[ Новые сообщения · Участники · Правила форума · Поиск · RSS ]
 
Работай из дома! 18+

Решебник по Алгебре. 10 - 11 класс. Мордкович
CSKAДата: Среда, 02.09.2015, 15:10 | Сообщение # 31
Полковник
Группа: Проверенные
Сообщений: 169
Награды: 0
Репутация: 0
Статус: Offline


 
Работай из дома! 18+
 
 


Ответы на задания из параграфа № 10. Мордкович А. Г. Алгебра 10-11 класс.

Для увеличения ответа на задачу, нажмите на картинку



---------------------------------------------------------------------



---------------------------------------------------------------------



---------------------------------------------------------------------



---------------------------------------------------------------------



---------------------------------------------------------------------

Перейти в оглавление решебника по Алгебре. Мордкович
Фото: 1292480.jpg (24.9 Kb) · 9389243.jpg (17.6 Kb) · 0502642.jpg (15.1 Kb) · 3284089.jpg (13.4 Kb) · 4511913.jpg (5.4 Kb)
 
 
CSKAДата: Среда, 02.09.2015, 15:11 | Сообщение # 32
Полковник
Группа: Проверенные
Сообщений: 169
Награды: 0
Репутация: 0
Статус: Offline


 
Работай из дома! 18+
 
 


Ответы на задания из параграфа № 10. Мордкович А. Г. Алгебра 10-11 класс.

Для увеличения ответа на задачу, нажмите на картинку



---------------------------------------------------------------------



---------------------------------------------------------------------



---------------------------------------------------------------------

Перейти в оглавление решебника по Алгебре. Мордкович
Фото: 3183907.jpg (5.2 Kb) · 2016159.jpg (26.2 Kb) · 6354262.jpg (26.1 Kb)
 
 
CSKAДата: Среда, 02.09.2015, 15:13 | Сообщение # 33
Полковник
Группа: Проверенные
Сообщений: 169
Награды: 0
Репутация: 0
Статус: Offline


 
Работай из дома! 18+
 
 


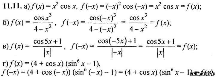
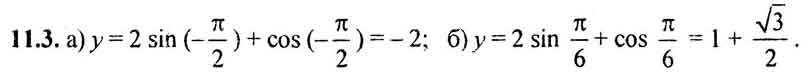
Ответы на задания из параграфа № 11. Мордкович А. Г. Алгебра 10-11 класс.

Для увеличения ответа на задачу, нажмите на картинку



---------------------------------------------------------------------



---------------------------------------------------------------------



---------------------------------------------------------------------



---------------------------------------------------------------------



---------------------------------------------------------------------

Перейти в оглавление решебника по Алгебре. Мордкович
Фото: 6525577.jpg (5.5 Kb) · 7381191.jpg (8.2 Kb) · 4723189.jpg (5.1 Kb) · 4123283.jpg (4.7 Kb) · 7761417.jpg (20.0 Kb)
 
 
CSKAДата: Среда, 02.09.2015, 15:13 | Сообщение # 34
Полковник
Группа: Проверенные
Сообщений: 169
Награды: 0
Репутация: 0
Статус: Offline


 
Работай из дома! 18+
 
 


Ответы на задания из параграфа № 11. Мордкович А. Г. Алгебра 10-11 класс.

Для увеличения ответа на задачу, нажмите на картинку



---------------------------------------------------------------------



---------------------------------------------------------------------



---------------------------------------------------------------------



---------------------------------------------------------------------



---------------------------------------------------------------------

Перейти в оглавление решебника по Алгебре. Мордкович
Фото: 9983029.jpg (24.1 Kb) · 0006246.jpg (10.9 Kb) · 8048029.jpg (95.6 Kb) · 0939100.jpg (34.5 Kb) · 4337544.jpg (30.9 Kb)
 
 
CSKAДата: Среда, 02.09.2015, 15:14 | Сообщение # 35
Полковник
Группа: Проверенные
Сообщений: 169
Награды: 0
Репутация: 0
Статус: Offline


 
Работай из дома! 18+
 
 


Ответы на задания из параграфа № 11. Мордкович А. Г. Алгебра 10-11 класс.

Для увеличения ответа на задачу, нажмите на картинку



---------------------------------------------------------------------



---------------------------------------------------------------------



---------------------------------------------------------------------

Перейти в оглавление решебника по Алгебре. Мордкович
Фото: 8938423.jpg (18.7 Kb) · 5004642.jpg (18.7 Kb) · 1539250.jpg (11.5 Kb)


 
 
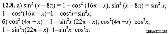
CSKAДата: Среда, 02.09.2015, 15:16 | Сообщение # 36
Полковник
Группа: Проверенные
Сообщений: 169
Награды: 0
Репутация: 0
Статус: Offline


 
Работай из дома! 18+
 
 


Ответы на задания из параграфа № 12. Мордкович А. Г. Алгебра 10-11 класс.

