[ Новые сообщения · Участники · Правила форума · Поиск · RSS ]
 
Работай из дома! 18+

  • Страница 1 из 8
  • 1
  • 2
  • 3
  • 7
  • 8
  • »
Решебник и ГДЗ по Алгебре. 10-11 класс. Колмогоров А. Н.
МЕДВЕДИКДата: Воскресенье, 13.09.2015, 15:28 | Сообщение # 1
Генерал-лейтенант
Группа: Проверенные
Сообщений: 602
Награды: 0
Репутация: 0
Статус: Offline


 
Работай из дома! 18+
 
 


Решебник и ГДЗ по Алгебре. 11 класс. Колмогоров А.Н. Алгебра и начала математического анализа.



Авторы: Колмогоров А.Н.

Издание: 17-е изд. - М.: Просвещение, 2008

Учебник с задачами, примерами и ответами по ФГОС 2007, 2008, 2009, 2010, 2011, 2012, 2013, 2014 год


Скачать бесплатно Решебник и ГДЗ по Алгебре. 11 класс. Колмогоров А.Н. Алгебра и начала математического анализа.

Данный решебник и готовые домашние задания по Алгебре предназначены для учителей и учеников 11 класса средней школы для проверки своих знаний предмета, а также для помощи в решении домашних заданий.

Преподаватели математики и алгебры с помощью данного учебника смогут легко и быстро проверять ответы на домашние работы у своих учеников, а так же подготовиться к уроку.

Родители учеников могут так же проверять своих детей, на сколько правильно они сделали домашнюю работу.

Оглавление решебника и ГДЗ по Русскому языку. 11 класс. Колмогоров А.Н. Алгебра и начала математического анализа.

Предисловие 4

I. Глава. ТРИГОНОМЕТРИЧЕСКИЕ ФУНКЦИИ

§ 1. Тригонометрические функции числового аргумента 6
1. Синус, косинус, тангенс и котангенс (повторение) 6
2. Тригонометрические функции и их графики 15
§ 2. Основные свойства функций 22
3. Функции и их графики 22
4. Четные и нечетные функции. Периодичность тригонометрических функций 32
5. Возрастание и убывание функций. Экстремумы 41
6. Исследование функций 49
7. Свойства тригонометрических функций. Гармонические колебания 57
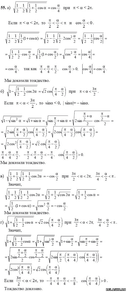
§ 3. Решение тригонометрических уравнений и неравенств 65
8. Арксинус, арккосинус и арктангенс 65
9. Решение простейших тригонометрических уравнений 70
10. Решение простейших тригонометрических неравенств 76
11. Примеры решения тригонометрических уравнений и систем уравнений 82
Сведения из истории 86
Вопросы и задачи на повторение 92

II. Глава. ПРОИЗВОДНАЯ И ЕЕ ПРИМЕНЕНИЯ

§ 4. Производная 98
12. Приращение функции 98
13. Понятие о производной 102
14. Понятия о непрерывности функции и предельном переходе 109
15. Правила вычисления производных 114
16. Производная сложной функции 119
17. Производные тригонометрических функций 122
§ 5. Применения непрерывности и производной 125
18. Применения непрерывности 125
19. Касательная к графику функции 130
20. Приближенные вычисления 135
21. Производная в физике и технике 138
§ 6. Применения производной к исследованию функции 144
22. Признак возрастания (убывания) функции 144
23. Критические точки функции, максимумы и минимумы 148
24. Примеры применения производной к исследованию функции 152
25. Наибольшее и наименьшее значения функции 156
Сведения из истории 161
Вопросы и задачи на повторение 171

III. Глава. ПЕРВООБРАЗНАЯ И ИНТЕГРАЛ

§ 7. Первообразная 175
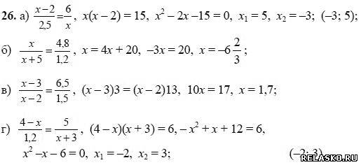
26. Определение первообразной 175
27. Основное свойство первообразной 178
28. Три правила нахождения первообразных
Фото: 2931724.jpg (10.8 Kb) · 1459679.png (10.8 Kb)


