[ Новые сообщения · Участники · Правила форума · Поиск · RSS ]
 
Работай из дома! 18+

  • Страница 7 из 8
  • «
  • 1
  • 2
  • 5
  • 6
  • 7
  • 8
  • »
Решебник и ГДЗ по Алгебре. 10-11 класс. Колмогоров А. Н.
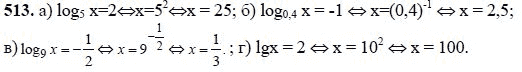
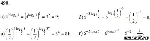
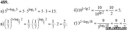
МЕДВЕДИКДата: Среда, 23.09.2015, 11:12 | Сообщение # 91
Генерал-лейтенант
Группа: Проверенные
Сообщений: 602
Награды: 0
Репутация: 0
Статус: Offline


 
Работай из дома! 18+
 
 




Для увеличения ответа на задание, нажмите на картинку



---------------------------------------------------------------------



---------------------------------------------------------------------



---------------------------------------------------------------------



---------------------------------------------------------------------



---------------------------------------------------------------------

Перейти в оглавление решебника ГДЗ по Алгебре. 11 класс. Колмогоров А. Н.
Фото: 7882761.png (5.9 Kb) · 9252784.png (5.0 Kb) · 3266462.png (7.1 Kb) · 5592886.png (6.2 Kb) · 2922214.png (5.1 Kb)
 
 
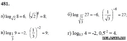
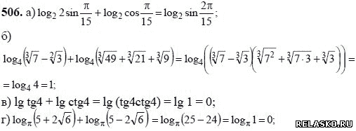
МЕДВЕДИКДата: Среда, 23.09.2015, 11:12 | Сообщение # 92
Генерал-лейтенант
Группа: Проверенные
Сообщений: 602
Награды: 0
Репутация: 0
Статус: Offline


 
Работай из дома! 18+
 
 


Для увеличения ответа на задание, нажмите на картинку



---------------------------------------------------------------------



---------------------------------------------------------------------



---------------------------------------------------------------------



---------------------------------------------------------------------



---------------------------------------------------------------------

Перейти в оглавление решебника ГДЗ по Алгебре. 11 класс. Колмогоров А. Н.
Фото: 1534287.png (5.3 Kb) · 7666502.png (5.6 Kb) · 5672726.png (22.2 Kb) · 6376988.png (3.0 Kb) · 7653772.png (7.1 Kb)
 
 
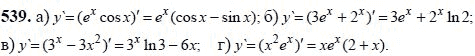
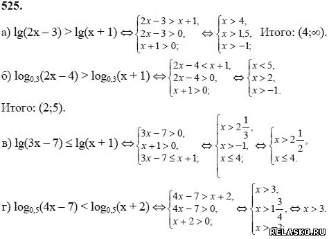
МЕДВЕДИКДата: Среда, 23.09.2015, 11:12 | Сообщение # 93
Генерал-лейтенант
Группа: Проверенные
Сообщений: 602
Награды: 0
Репутация: 0
Статус: Offline


 
Работай из дома! 18+
 
 


Для увеличения ответа на задание, нажмите на картинку



---------------------------------------------------------------------



---------------------------------------------------------------------



---------------------------------------------------------------------



---------------------------------------------------------------------



---------------------------------------------------------------------

Перейти в оглавление решебника ГДЗ по Алгебре. 11 класс. Колмогоров А. Н.
Фото: 8742518.png (6.8 Kb) · 2905477.png (13.4 Kb) · 0481807.png (15.5 Kb) · 7099800.png (15.0 Kb) · 4421896.png (12.9 Kb)
 
 
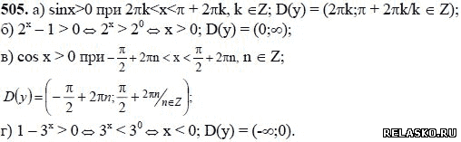
МЕДВЕДИКДата: Среда, 23.09.2015, 11:13 | Сообщение # 94
Генерал-лейтенант
Группа: Проверенные
Сообщений: 602
Награды: 0
Репутация: 0
Статус: Offline


