[ Новые сообщения · Участники · Правила форума · Поиск · RSS ]
 
Работай из дома! 18+

  • Страница 2 из 8
  • «
  • 1
  • 2
  • 3
  • 4
  • 7
  • 8
  • »
Решебник и ГДЗ по Алгебре. 10-11 класс. Колмогоров А. Н.
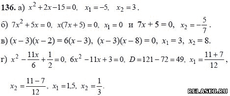
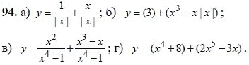
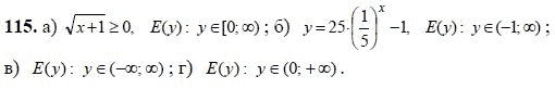
МЕДВЕДИКДата: Среда, 23.09.2015, 10:27 | Сообщение # 16
Генерал-лейтенант
Группа: Проверенные
Сообщений: 602
Награды: 0
Репутация: 0
Статус: Offline


 
Работай из дома! 18+
 
 




Для увеличения ответа на задание, нажмите на картинку



---------------------------------------------------------------------



---------------------------------------------------------------------



---------------------------------------------------------------------



---------------------------------------------------------------------



---------------------------------------------------------------------

Перейти в оглавление решебника ГДЗ по Алгебре. 11 класс. Колмогоров А. Н.
Фото: 5304124.png (12.5 Kb) · 9644756.png (8.6 Kb) · 1519921.png (7.7 Kb) · 1446736.png (6.7 Kb) · 0548514.png (8.7 Kb)
 
 
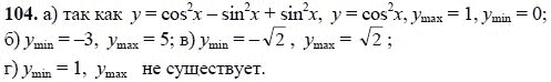
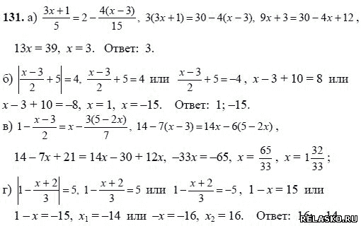
МЕДВЕДИКДата: Среда, 23.09.2015, 10:27 | Сообщение # 17
Генерал-лейтенант
Группа: Проверенные
Сообщений: 602
Награды: 0
Репутация: 0
Статус: Offline


 
Работай из дома! 18+
 
 


Для увеличения ответа на задание, нажмите на картинку



---------------------------------------------------------------------



---------------------------------------------------------------------



---------------------------------------------------------------------



---------------------------------------------------------------------



---------------------------------------------------------------------

Перейти в оглавление решебника ГДЗ по Алгебре. 11 класс. Колмогоров А. Н.
Фото: 0498194.png (10.6 Kb) · 6613335.png (13.0 Kb) · 4064099.png (18.6 Kb) · 9908687.png (3.6 Kb) · 2649709.png (23.7 Kb)
 
 
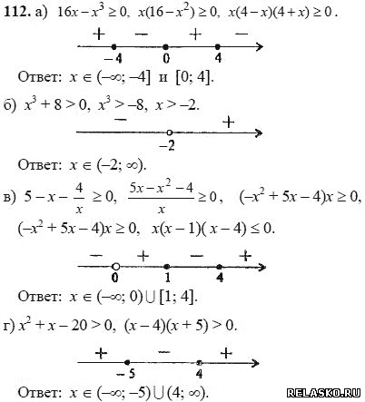
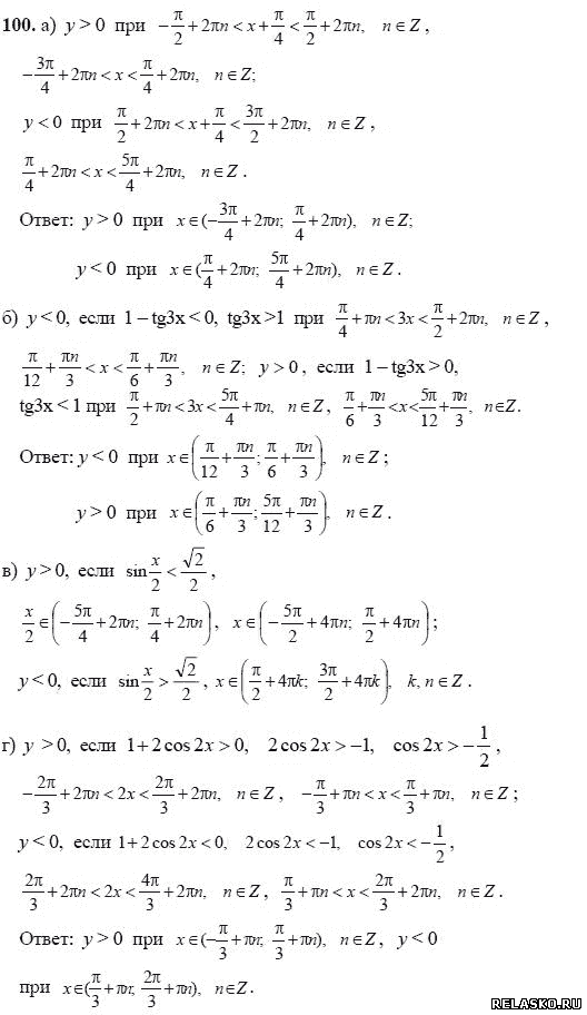
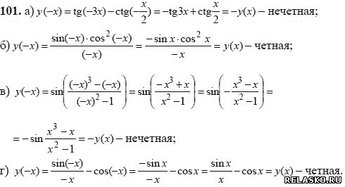
МЕДВЕДИКДата: Среда, 23.09.2015, 10:27 | Сообщение # 18
Генерал-лейтенант
Группа: Проверенные
Сообщений: 602
Награды: 0
Репутация: 0
Статус: Offline


