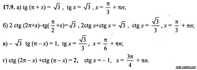
CSKAДата: Среда, 02.09.2015, 16:01 | Сообщение # 51
Полковник
Группа: Проверенные
Сообщений: 169
Награды: 0
Репутация: 0
Статус: Offline


 
Работай из дома! 18+
 
 


Ответы на задания из параграфа № 17. Мордкович А. Г. Алгебра 10-11 класс.

Для увеличения ответа на задачу, нажмите на картинку



---------------------------------------------------------------------



---------------------------------------------------------------------



---------------------------------------------------------------------



---------------------------------------------------------------------



---------------------------------------------------------------------

Перейти в оглавление решебника по Алгебре. Мордкович
Фото: 5852526.jpg (4.8 Kb) · 2691515.jpg (6.1 Kb) · 8881740.jpg (5.5 Kb) · 5196450.jpg (9.3 Kb) · 1537310.jpg (6.2 Kb)
 
 
CSKAДата: Среда, 02.09.2015, 16:01 | Сообщение # 52
Полковник
Группа: Проверенные
Сообщений: 169
Награды: 0
Репутация: 0
Статус: Offline


 
Работай из дома! 18+
 
 


Ответы на задания из параграфа № 17. Мордкович А. Г. Алгебра 10-11 класс.

Для увеличения ответа на задачу, нажмите на картинку



---------------------------------------------------------------------



---------------------------------------------------------------------



---------------------------------------------------------------------



---------------------------------------------------------------------



---------------------------------------------------------------------

Перейти в оглавление решебника по Алгебре. Мордкович
Фото: 6064758.jpg (6.8 Kb) · 4793565.jpg (7.2 Kb) · 4207688.jpg (8.5 Kb) · 4606172.jpg (14.1 Kb) · 2833611.jpg (17.4 Kb)
 