Для увеличения ответа на задачу, нажмите на картинку



---------------------------------------------------------------------



---------------------------------------------------------------------



---------------------------------------------------------------------



---------------------------------------------------------------------



---------------------------------------------------------------------

Перейти в оглавление решебника по Алгебре. Мордкович
Фото: 8907536.jpg (4.6 Kb) · 0948682.jpg (3.6 Kb) · 0056879.jpg (4.9 Kb) · 3447813.jpg (3.7 Kb) · 6054103.jpg (5.1 Kb)
 
 
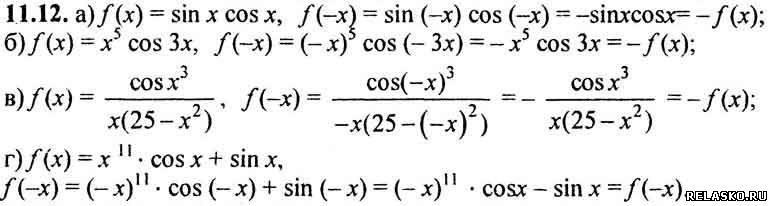
CSKAДата: Среда, 02.09.2015, 15:17 | Сообщение # 37
Полковник
Группа: Проверенные
Сообщений: 169
Награды: 0
Репутация: 0
Статус: Offline


 
Работай из дома! 18+
 
 


Ответы на задания из параграфа № 12. Мордкович А. Г. Алгебра 10-11 класс.

Для увеличения ответа на задачу, нажмите на картинку



---------------------------------------------------------------------



---------------------------------------------------------------------



---------------------------------------------------------------------



---------------------------------------------------------------------

---------------------------------------------------------------------

Перейти в оглавление решебника по Алгебре. Мордкович
Фото: 4595059.jpg (9.9 Kb) · 5602226.jpg (7.9 Kb) · 9421320.jpg (10.5 Kb) · 7849302.jpg (18.5 Kb)
 
 
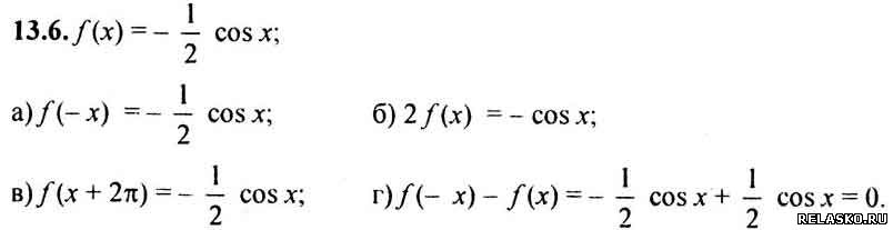
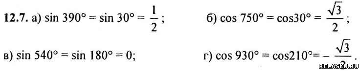
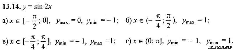
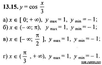
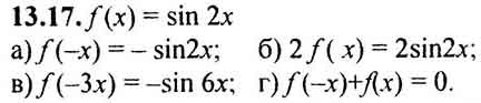
CSKAДата: Среда, 02.09.2015, 15:21 | Сообщение # 38
Полковник
Группа: Проверенные
Сообщений: 169
Награды: 0
Репутация: 0
Статус: Offline


 
Работай из дома! 18+
 
 


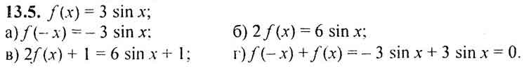
Ответы на задания из параграфа № 13. Мордкович А. Г. Алгебра 10-11 класс.

Для увеличения ответа на задачу, нажмите на картинку



---------------------------------------------------------------------



---------------------------------------------------------------------



---------------------------------------------------------------------



---------------------------------------------------------------------



---------------------------------------------------------------------

Перейти в оглавление решебника по Алгебре. Мордкович
Фото: 8288156.jpg (24.4 Kb) · 4163187.jpg (26.2 Kb) · 1259108.jpg (11.6 Kb) · 1424825.jpg (8.9 Kb) · 0340522.jpg (7.0 Kb)
 
 
CSKAДата: Среда, 02.09.2015, 15:21 | Сообщение # 39
Полковник
Группа: Проверенные
Сообщений: 169
Награды: 0
Репутация: 0
Статус: Offline


 
Работай из дома! 18+
 
 


Ответы на задания из параграфа № 13. Мордкович А. Г. Алгебра 10-11 класс.