 
Работай из дома! 18+
 
 


Для увеличения ответа на задание, нажмите на картинку



---------------------------------------------------------------------



---------------------------------------------------------------------



---------------------------------------------------------------------



---------------------------------------------------------------------



---------------------------------------------------------------------

Перейти в оглавление решебника ГДЗ по Алгебре. 11 класс. Колмогоров А. Н.
Фото: 3726124.png (7.4 Kb) · 7770197.png (7.4 Kb) · 5451247.png (18.6 Kb) · 2629539.png (15.7 Kb) · 2999293.png (8.9 Kb)
 
 
МЕДВЕДИКДата: Среда, 23.09.2015, 11:13 | Сообщение # 95
Генерал-лейтенант
Группа: Проверенные
Сообщений: 602
Награды: 0
Репутация: 0
Статус: Offline


 
Работай из дома! 18+
 
 


Для увеличения ответа на задание, нажмите на картинку



---------------------------------------------------------------------



---------------------------------------------------------------------



---------------------------------------------------------------------



---------------------------------------------------------------------



---------------------------------------------------------------------

Перейти в оглавление решебника ГДЗ по Алгебре. 11 класс. Колмогоров А. Н.
Фото: 8355268.png (11.0 Kb) · 7235496.png (10.4 Kb) · 0692105.png (9.8 Kb) · 9763448.png (14.7 Kb) · 5751428.png (27.3 Kb)
 
 
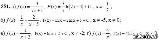
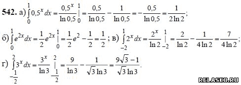
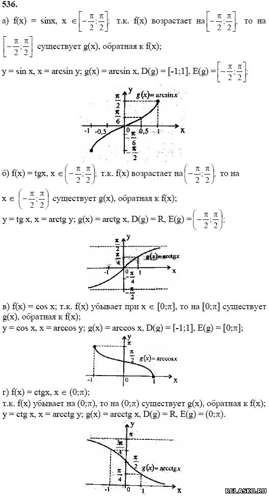
МЕДВЕДИКДата: Среда, 23.09.2015, 11:14 | Сообщение # 96
Генерал-лейтенант
Группа: Проверенные
Сообщений: 602
Награды: 0
Репутация: 0
Статус: Offline


 
Работай из дома! 18+
 
 


Для увеличения ответа на задание, нажмите на картинку



---------------------------------------------------------------------



---------------------------------------------------------------------



---------------------------------------------------------------------



---------------------------------------------------------------------



---------------------------------------------------------------------

Перейти в оглавление решебника ГДЗ по Алгебре. 11 класс. Колмогоров А. Н.
Фото: 2997441.png (11.8 Kb) · 5192320.png (10.9 Kb) · 8396318.png (15.6 Kb) · 2767245.png (13.6 Kb) · 6680581.png (33.9 Kb)
 
 
МЕДВЕДИКДата: Среда, 23.09.2015, 11:14 | Сообщение # 97
Генерал-лейтенант
Группа: Проверенные
Сообщений: 602
Награды: 0
Репутация: 0
Статус: Offline


 
Работай из дома! 18+
 
 


Для увеличения ответа на задание, нажмите на картинку



---------------------------------------------------------------------



---------------------------------------------------------------------



---------------------------------------------------------------------



---------------------------------------------------------------------



---------------------------------------------------------------------

Перейти в оглавление решебника ГДЗ по Алгебре. 11 класс. Колмогоров А. Н.
Фото: 4140496.png (2.5 Kb) · 2886524.png (17.2 Kb) · 5642969.png (10.9 Kb) · 9294702.png (6.5 Kb) · 4481408.png (10.3 Kb)
 
 
МЕДВЕДИКДата: Среда, 23.09.2015, 11:15 | Сообщение # 98
Генерал-лейтенант
Группа: Проверенные
Сообщений: 602
Награды: 0
Репутация: 0
Статус: Offline


 
Работай из дома! 18+
 
 