 
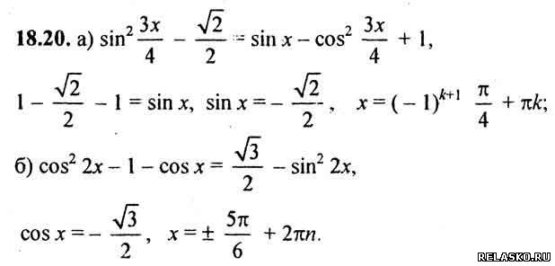
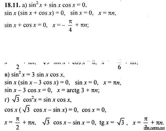
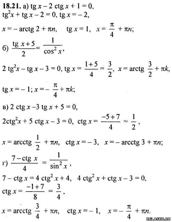
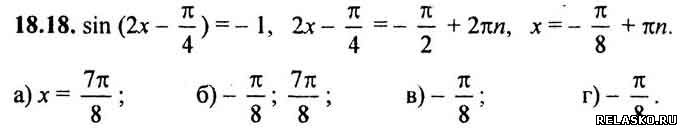
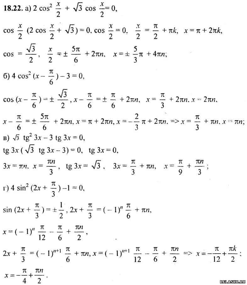
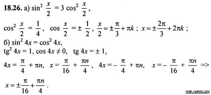
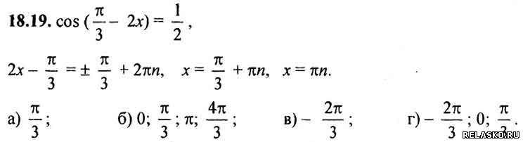
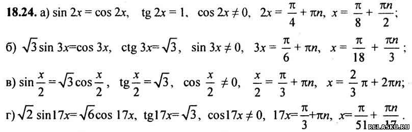
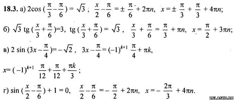
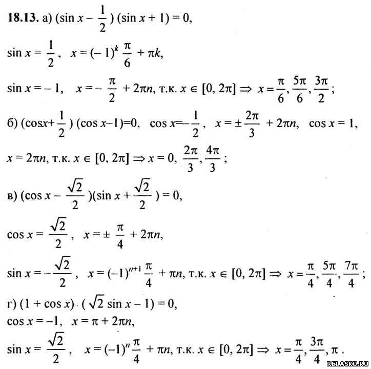
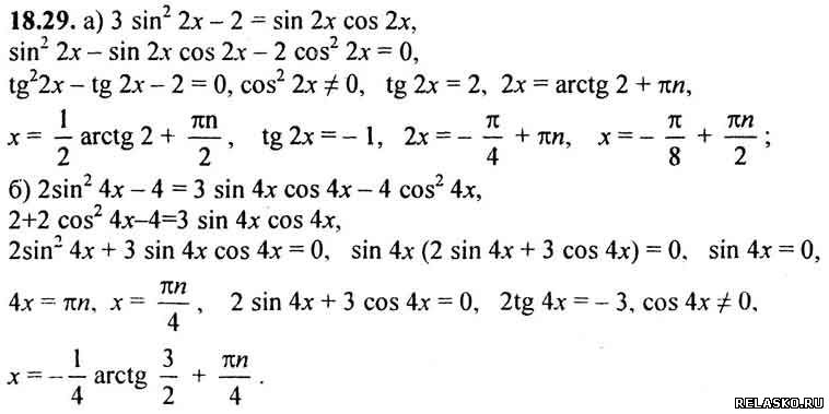
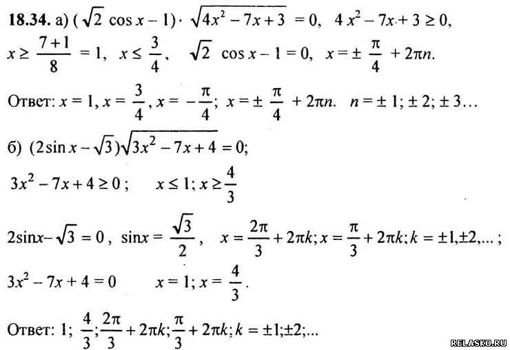
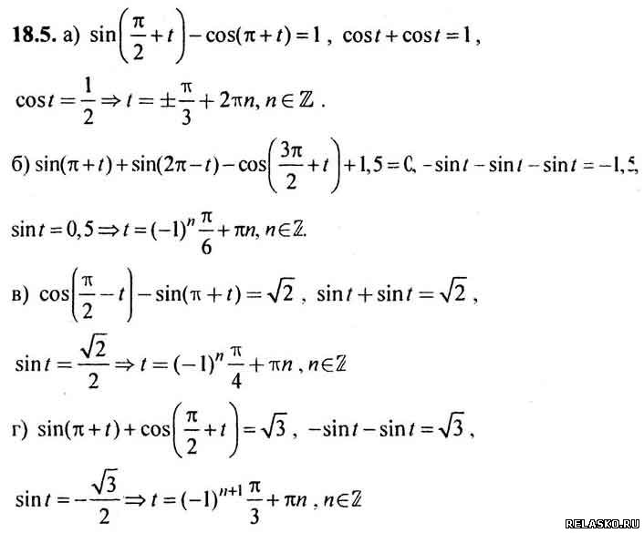
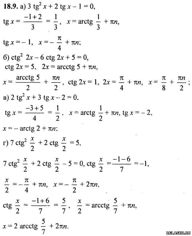
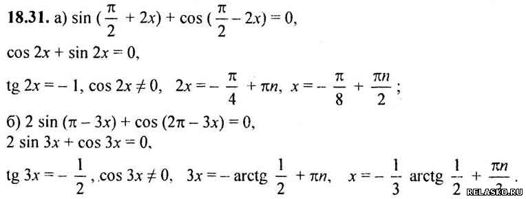
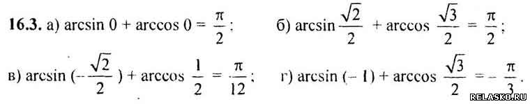
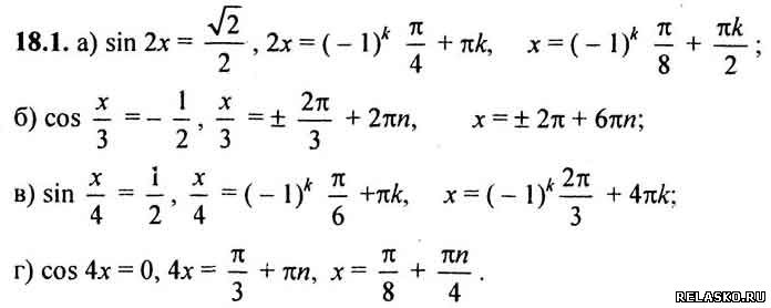
CSKAДата: Среда, 02.09.2015, 16:05 | Сообщение # 53
Полковник
Группа: Проверенные
Сообщений: 169
Награды: 0
Репутация: 0
Статус: Offline


