[ Новые сообщения · Участники · Правила форума · Поиск · RSS ]
 
Работай из дома! 18+

  • Страница 3 из 8
  • «
  • 1
  • 2
  • 3
  • 4
  • 5
  • 7
  • 8
  • »
Решебник и ГДЗ по Алгебре. 10-11 класс. Колмогоров А. Н.
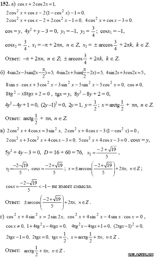
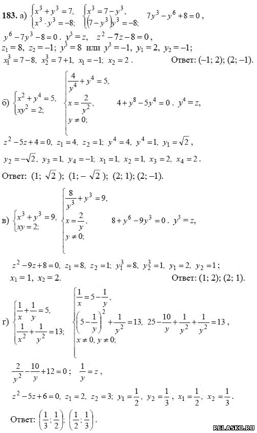
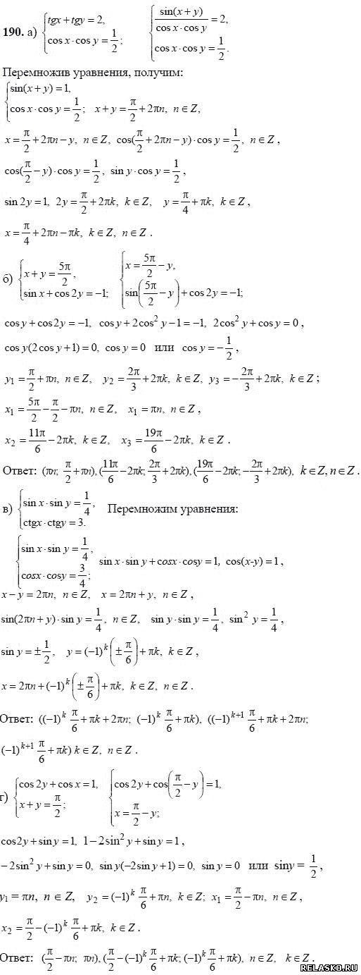
МЕДВЕДИКДата: Среда, 23.09.2015, 10:34 | Сообщение # 31
Генерал-лейтенант
Группа: Проверенные
Сообщений: 602
Награды: 0
Репутация: 0
Статус: Offline


 
Работай из дома! 18+
 
 




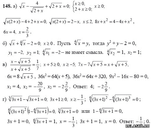
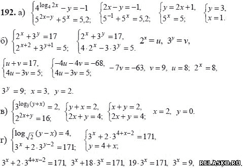
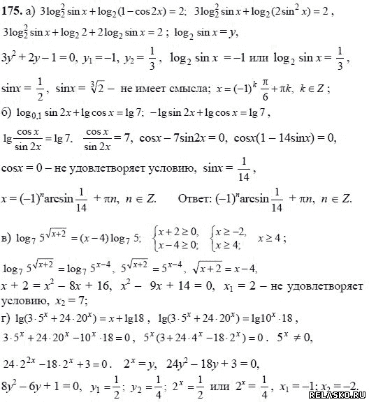
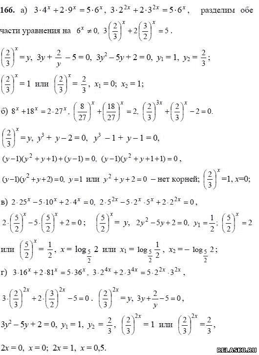
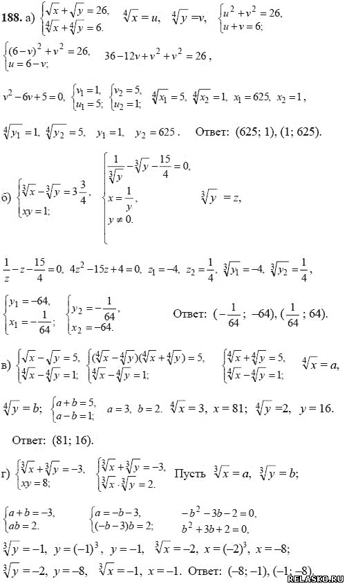
Для увеличения ответа на задание, нажмите на картинку



---------------------------------------------------------------------



---------------------------------------------------------------------



---------------------------------------------------------------------



---------------------------------------------------------------------



---------------------------------------------------------------------

Перейти в оглавление решебника ГДЗ по Алгебре. 11 класс. Колмогоров А. Н.
Фото: 2954195.png (20.8 Kb) · 0835814.png (17.3 Kb) · 9999552.png (20.4 Kb) · 7088126.png (24.4 Kb) · 7425806.png (20.7 Kb)
 