Для увеличения ответа на задачу, нажмите на картинку



---------------------------------------------------------------------



---------------------------------------------------------------------



---------------------------------------------------------------------



---------------------------------------------------------------------



---------------------------------------------------------------------

Перейти в оглавление решебника по Алгебре. Мордкович
Фото: 0828510.jpg (8.7 Kb) · 4619495.jpg (27.6 Kb) · 7003858.jpg (28.1 Kb) · 9792025.jpg (6.0 Kb) · 4930500.jpg (68.6 Kb)
 
 
CSKAДата: Среда, 02.09.2015, 15:22 | Сообщение # 40
Полковник
Группа: Проверенные
Сообщений: 169
Награды: 0
Репутация: 0
Статус: Offline


 
Работай из дома! 18+
 
 


Ответы на задания из параграфа № 13. Мордкович А. Г. Алгебра 10-11 класс.

Для увеличения ответа на задачу, нажмите на картинку



---------------------------------------------------------------------



---------------------------------------------------------------------



---------------------------------------------------------------------



---------------------------------------------------------------------



---------------------------------------------------------------------

Перейти в оглавление решебника по Алгебре. Мордкович
Фото: 3407893.jpg (20.6 Kb) · 7632866.jpg (31.8 Kb) · 9554760.jpg (32.9 Kb) · 5120370.jpg (8.9 Kb) · 0227400.jpg (8.6 Kb)
 
 
CSKAДата: Среда, 02.09.2015, 15:22 | Сообщение # 41
Полковник
Группа: Проверенные
Сообщений: 169
Награды: 0
Репутация: 0
Статус: Offline


 
Работай из дома! 18+
 
 


Ответы на задания из параграфа № 13. Мордкович А. Г. Алгебра 10-11 класс.

Для увеличения ответа на задачу, нажмите на картинку



---------------------------------------------------------------------



---------------------------------------------------------------------



---------------------------------------------------------------------



---------------------------------------------------------------------



---------------------------------------------------------------------

Перейти в оглавление решебника по Алгебре. Мордкович
Фото: 6121198.jpg (6.5 Kb) · 9328341.jpg (5.8 Kb) · 1019509.jpg (24.0 Kb) · 4462010.jpg (58.6 Kb) · 9484791.jpg (12.8 Kb)
 
 
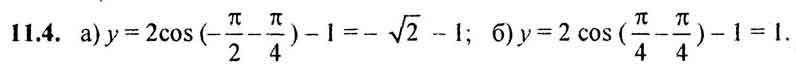
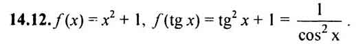
CSKAДата: Среда, 02.09.2015, 15:25 | Сообщение # 42
Полковник
Группа: Проверенные
Сообщений: 169
Награды: 0
Репутация: 0
Статус: Offline


 
Работай из дома! 18+
 
 


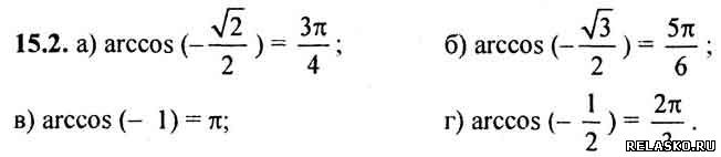
Ответы на задания из параграфа № 14. Мордкович А. Г. Алгебра 10-11 класс.

Для увеличения ответа на задачу, нажмите на картинку



---------------------------------------------------------------------



---------------------------------------------------------------------



---------------------------------------------------------------------



---------------------------------------------------------------------



---------------------------------------------------------------------

Перейти в оглавление решебника по Алгебре. Мордкович
Фото: 6200404.jpg (4.5 Kb) · 3027698.jpg (10.8 Kb) · 1000527.jpg (50.5 Kb) · 3968309.jpg (5.2 Kb) · 1452181.jpg (10.1 Kb)
 
 
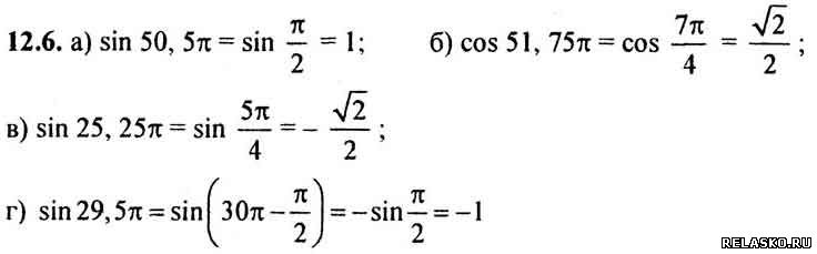
CSKAДата: Среда, 02.09.2015, 15:26 | Сообщение # 43
Полковник
Группа: Проверенные
Сообщений: 169
Награды: 0
Репутация: 0
Статус: Offline


 
Работай из дома! 18+
 
 


Ответы на задания из параграфа № 14. Мордкович А. Г. Алгебра 10-11 класс.