 
 
МЕДВЕДИКДата: Воскресенье, 13.09.2015, 15:29 | Сообщение # 2
Генерал-лейтенант
Группа: Проверенные
Сообщений: 602
Награды: 0
Репутация: 0
Статус: Offline


 
Работай из дома! 18+
 
 


§ 8. Интеграл

29. Площадь криволинейной трапеции 186
30. Интеграл. Формула Ньютона — Лейбница 189
31. Применения интеграла 195
Сведения из истории 200
Вопросы и задачи на повторение 206

IV. Глава. ПОКАЗАТЕЛЬНАЯ И ЛОГАРИФМИЧЕСКАЯ ВИЛ ФУНКЦИИ

§ 9. Обобщение понятия степени

32. Корень n-й степени и его свойства 208
33. Иррациональные уравнения 215
34. Степень с рациональным показателем 219

§ 10. Показательная и логарифмическая функции

35. Показательная функция 225
36. Решение показательных уравнений и неравенств 230
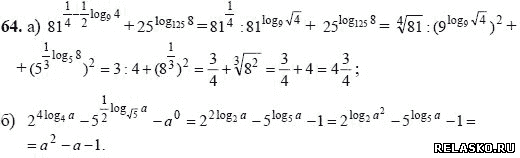
37. Логарифмы и их свойства 234
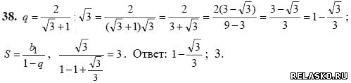
38. Логарифмическая функция 239
39. Решение логарифмических уравнений и неравенств 243
40. Понятие об обратной функции 247

§ 11. Производная показательной и логарифмической функций

41. Производная показательной функции. Число е 252
42. Производная логарифмической функции 257
43. Степенная функция 260
44. Понятие о дифференциальных уравнениях 264
Сведения из истории 270
Вопросы и задачи на повторение 274

V. Глава. ЗАДАЧИ НА ПОВТОРЕНИЕ

§ 1. Действительные числа

1. Рациональные и иррациональные числа 278
2. Проценты. Пропорции 280
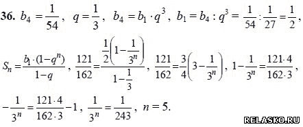
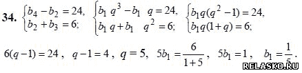
3. Прогрессии 281

§ 2. Тождественные преобразования

4. Преобразования алгебраических выражений 282
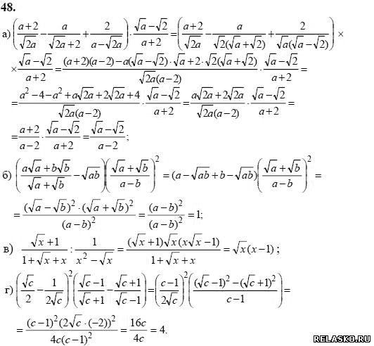
5. Преобразование выражений, содержащих радикалы и степени с дробными показателями 283
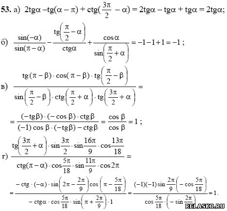
6. Преобразования тригонометрических выражений 284
7. Преобразования выражений, содержащих степени и логарифмы 286

§ 3. Функции

8. Рациональные функции 287
9. Тригонометрические функции 291
10. Степенная, показательная и логарифмическая функции 294

§ 4. Уравнения, неравенства, системы уравнений и неравенств

11. Рациональные уравнения и неравенства 296
12. Иррациональные уравнения и неравенства 298
13. Тригонометрические уравнения и неравенства 299
14. Показательные уравнения и неравенства 300
15. Логарифмические уравнения и неравенства 301
16. Системы рациональных уравнений и неравенств 302
17. Системы иррациональных уравнений 303
18. Системы тригонометрических уравнений 303
19. Системы показательных и логарифмических уравнений 304
20. Задачи на составление уравнений и систем уравнений 305