 
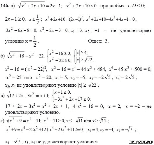
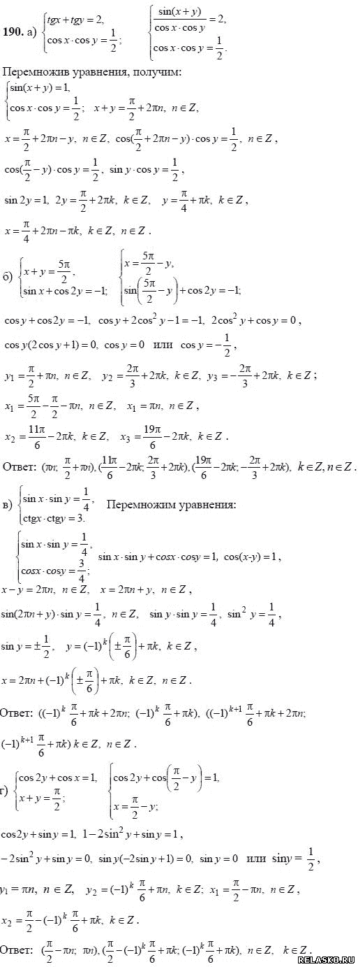
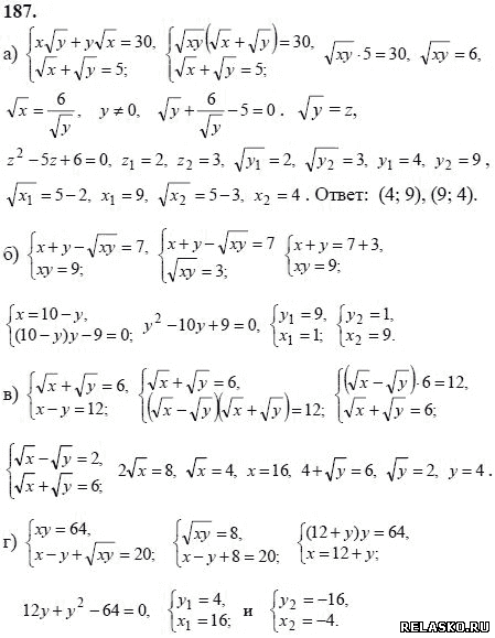
МЕДВЕДИКДата: Среда, 23.09.2015, 10:35 | Сообщение # 32
Генерал-лейтенант
Группа: Проверенные
Сообщений: 602
Награды: 0
Репутация: 0
Статус: Offline


 
Работай из дома! 18+
 
 


Для увеличения ответа на задание, нажмите на картинку



---------------------------------------------------------------------



---------------------------------------------------------------------



---------------------------------------------------------------------



---------------------------------------------------------------------



---------------------------------------------------------------------

Перейти в оглавление решебника ГДЗ по Алгебре. 11 класс. Колмогоров А. Н.
Фото: 8591262.png (31.4 Kb) · 2914779.png (32.6 Kb) · 0939515.png (26.0 Kb) · 8230703.png (36.4 Kb) · 9934039.png (15.4 Kb)
 
 
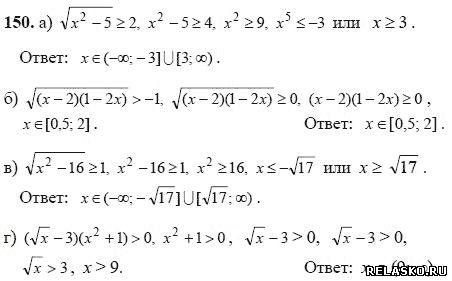
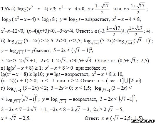
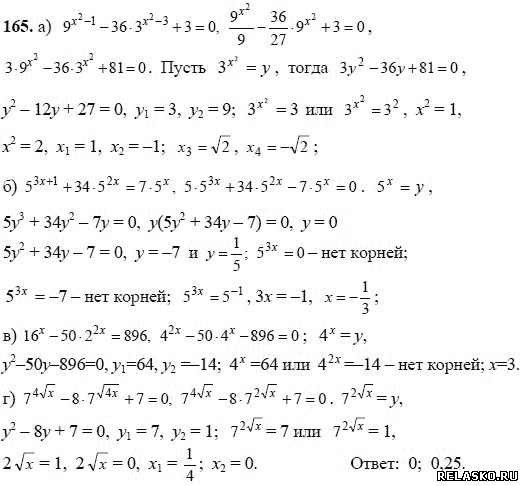
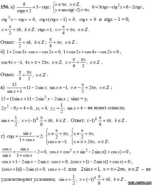
МЕДВЕДИКДата: Среда, 23.09.2015, 10:35 | Сообщение # 33
Генерал-лейтенант
Группа: Проверенные
Сообщений: 602
Награды: 0
Репутация: 0
Статус: Offline