 
Работай из дома! 18+
 
 


Для увеличения ответа на задание, нажмите на картинку



---------------------------------------------------------------------



---------------------------------------------------------------------



---------------------------------------------------------------------



---------------------------------------------------------------------



---------------------------------------------------------------------

Перейти в оглавление решебника ГДЗ по Алгебре. 11 класс. Колмогоров А. Н.
Фото: 6714689.png (56.6 Kb) · 8231260.png (14.6 Kb) · 0754457.png (17.5 Kb) · 4489706.png (11.0 Kb) · 5790640.png (24.3 Kb)
 
 
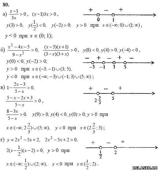
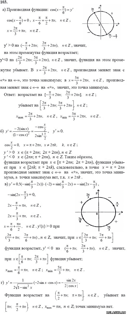
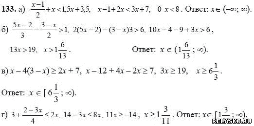
МЕДВЕДИКДата: Среда, 23.09.2015, 10:28 | Сообщение # 19
Генерал-лейтенант
Группа: Проверенные
Сообщений: 602
Награды: 0
Репутация: 0
Статус: Offline


 
Работай из дома! 18+
 
 


Для увеличения ответа на задание, нажмите на картинку



---------------------------------------------------------------------



---------------------------------------------------------------------



---------------------------------------------------------------------



---------------------------------------------------------------------



---------------------------------------------------------------------

Перейти в оглавление решебника ГДЗ по Алгебре. 11 класс. Колмогоров А. Н.
Фото: 7708256.png (29.0 Kb) · 7793317.png (56.8 Kb) · 8150655.png (68.5 Kb) · 0731462.png (16.9 Kb) · 7986012.png (27.7 Kb)
 
 
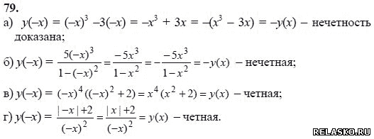
МЕДВЕДИКДата: Среда, 23.09.2015, 10:29 | Сообщение # 20
Генерал-лейтенант
Группа: Проверенные
Сообщений: 602
Награды: 0
Репутация: 0
Статус: Offline


 
Работай из дома! 18+
 
 


Для увеличения ответа на задание, нажмите на картинку



---------------------------------------------------------------------



---------------------------------------------------------------------



---------------------------------------------------------------------



---------------------------------------------------------------------



---------------------------------------------------------------------

Перейти в оглавление решебника ГДЗ по Алгебре. 11 класс. Колмогоров А. Н.
Фото: 8339483.png (21.8 Kb) · 8720608.png (20.4 Kb) · 6283629.png (27.6 Kb) · 4210673.png (23.0 Kb) · 7064289.png (12.3 Kb)
 
 
МЕДВЕДИКДата: Среда, 23.09.2015, 10:29 | Сообщение # 21
Генерал-лейтенант
Группа: Проверенные
Сообщений: 602
Награды: 0
Репутация: 0
Статус: Offline


 
Работай из дома! 18+
 
 


Для увеличения ответа на задание, нажмите на картинку



---------------------------------------------------------------------



---------------------------------------------------------------------



---------------------------------------------------------------------



---------------------------------------------------------------------



---------------------------------------------------------------------

Перейти в оглавление решебника ГДЗ по Алгебре. 11 класс. Колмогоров А. Н.
Фото: 0754093.png (4.0 Kb) · 4474016.png (33.1 Kb) · 5530329.png (6.1 Kb) · 1136068.png (4.6 Kb) · 9416284.png (8.8 Kb)
 