§ 5. Производная, первообразная, интеграл и их применения

21. Производная 307
22. Применение производной к исследованию функций 309
23. Применение производной в физике и геометрии 311
24. Первообразная 313
25. Интеграл 313

VI. Глава. ЗАДАЧИ ПОВЫШЕННОЙ ТРУДНОСТИ

§ 1. Числа и преобразования выражений

1. Целые числа 315
2. Метод математической индукции 316
3. Действительные числа 317
4. Преобразование выражений 318
5. Прогрессии 319

§ 2. Элементарные функции и их свойства

6. Исследование функций 320
7. Графики функций 323

§ 3. Уравнения, неравенства и системы

8. Рациональные алгебраические уравнения 326
9. Рациональные алгебраические неравенства 328
10. Системы рациональных алгебраических уравнений 329
11. Задачи на составление уравнений и их систем 330
12. Иррациональные уравнения и неравенства 331
13. Тригонометрические уравнения, неравенства и системы 334
14. Показательные и логарифмические уравнения и неравенства 336

§ 4. Начала математического анализа

15. Производная 338
16. Применение производной к исследованию функций 339
17. Применение производной в физике и геометрии 341
18. Первообразная 342
19. Интеграл 344

Ответы и указания к упражнениям 347
Предметный указатель 378

Скачать бесплатно Решебник и ГДЗ по Алгебре. 11 класс. Колмогоров А.Н. Алгебра и начала математического анализа.
 
 
МЕДВЕДИКДата: Понедельник, 14.09.2015, 11:43 | Сообщение # 3
Генерал-лейтенант
Группа: Проверенные
Сообщений: 602
Награды: 0
Репутация: 0
Статус: Offline


 
Работай из дома! 18+
 
 


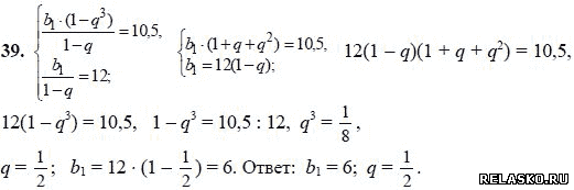
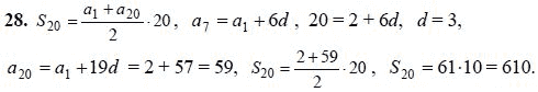
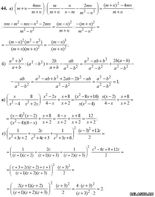
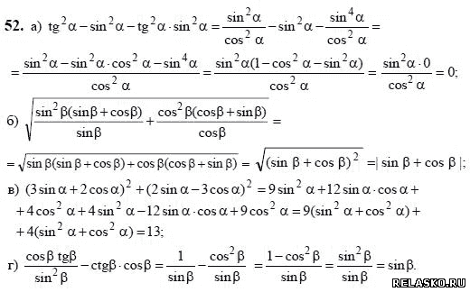
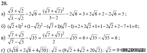
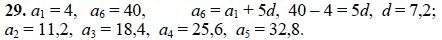
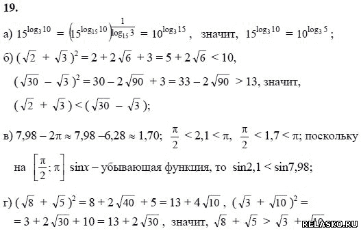
Для увеличения ответа на задание, нажмите на картинку



---------------------------------------------------------------------



---------------------------------------------------------------------



---------------------------------------------------------------------



---------------------------------------------------------------------



---------------------------------------------------------------------

Перейти в оглавление решебника ГДЗ по Алгебре. 11 класс. Колмогоров А. Н.
Фото: 9663583.png (2.0 Kb) · 2459513.png (16.2 Kb) · 1012493.png (2.0 Kb) · 2677266.png (9.7 Kb) · 1018213.png (0.5 Kb)
 