 
Работай из дома! 18+
 
 


Для увеличения ответа на задание, нажмите на картинку



---------------------------------------------------------------------



---------------------------------------------------------------------



---------------------------------------------------------------------



---------------------------------------------------------------------



---------------------------------------------------------------------

Перейти в оглавление решебника ГДЗ по Алгебре. 11 класс. Колмогоров А. Н.
Фото: 9652871.png (22.2 Kb) · 9564894.png (38.4 Kb) · 4306132.png (36.6 Kb) · 3643262.png (48.0 Kb) · 8820639.png (27.1 Kb)
 
 
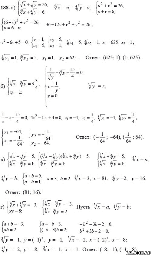
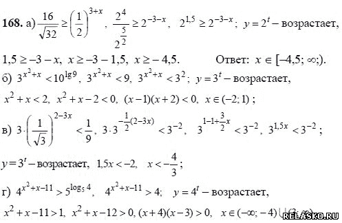
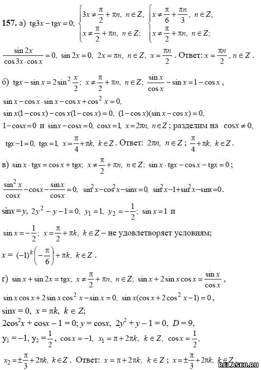
МЕДВЕДИКДата: Среда, 23.09.2015, 10:36 | Сообщение # 34
Генерал-лейтенант
Группа: Проверенные
Сообщений: 602
Награды: 0
Репутация: 0
Статус: Offline


 
Работай из дома! 18+
 
 


Для увеличения ответа на задание, нажмите на картинку



---------------------------------------------------------------------



---------------------------------------------------------------------



---------------------------------------------------------------------



---------------------------------------------------------------------



---------------------------------------------------------------------

Перейти в оглавление решебника ГДЗ по Алгебре. 11 класс. Колмогоров А. Н.
Фото: 7154412.png (32.4 Kb) · 2710997.png (43.4 Kb) · 1280162.png (10.3 Kb) · 5367911.png (29.0 Kb) · 2937050.png (31.2 Kb)
 
 
МЕДВЕДИКДата: Среда, 23.09.2015, 10:37 | Сообщение # 35
Генерал-лейтенант
Группа: Проверенные
Сообщений: 602
Награды: 0
Репутация: 0
Статус: Offline


 
Работай из дома! 18+
 
 


Для увеличения ответа на задание, нажмите на картинку



---------------------------------------------------------------------



---------------------------------------------------------------------



---------------------------------------------------------------------



---------------------------------------------------------------------



---------------------------------------------------------------------

Перейти в оглавление решебника ГДЗ по Алгебре. 11 класс. Колмогоров А. Н.
Фото: 9522714.png (24.2 Kb) · 0372744.png (33.5 Kb) · 2997518.png (15.2 Kb) · 2636362.png (20.0 Kb) · 9819777.png (31.1 Kb)
 
 
МЕДВЕДИКДата: Среда, 23.09.2015, 10:37 | Сообщение # 36
Генерал-лейтенант
Группа: Проверенные
Сообщений: 602
Награды: 0
Репутация: 0
Статус: Offline


 
Работай из дома! 18+
 
 


Для увеличения ответа на задание, нажмите на картинку



---------------------------------------------------------------------



---------------------------------------------------------------------



---------------------------------------------------------------------



---------------------------------------------------------------------



---------------------------------------------------------------------

Перейти в оглавление решебника ГДЗ по Алгебре. 11 класс. Колмогоров А. Н.
Фото: 7098028.png (39.3 Kb) · 1032300.png (33.5 Kb) · 1518763.png (19.6 Kb) · 9353245.png (32.2 Kb) · 5344472.png (20.9 Kb)
 
 
МЕДВЕДИКДата: Среда, 23.09.2015, 10:38 | Сообщение # 37
Генерал-лейтенант
Группа: Проверенные
Сообщений: 602
Награды: 0
Репутация: 0
Статус: Offline


 
Работай из дома! 18+
 
 