 
МЕДВЕДИКДата: Среда, 23.09.2015, 10:29 | Сообщение # 22
Генерал-лейтенант
Группа: Проверенные
Сообщений: 602
Награды: 0
Репутация: 0
Статус: Offline


 
Работай из дома! 18+
 
 


Для увеличения ответа на задание, нажмите на картинку



---------------------------------------------------------------------



---------------------------------------------------------------------



---------------------------------------------------------------------



---------------------------------------------------------------------



---------------------------------------------------------------------

Перейти в оглавление решебника ГДЗ по Алгебре. 11 класс. Колмогоров А. Н.
Фото: 6681900.png (10.6 Kb) · 6304443.png (16.9 Kb) · 8965054.png (4.4 Kb) · 9846809.png (10.5 Kb) · 1537441.png (35.8 Kb)
 
 
МЕДВЕДИКДата: Среда, 23.09.2015, 10:30 | Сообщение # 23
Генерал-лейтенант
Группа: Проверенные
Сообщений: 602
Награды: 0
Репутация: 0
Статус: Offline


 
Работай из дома! 18+
 
 


Для увеличения ответа на задание, нажмите на картинку



---------------------------------------------------------------------



---------------------------------------------------------------------



---------------------------------------------------------------------



---------------------------------------------------------------------



---------------------------------------------------------------------

Перейти в оглавление решебника ГДЗ по Алгебре. 11 класс. Колмогоров А. Н.
Фото: 6458528.png (11.9 Kb) · 8621337.png (9.7 Kb) · 8865331.png (73.9 Kb) · 4771100.png (7.2 Kb) · 2812498.png (16.4 Kb)
 
 
МЕДВЕДИКДата: Среда, 23.09.2015, 10:31 | Сообщение # 24
Генерал-лейтенант
Группа: Проверенные
Сообщений: 602
Награды: 0
Репутация: 0
Статус: Offline


 
Работай из дома! 18+
 
 


Для увеличения ответа на задание, нажмите на картинку



---------------------------------------------------------------------



---------------------------------------------------------------------



---------------------------------------------------------------------



---------------------------------------------------------------------



---------------------------------------------------------------------

Перейти в оглавление решебника ГДЗ по Алгебре. 11 класс. Колмогоров А. Н.
Фото: 2038931.png (21.8 Kb) · 5328043.png (125.2 Kb) · 2335635.png (8.9 Kb) · 3121389.png (22.6 Kb) · 9416199.png (13.1 Kb)
 
 
МЕДВЕДИКДата: Среда, 23.09.2015, 10:31 | Сообщение # 25
Генерал-лейтенант
Группа: Проверенные
Сообщений: 602
Награды: 0
Репутация: 0
Статус: Offline


 
Работай из дома! 18+
 
 


Для увеличения ответа на задание, нажмите на картинку



---------------------------------------------------------------------



---------------------------------------------------------------------



---------------------------------------------------------------------



---------------------------------------------------------------------



---------------------------------------------------------------------

Перейти в оглавление решебника ГДЗ по Алгебре. 11 класс. Колмогоров А. Н.
Фото: 1814981.png (25.1 Kb) · 5288047.png (15.7 Kb) · 1167096.png (14.9 Kb) · 6549337.png (22.0 Kb) · 6693438.png (5.4 Kb)
 
 
МЕДВЕДИКДата: Среда, 23.09.2015, 10:32 | Сообщение # 26
Генерал-лейтенант
Группа: Проверенные
Сообщений: 602
Награды: 0
Репутация: 0
Статус: Offline


 
Работай из дома! 18+
 
 


Для увеличения ответа на задание, нажмите на картинку



---------------------------------------------------------------------



---------------------------------------------------------------------



---------------------------------------------------------------------



---------------------------------------------------------------------



---------------------------------------------------------------------

Перейти в оглавление решебника ГДЗ по Алгебре. 11 класс. Колмогоров А. Н.
Фото: 9448604.png (3.9 Kb) · 3594393.png (19.2 Kb) · 1259961.png (18.1 Kb) · 5430934.png (10.2 Kb) · 2099812.png (8.6 Kb)
 
 
МЕДВЕДИКДата: Среда, 23.09.2015, 10:32 | Сообщение # 27
Генерал-лейтенант
Группа: Проверенные
Сообщений: 602
Награды: 0
Репутация: 0
Статус: Offline


 
Работай из дома! 18+
 
 


Для увеличения ответа на задание, нажмите на картинку



---------------------------------------------------------------------



---------------------------------------------------------------------



---------------------------------------------------------------------



---------------------------------------------------------------------



---------------------------------------------------------------------

Перейти в оглавление решебника ГДЗ по Алгебре. 11 класс. Колмогоров А. Н.
Фото: 8959005.png (58.2 Kb) · 8200957.png (11.8 Kb) · 4990725.png (13.0 Kb) · 1968714.png (8.5 Kb) · 7182189.png (28.2 Kb)
 