Для увеличения ответа на задание, нажмите на картинку



---------------------------------------------------------------------



---------------------------------------------------------------------



---------------------------------------------------------------------



---------------------------------------------------------------------



---------------------------------------------------------------------

Перейти в оглавление решебника ГДЗ по Алгебре. 11 класс. Колмогоров А. Н.
Фото: 2916399.png (7.6 Kb) · 7145824.png (12.4 Kb) · 0265160.png (13.5 Kb) · 7641432.png (18.9 Kb) · 0727459.png (24.6 Kb)
 
 
МЕДВЕДИКДата: Среда, 23.09.2015, 11:15 | Сообщение # 99
Генерал-лейтенант
Группа: Проверенные
Сообщений: 602
Награды: 0
Репутация: 0
Статус: Offline


 
Работай из дома! 18+
 
 


Для увеличения ответа на задание, нажмите на картинку



---------------------------------------------------------------------



---------------------------------------------------------------------



---------------------------------------------------------------------



---------------------------------------------------------------------



---------------------------------------------------------------------

Перейти в оглавление решебника ГДЗ по Алгебре. 11 класс. Колмогоров А. Н.
Фото: 9337250.png (12.8 Kb) · 5664487.png (36.4 Kb) · 5431179.png (34.4 Kb) · 7779190.png (17.7 Kb) · 0341508.png (26.7 Kb)
 
 
МЕДВЕДИКДата: Среда, 23.09.2015, 11:16 | Сообщение # 100
Генерал-лейтенант
Группа: Проверенные
Сообщений: 602
Награды: 0
Репутация: 0
Статус: Offline


 
Работай из дома! 18+
 
 


Для увеличения ответа на задание, нажмите на картинку



---------------------------------------------------------------------



---------------------------------------------------------------------



---------------------------------------------------------------------



---------------------------------------------------------------------



---------------------------------------------------------------------

Перейти в оглавление решебника ГДЗ по Алгебре. 11 класс. Колмогоров А. Н.
Фото: 1734980.png (18.1 Kb) · 7480617.png (31.6 Kb) · 5620439.png (21.5 Kb) · 8108802.png (31.4 Kb) · 5937991.png (31.4 Kb)
 
 
МЕДВЕДИКДата: Среда, 23.09.2015, 11:16 | Сообщение # 101
Генерал-лейтенант
Группа: Проверенные
Сообщений: 602
Награды: 0
Репутация: 0
Статус: Offline


 
Работай из дома! 18+
 
 


Для увеличения ответа на задание, нажмите на картинку



---------------------------------------------------------------------



---------------------------------------------------------------------



---------------------------------------------------------------------



---------------------------------------------------------------------



---------------------------------------------------------------------

Перейти в оглавление решебника ГДЗ по Алгебре. 11 класс. Колмогоров А. Н.
Фото: 0367834.png (34.4 Kb) · 7727408.png (21.1 Kb) · 7409870.png (25.6 Kb) · 6368966.png (25.6 Kb) · 4214824.png (22.5 Kb)
 
 
МЕДВЕДИКДата: Среда, 23.09.2015, 11:17 | Сообщение # 102
Генерал-лейтенант
Группа: Проверенные
Сообщений: 602
Награды: 0
Репутация: 0
Статус: Offline


 
Работай из дома! 18+
 
 


Для увеличения ответа на задание, нажмите на картинку



---------------------------------------------------------------------



---------------------------------------------------------------------



---------------------------------------------------------------------



---------------------------------------------------------------------



---------------------------------------------------------------------

Перейти в оглавление решебника ГДЗ по Алгебре. 11 класс. Колмогоров А. Н.
Фото: 8245499.png (39.8 Kb) · 6811732.png (46.7 Kb) · 0638938.png (14.6 Kb) · 1876753.png (4.1 Kb) · 5888145.png (6.4 Kb)
 
 
МЕДВЕДИКДата: Среда, 23.09.2015, 11:18 | Сообщение # 103
Генерал-лейтенант
Группа: Проверенные
Сообщений: 602
Награды: 0
Репутация: 0
Статус: Offline


 
Работай из дома! 18+
 
 