 
МЕДВЕДИКДата: Среда, 23.09.2015, 10:20 | Сообщение # 4
Генерал-лейтенант
Группа: Проверенные
Сообщений: 602
Награды: 0
Репутация: 0
Статус: Offline


 
Работай из дома! 18+
 
 


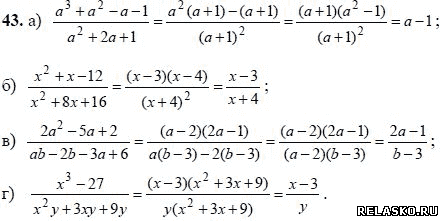
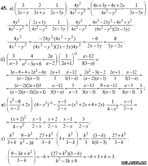
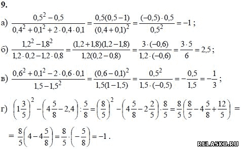
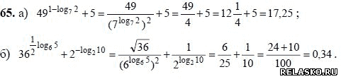
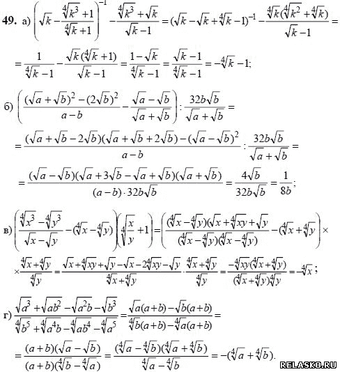
Для увеличения ответа на задание, нажмите на картинку



---------------------------------------------------------------------



---------------------------------------------------------------------



---------------------------------------------------------------------



---------------------------------------------------------------------



---------------------------------------------------------------------

Перейти в оглавление решебника ГДЗ по Алгебре. 11 класс. Колмогоров А. Н.
Фото: 6962400.png (17.2 Kb) · 8195594.png (11.1 Kb) · 2735742.png (18.0 Kb) · 1747710.png (18.7 Kb) · 3397547.png (10.3 Kb)
 
 
МЕДВЕДИКДата: Среда, 23.09.2015, 10:20 | Сообщение # 5
Генерал-лейтенант
Группа: Проверенные
Сообщений: 602
Награды: 0
Репутация: 0
Статус: Offline


 
Работай из дома! 18+
 
 


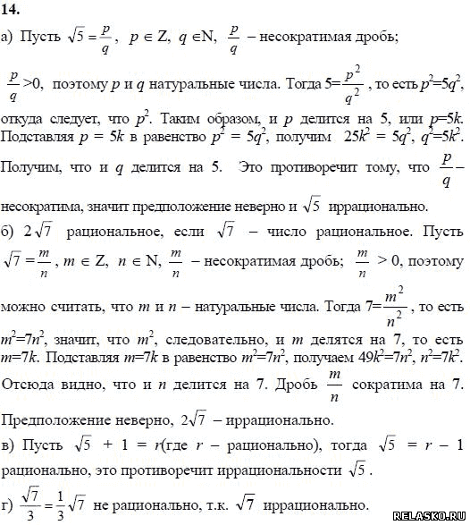
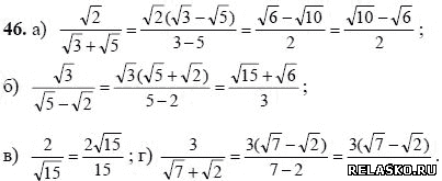
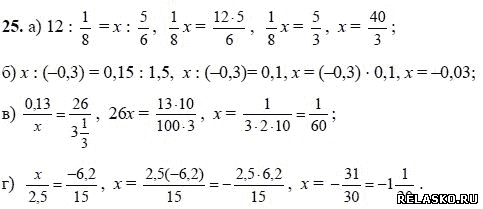
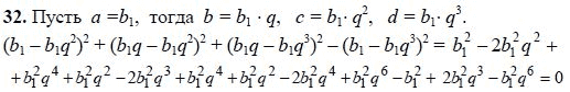
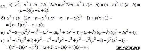
Для увеличения ответа на задание, нажмите на картинку