 
Работай из дома! 18+
 
 


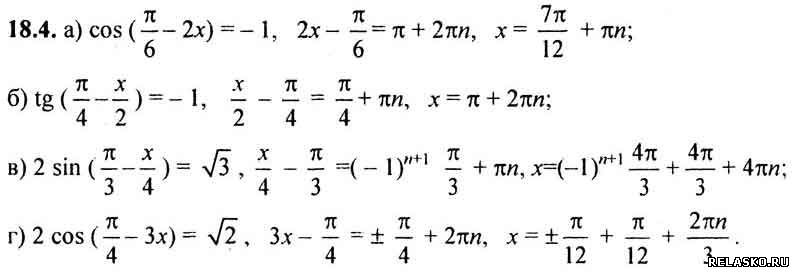
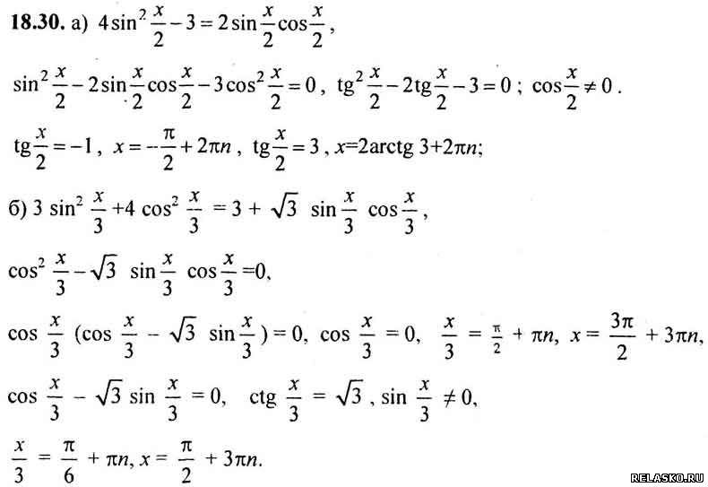
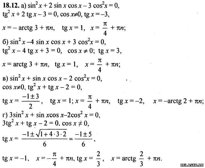
Ответы на задания из параграфа № 18. Мордкович А. Г. Алгебра 10-11 класс.

Для увеличения ответа на задачу, нажмите на картинку



---------------------------------------------------------------------



---------------------------------------------------------------------



---------------------------------------------------------------------



---------------------------------------------------------------------



---------------------------------------------------------------------

Перейти в оглавление решебника по Алгебре. Мордкович
Фото: 4852132.jpg (13.1 Kb) · 1901460.jpg (16.7 Kb) · 4553172.jpg (18.6 Kb) · 2623061.jpg (15.4 Kb) · 6914414.jpg (22.9 Kb)
 
 
CSKAДата: Среда, 02.09.2015, 16:06 | Сообщение # 54
Полковник
Группа: Проверенные
Сообщений: 169
Награды: 0
Репутация: 0
Статус: Offline


 
Работай из дома! 18+
 
 


Ответы на задания из параграфа № 18. Мордкович А. Г. Алгебра 10-11 класс.

Для увеличения ответа на задачу, нажмите на картинку



---------------------------------------------------------------------



---------------------------------------------------------------------



---------------------------------------------------------------------



---------------------------------------------------------------------



---------------------------------------------------------------------

Перейти в оглавление решебника по Алгебре. Мордкович
Фото: 2557504.jpg (33.7 Kb) · 3482920.jpg (26.2 Kb) · 0186137.jpg (33.0 Kb) · 6433511.jpg (29.0 Kb) · 1963579.jpg (12.6 Kb)
 
 
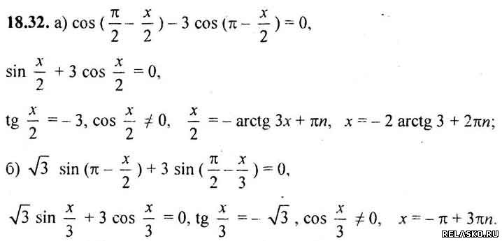
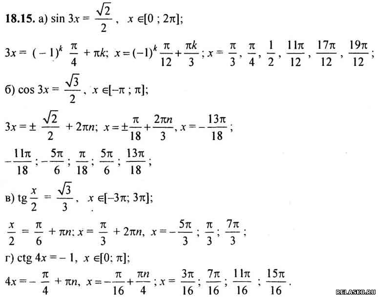
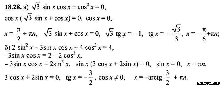
CSKAДата: Среда, 02.09.2015, 16:07 | Сообщение # 55
Полковник
Группа: Проверенные
Сообщений: 169
Награды: 0
Репутация: 0
Статус: Offline