Для увеличения ответа на задание, нажмите на картинку



---------------------------------------------------------------------



---------------------------------------------------------------------



---------------------------------------------------------------------



---------------------------------------------------------------------



---------------------------------------------------------------------

Перейти в оглавление решебника ГДЗ по Алгебре. 11 класс. Колмогоров А. Н.
Фото: 9091019.png (6.4 Kb) · 3731888.png (15.5 Kb) · 6347371.png (5.4 Kb) · 6406135.png (10.2 Kb) · 2654440.png (21.6 Kb)
 
 
МЕДВЕДИКДата: Среда, 23.09.2015, 11:18 | Сообщение # 104
Генерал-лейтенант
Группа: Проверенные
Сообщений: 602
Награды: 0
Репутация: 0
Статус: Offline


 
Работай из дома! 18+
 
 


Для увеличения ответа на задание, нажмите на картинку



---------------------------------------------------------------------



---------------------------------------------------------------------



---------------------------------------------------------------------



---------------------------------------------------------------------



---------------------------------------------------------------------

Перейти в оглавление решебника ГДЗ по Алгебре. 11 класс. Колмогоров А. Н.
Фото: 7408791.png (18.7 Kb) · 9395987.png (36.8 Kb) · 0500790.png (9.4 Kb) · 5680701.png (16.2 Kb) · 7599801.png (30.7 Kb)
 
 
МЕДВЕДИКДата: Среда, 23.09.2015, 11:18 | Сообщение # 105
Генерал-лейтенант
Группа: Проверенные
Сообщений: 602
Награды: 0
Репутация: 0
Статус: Offline


 
Работай из дома! 18+
 
 


Для увеличения ответа на задание, нажмите на картинку



---------------------------------------------------------------------



---------------------------------------------------------------------



---------------------------------------------------------------------



---------------------------------------------------------------------



---------------------------------------------------------------------

Читать продолжение решебника...

Фото: 0713984.png (7.5 Kb) · 7684682.png (8.3 Kb) · 0493648.png (8.4 Kb) · 1552613.png (13.4 Kb) · 2595508.png (7.6 Kb)
 
 
  • Страница 7 из 8
  • «
  • 1
  • 2
  • 5
  • 6
  • 7
  • 8
  • »
Поиск:

Работай из дома! 18+
 
 
 
 
 
 

 
Последние темы на форуме:
 
  • Новогодние праздники 2021-2022 официальные выходные
  • Показатели давления и сердцебиения у женщины 57 лет
  • Гороскоп на декабрь 2021 Женщина Телец
  • Гороскоп на январь 2022 от Павла Глоба
  • Гороскоп на декабрь 2021 от Павла Глоба
  • Гороскоп на ноябрь 2021 от Павла Глоба
  • Стенограмма судьбы - Содержание серий, актеры и роли сериала
  • Мосгаз. Западня - Содержание серий, актеры и роли 2021
  • Тобол - Содержание серий, актеры и роли сериала. 2021
  • Гороскоп для Тигра на сегодня от Павла Глоба
  • Утраченные воспоминания - Содержание серий, актеры и роли
  • Чёрно-белая любовь - Содержание серий, актеры и роли сериала
  • Забытая женщина - Содержание серий, актеры и роли сериала
  • Тайна спящей дамы - Содержание серий, актеры и роли сериала
  • Сериал Часы с кукушкой - Содержание серий, актеры и роли
  •  
     

     
    Обращаем ваше внимание на то, что данный интернет-сайт www.kinolog.do.am носит исключительно информационный характер и ни при каких условиях не является публичной офертой, определяемой положениями Статьи 437 (2) Гражданского кодекса РФ. Цена и наличие товара может отличаться от действительной. Пожалуйста, уточняйте цены и наличие товара у наших менеджеров.
    Администрация сайта не несет ответственности за действия и содержание размещаемой информации пользователей: комментарии, материалы, сообщения и темы на форуме, публикации, объявления и т.д.
    Правообладателям | Реклама | Учебники | Политика
    Отопление, водоснабжение, газоснабжение, канализация © 2003 - 2021
    Рейтинг@Mail.ru Рейтинг арматурных сайтов. ARMTORG.RU Яндекс.Метрика