---------------------------------------------------------------------



---------------------------------------------------------------------



---------------------------------------------------------------------



---------------------------------------------------------------------



---------------------------------------------------------------------

Перейти в оглавление решебника ГДЗ по Алгебре. 11 класс. Колмогоров А. Н.
Фото: 5679030.png (12.8 Kb) · 8811642.png (2.8 Kb) · 2512355.png (3.9 Kb) · 9861181.png (47.5 Kb) · 8975630.png (15.7 Kb)
 
 
МЕДВЕДИКДата: Среда, 23.09.2015, 10:21 | Сообщение # 6
Генерал-лейтенант
Группа: Проверенные
Сообщений: 602
Награды: 0
Репутация: 0
Статус: Offline


 
Работай из дома! 18+
 
 


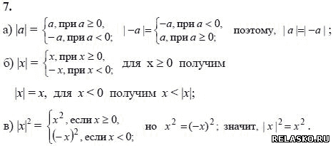
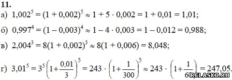
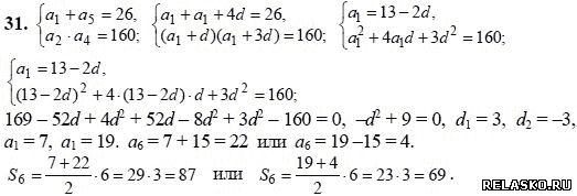
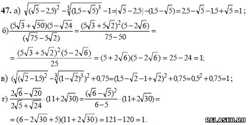
Для увеличения ответа на задание, нажмите на картинку



---------------------------------------------------------------------



---------------------------------------------------------------------



---------------------------------------------------------------------



---------------------------------------------------------------------



---------------------------------------------------------------------

Перейти в оглавление решебника ГДЗ по Алгебре. 11 класс. Колмогоров А. Н.
Фото: 0227081.png (6.0 Kb) · 1845727.png (15.2 Kb) · 0993959.png (14.5 Kb) · 4604200.png (19.5 Kb) · 5099402.png (11.7 Kb)
 
 
МЕДВЕДИКДата: Среда, 23.09.2015, 10:21 | Сообщение # 7
Генерал-лейтенант
Группа: Проверенные
Сообщений: 602
Награды: 0
Репутация: 0
Статус: Offline


 
Работай из дома! 18+
 
 


Для увеличения ответа на задание, нажмите на картинку



---------------------------------------------------------------------



---------------------------------------------------------------------



---------------------------------------------------------------------



---------------------------------------------------------------------



---------------------------------------------------------------------

Перейти в оглавление решебника ГДЗ по Алгебре. 11 класс. Колмогоров А. Н.
Фото: 5784976.png (9.2 Kb) · 1427733.png (15.8 Kb) · 8704622.png (9.1 Kb) · 9676072.png (10.8 Kb) · 7619928.png (11.2 Kb)
 
 
МЕДВЕДИКДата: Среда, 23.09.2015, 10:21 | Сообщение # 8
Генерал-лейтенант
Группа: Проверенные
Сообщений: 602
Награды: 0
Репутация: 0
Статус: Offline


 
Работай из дома! 18+
 
 


Для увеличения ответа на задание, нажмите на картинку



---------------------------------------------------------------------



---------------------------------------------------------------------



---------------------------------------------------------------------



---------------------------------------------------------------------



---------------------------------------------------------------------

Перейти в оглавление решебника ГДЗ по Алгебре. 11 класс. Колмогоров А. Н.
Фото: 4924389.png (11.5 Kb) · 6657681.png (12.3 Kb) · 5391305.png (5.8 Kb) · 3013512.png (4.9 Kb) · 4341762.png (9.6 Kb)
 