 
Работай из дома! 18+
 
 


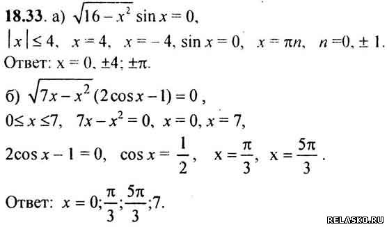
Ответы на задания из параграфа № 18. Мордкович А. Г. Алгебра 10-11 класс.

Для увеличения ответа на задачу, нажмите на картинку



---------------------------------------------------------------------



---------------------------------------------------------------------



---------------------------------------------------------------------



---------------------------------------------------------------------



---------------------------------------------------------------------

Перейти в оглавление решебника по Алгебре. Мордкович
Фото: 6474662.jpg (20.6 Kb) · 6355603.jpg (30.1 Kb) · 5691882.jpg (30.1 Kb) · 7911101.jpg (4.7 Kb) · 5876798.jpg (26.1 Kb)
 
 
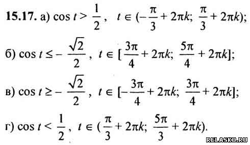
CSKAДата: Среда, 02.09.2015, 16:07 | Сообщение # 56
Полковник
Группа: Проверенные
Сообщений: 169
Награды: 0
Репутация: 0
Статус: Offline


 
Работай из дома! 18+
 
 


Ответы на задания из параграфа № 18. Мордкович А. Г. Алгебра 10-11 класс.

Для увеличения ответа на задачу, нажмите на картинку



---------------------------------------------------------------------



---------------------------------------------------------------------



---------------------------------------------------------------------



---------------------------------------------------------------------



---------------------------------------------------------------------

Перейти в оглавление решебника по Алгебре. Мордкович
Фото: 7447388.jpg (8.8 Kb) · 9384151.jpg (10.7 Kb) · 1544045.jpg (6.9 Kb) · 0528269.jpg (8.2 Kb) · 9844947.jpg (10.9 Kb)
 
 
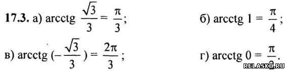
CSKAДата: Среда, 02.09.2015, 16:08 | Сообщение # 57
Полковник
Группа: Проверенные
Сообщений: 169
Награды: 0
Репутация: 0
Статус: Offline


 
Работай из дома! 18+
 
 


Ответы на задания из параграфа № 18. Мордкович А. Г. Алгебра 10-11 класс.

Для увеличения ответа на задачу, нажмите на картинку



---------------------------------------------------------------------



---------------------------------------------------------------------



---------------------------------------------------------------------



---------------------------------------------------------------------



---------------------------------------------------------------------

Перейти в оглавление решебника по Алгебре. Мордкович
Фото: 5484601.jpg (27.3 Kb) · 7405882.jpg (39.0 Kb) · 0749369.jpg (11.9 Kb) · 9210622.jpg (19.0 Kb) · 1972795.jpg (22.4 Kb)
 
 
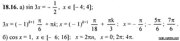
CSKAДата: Среда, 02.09.2015, 16:08 | Сообщение # 58
Полковник
Группа: Проверенные
Сообщений: 169
Награды: 0
Репутация: 0
Статус: Offline


 
Работай из дома! 18+
 
 


Ответы на задания из параграфа № 18. Мордкович А. Г. Алгебра 10-11 класс.

Для увеличения ответа на задачу, нажмите на картинку



---------------------------------------------------------------------



---------------------------------------------------------------------



---------------------------------------------------------------------



---------------------------------------------------------------------



---------------------------------------------------------------------

Перейти в оглавление решебника по Алгебре. Мордкович
Фото: 2518067.jpg (14.4 Kb) · 3619868.jpg (33.5 Kb) · 4818780.jpg (19.6 Kb) · 5690567.jpg (24.0 Kb) · 3303890.jpg (25.8 Kb)
 
 
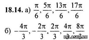
CSKAДата: Среда, 02.09.2015, 16:09 | Сообщение # 59
Полковник
Группа: Проверенные
Сообщений: 169
Награды: 0
Репутация: 0
Статус: Offline


 
Работай из дома! 18+
 
 