Для увеличения ответа на задание, нажмите на картинку



---------------------------------------------------------------------



---------------------------------------------------------------------



---------------------------------------------------------------------



---------------------------------------------------------------------



---------------------------------------------------------------------

Перейти в оглавление решебника ГДЗ по Алгебре. 11 класс. Колмогоров А. Н.
Фото: 0022579.png (35.0 Kb) · 0865165.png (29.3 Kb) · 5621492.png (20.8 Kb) · 7272245.png (27.4 Kb) · 8062939.png (37.1 Kb)
 
 
МЕДВЕДИКДата: Среда, 23.09.2015, 10:38 | Сообщение # 38
Генерал-лейтенант
Группа: Проверенные
Сообщений: 602
Награды: 0
Репутация: 0
Статус: Offline


 
Работай из дома! 18+
 
 


Для увеличения ответа на задание, нажмите на картинку



---------------------------------------------------------------------



---------------------------------------------------------------------



---------------------------------------------------------------------



---------------------------------------------------------------------



---------------------------------------------------------------------

Перейти в оглавление решебника ГДЗ по Алгебре. 11 класс. Колмогоров А. Н.
Фото: 8358705.png (37.0 Kb) · 7921818.png (48.0 Kb) · 2029167.png (43.6 Kb) · 9055962.png (30.4 Kb) · 2916312.png (16.7 Kb)
 
 
МЕДВЕДИКДата: Среда, 23.09.2015, 10:39 | Сообщение # 39
Генерал-лейтенант
Группа: Проверенные
Сообщений: 602
Награды: 0
Репутация: 0
Статус: Offline


 
Работай из дома! 18+
 
 


Для увеличения ответа на задание, нажмите на картинку



---------------------------------------------------------------------



---------------------------------------------------------------------



---------------------------------------------------------------------



---------------------------------------------------------------------



---------------------------------------------------------------------

Перейти в оглавление решебника ГДЗ по Алгебре. 11 класс. Колмогоров А. Н.
Фото: 5196372.png (34.4 Kb) · 9412827.png (30.7 Kb) · 4709314.png (34.4 Kb) · 9536439.png (20.8 Kb) · 5629186.png (29.8 Kb)
 
 
МЕДВЕДИКДата: Среда, 23.09.2015, 10:40 | Сообщение # 40
Генерал-лейтенант
Группа: Проверенные
Сообщений: 602
Награды: 0
Репутация: 0
Статус: Offline


 
Работай из дома! 18+
 
 


Для увеличения ответа на задание, нажмите на картинку



---------------------------------------------------------------------



---------------------------------------------------------------------



---------------------------------------------------------------------



---------------------------------------------------------------------



---------------------------------------------------------------------

Перейти в оглавление решебника ГДЗ по Алгебре. 11 класс. Колмогоров А. Н.
Фото: 9161333.png (30.7 Kb) · 6925179.png (30.5 Kb) · 0926988.png (37.0 Kb) · 2770473.png (73.2 Kb) · 0987543.png (50.2 Kb)
 
 
МЕДВЕДИКДата: Среда, 23.09.2015, 10:40 | Сообщение # 41
Генерал-лейтенант
Группа: Проверенные
Сообщений: 602
Награды: 0
Репутация: 0
Статус: Offline


 
Работай из дома! 18+
 
 


Для увеличения ответа на задание, нажмите на картинку



---------------------------------------------------------------------



---------------------------------------------------------------------



---------------------------------------------------------------------



---------------------------------------------------------------------



---------------------------------------------------------------------

Перейти в оглавление решебника ГДЗ по Алгебре. 11 класс. Колмогоров А. Н.
Фото: 9027195.png (30.7 Kb) · 8701455.png (30.5 Kb) · 0151591.png (37.0 Kb) · 5749937.png (73.2 Kb) · 7545131.png (50.2 Kb)
 
 
МЕДВЕДИКДата: Среда, 23.09.2015, 10:41 | Сообщение # 42
Генерал-лейтенант
Группа: Проверенные
Сообщений: 602
Награды: 0
Репутация: 0
Статус: Offline


 
Работай из дома! 18+
 
 


Для увеличения ответа на задание, нажмите на картинку



---------------------------------------------------------------------



---------------------------------------------------------------------



---------------------------------------------------------------------



---------------------------------------------------------------------



---------------------------------------------------------------------

Перейти в оглавление решебника ГДЗ по Алгебре. 11 класс. Колмогоров А. Н.
Фото: 2869278.png (22.3 Kb) · 4357192.png (19.3 Kb) · 4112551.png (33.2 Kb) · 3979644.png (42.9 Kb) · 5771093.png (40.6 Kb)
 