 
МЕДВЕДИКДата: Среда, 23.09.2015, 10:22 | Сообщение # 9
Генерал-лейтенант
Группа: Проверенные
Сообщений: 602
Награды: 0
Репутация: 0
Статус: Offline


 
Работай из дома! 18+
 
 


Для увеличения ответа на задание, нажмите на картинку



---------------------------------------------------------------------



---------------------------------------------------------------------



---------------------------------------------------------------------



---------------------------------------------------------------------



---------------------------------------------------------------------

Перейти в оглавление решебника ГДЗ по Алгебре. 11 класс. Колмогоров А. Н.
Фото: 9129102.png (14.6 Kb) · 7992057.png (11.9 Kb) · 4336800.png (11.8 Kb) · 4159828.png (6.6 Kb) · 7507298.png (4.5 Kb)
 
 
МЕДВЕДИКДата: Среда, 23.09.2015, 10:22 | Сообщение # 10
Генерал-лейтенант
Группа: Проверенные
Сообщений: 602
Награды: 0
Репутация: 0
Статус: Offline


 
Работай из дома! 18+
 
 


Для увеличения ответа на задание, нажмите на картинку



---------------------------------------------------------------------



---------------------------------------------------------------------



---------------------------------------------------------------------



---------------------------------------------------------------------



---------------------------------------------------------------------

Перейти в оглавление решебника ГДЗ по Алгебре. 11 класс. Колмогоров А. Н.
Фото: 8913526.png (9.4 Kb) · 8174185.png (18.9 Kb) · 5284798.png (5.3 Kb) · 6416383.png (9.0 Kb) · 8390617.png (12.0 Kb)
 
 
МЕДВЕДИКДата: Среда, 23.09.2015, 10:24 | Сообщение # 11
Генерал-лейтенант
Группа: Проверенные
Сообщений: 602
Награды: 0
Репутация: 0
Статус: Offline


 
Работай из дома! 18+
 
 


Для увеличения ответа на задание, нажмите на картинку



---------------------------------------------------------------------



---------------------------------------------------------------------



---------------------------------------------------------------------



---------------------------------------------------------------------



---------------------------------------------------------------------

Перейти в оглавление решебника ГДЗ по Алгебре. 11 класс. Колмогоров А. Н.
Фото: 5325319.png (14.5 Kb) · 6436111.png (36.2 Kb) · 3998244.png (13.7 Kb) · 7484371.png (26.2 Kb) · 2734624.png (31.4 Kb)
 
 
МЕДВЕДИКДата: Среда, 23.09.2015, 10:25 | Сообщение # 12
Генерал-лейтенант
Группа: Проверенные
Сообщений: 602
Награды: 0
Репутация: 0
Статус: Offline


 
Работай из дома! 18+
 
 


Для увеличения ответа на задание, нажмите на картинку



---------------------------------------------------------------------



---------------------------------------------------------------------



---------------------------------------------------------------------



---------------------------------------------------------------------



---------------------------------------------------------------------

Перейти в оглавление решебника ГДЗ по Алгебре. 11 класс. Колмогоров А. Н.
Фото: 8681913.png (8.6 Kb) · 8944540.png (16.5 Kb) · 8321352.png (29.5 Kb) · 0481266.png (34.2 Kb) · 3710342.png (44.7 Kb)
 
 
МЕДВЕДИКДата: Среда, 23.09.2015, 10:25 | Сообщение # 13
Генерал-лейтенант
Группа: Проверенные
Сообщений: 602
Награды: 0
Репутация: 0
Статус: Offline


 
Работай из дома! 18+
 
 