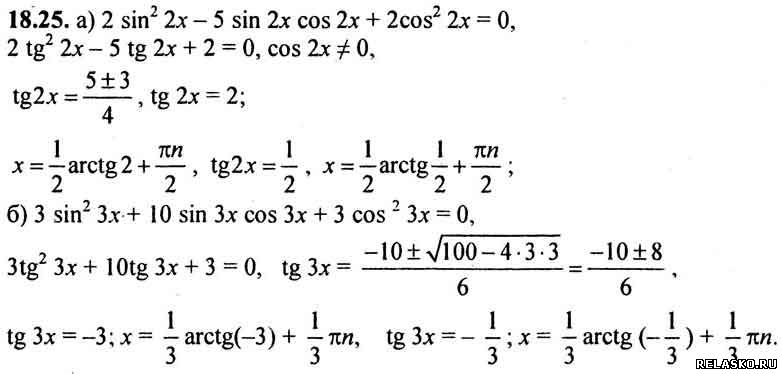
Ответы на задания из параграфа № 18. Мордкович А. Г. Алгебра 10-11 класс.

Для увеличения ответа на задачу, нажмите на картинку



---------------------------------------------------------------------



---------------------------------------------------------------------



---------------------------------------------------------------------



---------------------------------------------------------------------



---------------------------------------------------------------------

Продолжение решебника по Алгебре. Мордкович
Фото: 1452193.jpg (14.6 Kb) · 0015671.jpg (14.7 Kb) · 7960400.jpg (12.8 Kb) · 4123426.jpg (24.1 Kb) · 3700864.jpg (17.3 Kb)
 
 
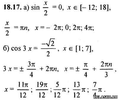
CSKAДата: Среда, 02.09.2015, 16:23 | Сообщение # 60
Полковник
Группа: Проверенные
Сообщений: 169
Награды: 0
Репутация: 0
Статус: Offline


 
Работай из дома! 18+
 
 




Ответы на задания из параграфа № 19. Мордкович А. Г. Алгебра 10-11 класс.

Для увеличения ответа на задачу, нажмите на картинку



---------------------------------------------------------------------



---------------------------------------------------------------------



---------------------------------------------------------------------



---------------------------------------------------------------------



---------------------------------------------------------------------

Перейти в оглавление решебника по Алгебре. Мордкович
Фото: 6829523.jpg (11.3 Kb) · 5620696.jpg (19.4 Kb) · 5031709.jpg (22.3 Kb) · 7815086.jpg (19.9 Kb) · 8220796.jpg (13.7 Kb)
 
 
Поиск:

Работай из дома! 18+
 
 
 
 
 
 

 
Последние темы на форуме:
 
  • Новогодние праздники 2021-2022 официальные выходные
  • Показатели давления и сердцебиения у женщины 57 лет
  • Гороскоп на декабрь 2021 Женщина Телец
  • Гороскоп на январь 2022 от Павла Глоба
  • Гороскоп на декабрь 2021 от Павла Глоба
  • Гороскоп на ноябрь 2021 от Павла Глоба
  • Стенограмма судьбы - Содержание серий, актеры и роли сериала
  • Мосгаз. Западня - Содержание серий, актеры и роли 2021
  • Тобол - Содержание серий, актеры и роли сериала. 2021
  • Гороскоп для Тигра на сегодня от Павла Глоба
  • Утраченные воспоминания - Содержание серий, актеры и роли
  • Чёрно-белая любовь - Содержание серий, актеры и роли сериала
  • Забытая женщина - Содержание серий, актеры и роли сериала
  • Тайна спящей дамы - Содержание серий, актеры и роли сериала
  • Сериал Часы с кукушкой - Содержание серий, актеры и роли
  •  
     

     
    Обращаем ваше внимание на то, что данный интернет-сайт www.kinolog.do.am носит исключительно информационный характер и ни при каких условиях не является публичной офертой, определяемой положениями Статьи 437 (2) Гражданского кодекса РФ. Цена и наличие товара может отличаться от действительной. Пожалуйста, уточняйте цены и наличие товара у наших менеджеров.
    Администрация сайта не несет ответственности за действия и содержание размещаемой информации пользователей: комментарии, материалы, сообщения и темы на форуме, публикации, объявления и т.д.
    Правообладателям | Реклама | Учебники | Политика
    Отопление, водоснабжение, газоснабжение, канализация © 2003 - 2021
    Рейтинг@Mail.ru Рейтинг арматурных сайтов. ARMTORG.RU Яндекс.Метрика