 
МЕДВЕДИКДата: Среда, 23.09.2015, 10:41 | Сообщение # 43
Генерал-лейтенант
Группа: Проверенные
Сообщений: 602
Награды: 0
Репутация: 0
Статус: Offline


 
Работай из дома! 18+
 
 


Для увеличения ответа на задание, нажмите на картинку



---------------------------------------------------------------------



---------------------------------------------------------------------



---------------------------------------------------------------------



---------------------------------------------------------------------



---------------------------------------------------------------------

Перейти в оглавление решебника ГДЗ по Алгебре. 11 класс. Колмогоров А. Н.
Фото: 7249937.png (48.5 Kb) · 5934148.png (25.9 Kb) · 7855003.png (23.8 Kb) · 0053665.png (21.1 Kb) · 9086024.png (16.6 Kb)
 
 
МЕДВЕДИКДата: Среда, 23.09.2015, 10:41 | Сообщение # 44
Генерал-лейтенант
Группа: Проверенные
Сообщений: 602
Награды: 0
Репутация: 0
Статус: Offline


 
Работай из дома! 18+
 
 


Для увеличения ответа на задание, нажмите на картинку



---------------------------------------------------------------------



---------------------------------------------------------------------



---------------------------------------------------------------------



---------------------------------------------------------------------



---------------------------------------------------------------------

Перейти в оглавление решебника ГДЗ по Алгебре. 11 класс. Колмогоров А. Н.
Фото: 9624727.png (13.6 Kb) · 4616193.png (10.3 Kb) · 8446033.png (13.3 Kb) · 7814258.png (10.3 Kb) · 6810640.png (11.3 Kb)
 
 
МЕДВЕДИКДата: Среда, 23.09.2015, 10:42 | Сообщение # 45
Генерал-лейтенант
Группа: Проверенные
Сообщений: 602
Награды: 0
Репутация: 0
Статус: Offline


 
Работай из дома! 18+
 
 


Для увеличения ответа на задание, нажмите на картинку



---------------------------------------------------------------------



---------------------------------------------------------------------



---------------------------------------------------------------------



---------------------------------------------------------------------



---------------------------------------------------------------------

Читать продолжение решебника...

Фото: 9895093.png (22.4 Kb) · 9652940.png (19.4 Kb) · 0852369.png (8.7 Kb) · 6520269.png (15.2 Kb) · 5188249.png (10.6 Kb)
 
 
  • Страница 3 из 8
  • «
  • 1
  • 2
  • 3
  • 4
  • 5
  • 7
  • 8
  • »
Поиск:

Работай из дома! 18+
 
 
 
 
 
 

 
Последние темы на форуме:
 
  • Новогодние праздники 2021-2022 официальные выходные
  • Показатели давления и сердцебиения у женщины 57 лет
  • Гороскоп на декабрь 2021 Женщина Телец
  • Гороскоп на январь 2022 от Павла Глоба
  • Гороскоп на декабрь 2021 от Павла Глоба
  • Гороскоп на ноябрь 2021 от Павла Глоба
  • Стенограмма судьбы - Содержание серий, актеры и роли сериала
  • Мосгаз. Западня - Содержание серий, актеры и роли 2021
  • Тобол - Содержание серий, актеры и роли сериала. 2021
  • Гороскоп для Тигра на сегодня от Павла Глоба
  • Утраченные воспоминания - Содержание серий, актеры и роли
  • Чёрно-белая любовь - Содержание серий, актеры и роли сериала
  • Забытая женщина - Содержание серий, актеры и роли сериала
  • Тайна спящей дамы - Содержание серий, актеры и роли сериала
  • Сериал Часы с кукушкой - Содержание серий, актеры и роли
  •  
     

     
    Обращаем ваше внимание на то, что данный интернет-сайт www.kinolog.do.am носит исключительно информационный характер и ни при каких условиях не является публичной офертой, определяемой положениями Статьи 437 (2) Гражданского кодекса РФ. Цена и наличие товара может отличаться от действительной. Пожалуйста, уточняйте цены и наличие товара у наших менеджеров.
    Администрация сайта не несет ответственности за действия и содержание размещаемой информации пользователей: комментарии, материалы, сообщения и темы на форуме, публикации, объявления и т.д.
    Правообладателям | Реклама | Учебники | Политика
    Отопление, водоснабжение, газоснабжение, канализация © 2003 - 2021
    Рейтинг@Mail.ru Рейтинг арматурных сайтов. ARMTORG.RU Яндекс.Метрика