Для увеличения ответа на задание, нажмите на картинку



---------------------------------------------------------------------



---------------------------------------------------------------------



---------------------------------------------------------------------



---------------------------------------------------------------------



---------------------------------------------------------------------

Перейти в оглавление решебника ГДЗ по Алгебре. 11 класс. Колмогоров А. Н.
Фото: 8971096.png (27.9 Kb) · 2309960.png (22.2 Kb) · 2931690.png (21.6 Kb) · 9947374.png (39.0 Kb) · 0898616.png (62.9 Kb)
 
 
МЕДВЕДИКДата: Среда, 23.09.2015, 10:26 | Сообщение # 14
Генерал-лейтенант
Группа: Проверенные
Сообщений: 602
Награды: 0
Репутация: 0
Статус: Offline


 
Работай из дома! 18+
 
 


Для увеличения ответа на задание, нажмите на картинку



---------------------------------------------------------------------



---------------------------------------------------------------------



---------------------------------------------------------------------



---------------------------------------------------------------------



---------------------------------------------------------------------

Перейти в оглавление решебника ГДЗ по Алгебре. 11 класс. Колмогоров А. Н.
Фото: 1003155.png (31.9 Kb) · 7329318.png (48.2 Kb) · 7953657.png (45.5 Kb) · 2851518.png (17.4 Kb) · 3636694.png (24.0 Kb)
 
 
МЕДВЕДИКДата: Среда, 23.09.2015, 10:26 | Сообщение # 15
Генерал-лейтенант
Группа: Проверенные
Сообщений: 602
Награды: 0
Репутация: 0
Статус: Offline


 
Работай из дома! 18+
 
 


Для увеличения ответа на задание, нажмите на картинку



---------------------------------------------------------------------



---------------------------------------------------------------------



---------------------------------------------------------------------



---------------------------------------------------------------------



---------------------------------------------------------------------

Читать продолжение решебника...

Фото: 0680586.png (11.9 Kb) · 2272063.png (19.4 Kb) · 0259670.png (28.0 Kb) · 3650729.png (8.0 Kb) · 1170920.png (7.4 Kb)
 
 
  • Страница 1 из 8
  • 1
  • 2
  • 3
  • 7
  • 8
  • »
Поиск:

Работай из дома! 18+
 
 
 
 
 
 

 
Последние темы на форуме:
 
  • Новогодние праздники 2021-2022 официальные выходные
  • Показатели давления и сердцебиения у женщины 57 лет
  • Гороскоп на декабрь 2021 Женщина Телец
  • Гороскоп на январь 2022 от Павла Глоба
  • Гороскоп на декабрь 2021 от Павла Глоба
  • Гороскоп на ноябрь 2021 от Павла Глоба
  • Стенограмма судьбы - Содержание серий, актеры и роли сериала
  • Мосгаз. Западня - Содержание серий, актеры и роли 2021
  • Тобол - Содержание серий, актеры и роли сериала. 2021
  • Гороскоп для Тигра на сегодня от Павла Глоба
  • Утраченные воспоминания - Содержание серий, актеры и роли
  • Чёрно-белая любовь - Содержание серий, актеры и роли сериала
  • Забытая женщина - Содержание серий, актеры и роли сериала
  • Тайна спящей дамы - Содержание серий, актеры и роли сериала
  • Сериал Часы с кукушкой - Содержание серий, актеры и роли
  •  
     

     
    Обращаем ваше внимание на то, что данный интернет-сайт www.kinolog.do.am носит исключительно информационный характер и ни при каких условиях не является публичной офертой, определяемой положениями Статьи 437 (2) Гражданского кодекса РФ. Цена и наличие товара может отличаться от действительной. Пожалуйста, уточняйте цены и наличие товара у наших менеджеров.
    Администрация сайта не несет ответственности за действия и содержание размещаемой информации пользователей: комментарии, материалы, сообщения и темы на форуме, публикации, объявления и т.д.
    Правообладателям | Реклама | Учебники | Политика
    Отопление, водоснабжение, газоснабжение, канализация © 2003 - 2021
    Рейтинг@Mail.ru Рейтинг арматурных сайтов. ARMTORG.RU Яндекс.Метрика