 
МЕДВЕДИКДата: Среда, 23.09.2015, 10:33 | Сообщение # 28
Генерал-лейтенант
Группа: Проверенные
Сообщений: 602
Награды: 0
Репутация: 0
Статус: Offline


 
Работай из дома! 18+
 
 


Для увеличения ответа на задание, нажмите на картинку



---------------------------------------------------------------------



---------------------------------------------------------------------



---------------------------------------------------------------------



---------------------------------------------------------------------



---------------------------------------------------------------------

Перейти в оглавление решебника ГДЗ по Алгебре. 11 класс. Колмогоров А. Н.
Фото: 7269879.png (12.3 Kb) · 6956064.png (10.5 Kb) · 9490543.png (17.8 Kb) · 1237395.png (17.1 Kb) · 5099493.png (13.9 Kb)
 
 
МЕДВЕДИКДата: Среда, 23.09.2015, 10:33 | Сообщение # 29
Генерал-лейтенант
Группа: Проверенные
Сообщений: 602
Награды: 0
Репутация: 0
Статус: Offline


 
Работай из дома! 18+
 
 


Для увеличения ответа на задание, нажмите на картинку



---------------------------------------------------------------------



---------------------------------------------------------------------



---------------------------------------------------------------------



---------------------------------------------------------------------



---------------------------------------------------------------------

Перейти в оглавление решебника ГДЗ по Алгебре. 11 класс. Колмогоров А. Н.
Фото: 8431744.png (19.4 Kb) · 1532484.png (19.7 Kb) · 1729852.png (13.4 Kb) · 3899374.png (11.7 Kb) · 6795006.png (17.1 Kb)
 
 
МЕДВЕДИКДата: Среда, 23.09.2015, 10:34 | Сообщение # 30
Генерал-лейтенант
Группа: Проверенные
Сообщений: 602
Награды: 0
Репутация: 0
Статус: Offline


 
Работай из дома! 18+
 
 


Для увеличения ответа на задание, нажмите на картинку



---------------------------------------------------------------------



---------------------------------------------------------------------



---------------------------------------------------------------------



---------------------------------------------------------------------



---------------------------------------------------------------------

Читать продолжение решебника...

Фото: 7265756.png (10.4 Kb) · 3360220.png (54.4 Kb) · 4926908.png (29.3 Kb) · 3926887.png (10.0 Kb) · 4992491.png (25.8 Kb)
 
 
  • Страница 2 из 8
  • «
  • 1
  • 2
  • 3
  • 4
  • 7
  • 8
  • »
Поиск:

Работай из дома! 18+
 
 
 
 
 
 

 
Последние темы на форуме:
 
  • Новогодние праздники 2021-2022 официальные выходные
  • Показатели давления и сердцебиения у женщины 57 лет
  • Гороскоп на декабрь 2021 Женщина Телец
  • Гороскоп на январь 2022 от Павла Глоба
  • Гороскоп на декабрь 2021 от Павла Глоба
  • Гороскоп на ноябрь 2021 от Павла Глоба
  • Стенограмма судьбы - Содержание серий, актеры и роли сериала
  • Мосгаз. Западня - Содержание серий, актеры и роли 2021
  • Тобол - Содержание серий, актеры и роли сериала. 2021
  • Гороскоп для Тигра на сегодня от Павла Глоба
  • Утраченные воспоминания - Содержание серий, актеры и роли
  • Чёрно-белая любовь - Содержание серий, актеры и роли сериала
  • Забытая женщина - Содержание серий, актеры и роли сериала
  • Тайна спящей дамы - Содержание серий, актеры и роли сериала
  • Сериал Часы с кукушкой - Содержание серий, актеры и роли
  •  
     

     
    Обращаем ваше внимание на то, что данный интернет-сайт www.kinolog.do.am носит исключительно информационный характер и ни при каких условиях не является публичной офертой, определяемой положениями Статьи 437 (2) Гражданского кодекса РФ. Цена и наличие товара может отличаться от действительной. Пожалуйста, уточняйте цены и наличие товара у наших менеджеров.
    Администрация сайта не несет ответственности за действия и содержание размещаемой информации пользователей: комментарии, материалы, сообщения и темы на форуме, публикации, объявления и т.д.
    Правообладателям | Реклама | Учебники | Политика
    Отопление, водоснабжение, газоснабжение, канализация © 2003 - 2021
    Рейтинг@Mail.ru Рейтинг арматурных сайтов. ARMTORG.RU Яндекс.Метрика