Для увеличения ответа на задачу, нажмите на картинку



---------------------------------------------------------------------



---------------------------------------------------------------------



---------------------------------------------------------------------



---------------------------------------------------------------------



---------------------------------------------------------------------

Перейти в оглавление решебника по Алгебре. Мордкович
Фото: 6901130.jpg (47.0 Kb) · 6155219.jpg (11.9 Kb) · 6898061.jpg (3.9 Kb) · 2471950.jpg (3.2 Kb) · 5886281.jpg (6.1 Kb)
 
 
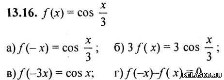
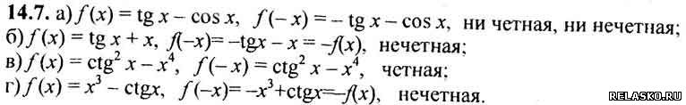
CSKAДата: Среда, 02.09.2015, 15:26 | Сообщение # 44
Полковник
Группа: Проверенные
Сообщений: 169
Награды: 0
Репутация: 0
Статус: Offline


 
Работай из дома! 18+
 
 


Ответы на задания из параграфа № 14. Мордкович А. Г. Алгебра 10-11 класс.

Для увеличения ответа на задачу, нажмите на картинку



---------------------------------------------------------------------



---------------------------------------------------------------------



---------------------------------------------------------------------



---------------------------------------------------------------------



---------------------------------------------------------------------

Продолжение решебника по Алгебре. Мордкович
Фото: 2592575.jpg (5.4 Kb) · 8455088.jpg (3.1 Kb) · 3604534.jpg (7.4 Kb) · 5917605.jpg (8.1 Kb) · 9018368.jpg (4.9 Kb)
 
 
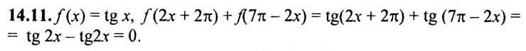
CSKAДата: Среда, 02.09.2015, 15:45 | Сообщение # 45
Полковник
Группа: Проверенные
Сообщений: 169
Награды: 0
Репутация: 0
Статус: Offline


 
Работай из дома! 18+
 
 




Ответы на задания из параграфа № 15. Мордкович А. Г. Алгебра 10-11 класс.

Для увеличения ответа на задачу, нажмите на картинку



---------------------------------------------------------------------



---------------------------------------------------------------------



---------------------------------------------------------------------



---------------------------------------------------------------------



---------------------------------------------------------------------

Перейти в оглавление решебника по Алгебре. Мордкович
Фото: 0288770.jpg (5.4 Kb) · 7074767.jpg (6.6 Kb) · 0257191.jpg (11.5 Kb) · 0436021.jpg (10.2 Kb) · 3568437.jpg (12.1 Kb)
 
 
Поиск:

Работай из дома! 18+
 
 
 
 
 
 

 
Последние темы на форуме:
 
  • Новогодние праздники 2021-2022 официальные выходные
  • Показатели давления и сердцебиения у женщины 57 лет
  • Гороскоп на декабрь 2021 Женщина Телец
  • Гороскоп на январь 2022 от Павла Глоба
  • Гороскоп на декабрь 2021 от Павла Глоба
  • Гороскоп на ноябрь 2021 от Павла Глоба
  • Стенограмма судьбы - Содержание серий, актеры и роли сериала
  • Мосгаз. Западня - Содержание серий, актеры и роли 2021
  • Тобол - Содержание серий, актеры и роли сериала. 2021
  • Гороскоп для Тигра на сегодня от Павла Глоба
  • Утраченные воспоминания - Содержание серий, актеры и роли
  • Чёрно-белая любовь - Содержание серий, актеры и роли сериала
  • Забытая женщина - Содержание серий, актеры и роли сериала
  • Тайна спящей дамы - Содержание серий, актеры и роли сериала
  • Сериал Часы с кукушкой - Содержание серий, актеры и роли
  •  
     

     
    Обращаем ваше внимание на то, что данный интернет-сайт www.kinolog.do.am носит исключительно информационный характер и ни при каких условиях не является публичной офертой, определяемой положениями Статьи 437 (2) Гражданского кодекса РФ. Цена и наличие товара может отличаться от действительной. Пожалуйста, уточняйте цены и наличие товара у наших менеджеров.
    Администрация сайта не несет ответственности за действия и содержание размещаемой информации пользователей: комментарии, материалы, сообщения и темы на форуме, публикации, объявления и т.д.
    Правообладателям | Реклама | Учебники | Политика
    Отопление, водоснабжение, газоснабжение, канализация © 2003 - 2021
    Рейтинг@Mail.ru Рейтинг арматурных сайтов. ARMTORG.RU Яндекс.Метрика