[ Новые сообщения · Участники · Правила форума · Поиск · RSS ]
 
Работай из дома! 18+

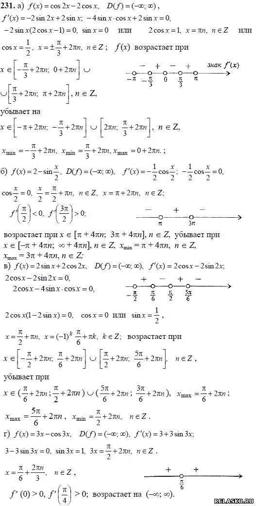
Решебник и ГДЗ по Алгебре. 10-11 класс. Колмогоров А. Н.
МЕДВЕДИКДата: Среда, 23.09.2015, 10:42 | Сообщение # 46
Генерал-лейтенант
Группа: Проверенные
Сообщений: 602
Награды: 0
Репутация: 0
Статус: Offline


 
Работай из дома! 18+
 
 




Для увеличения ответа на задание, нажмите на картинку



---------------------------------------------------------------------



---------------------------------------------------------------------



---------------------------------------------------------------------



---------------------------------------------------------------------



---------------------------------------------------------------------

Перейти в оглавление решебника ГДЗ по Алгебре. 11 класс. Колмогоров А. Н.
Фото: 5676970.png (15.3 Kb) · 1378765.png (24.4 Kb) · 4877711.png (33.4 Kb) · 1589909.png (22.7 Kb) · 0305565.png (16.8 Kb)
 
 
МЕДВЕДИКДата: Среда, 23.09.2015, 10:43 | Сообщение # 47
Генерал-лейтенант
Группа: Проверенные
Сообщений: 602
Награды: 0
Репутация: 0
Статус: Offline


 
Работай из дома! 18+
 
 


Для увеличения ответа на задание, нажмите на картинку



---------------------------------------------------------------------



---------------------------------------------------------------------



---------------------------------------------------------------------



---------------------------------------------------------------------



---------------------------------------------------------------------

Перейти в оглавление решебника ГДЗ по Алгебре. 11 класс. Колмогоров А. Н.
Фото: 8537481.png (10.9 Kb) · 6489881.png (14.5 Kb) · 9778950.png (22.9 Kb) · 1796447.png (17.1 Kb) · 5139230.png (17.9 Kb)
 
 
МЕДВЕДИКДата: Среда, 23.09.2015, 10:43 | Сообщение # 48
Генерал-лейтенант
Группа: Проверенные
Сообщений: 602
Награды: 0
Репутация: 0
Статус: Offline


 
Работай из дома! 18+
 
 


Для увеличения ответа на задание, нажмите на картинку



---------------------------------------------------------------------



---------------------------------------------------------------------



---------------------------------------------------------------------



---------------------------------------------------------------------



---------------------------------------------------------------------

Перейти в оглавление решебника ГДЗ по Алгебре. 11 класс. Колмогоров А. Н.
Фото: 8432937.png (10.6 Kb) · 6461869.png (15.1 Kb) · 2554233.png (19.5 Kb) · 1598860.png (51.4 Kb) · 8961259.png (5.5 Kb)
 
 
МЕДВЕДИКДата: Среда, 23.09.2015, 10:44 | Сообщение # 49
Генерал-лейтенант
Группа: Проверенные
Сообщений: 602
Награды: 0
Репутация: 0
Статус: Offline


 
Работай из дома! 18+
 
 


Для увеличения ответа на задание, нажмите на картинку



---------------------------------------------------------------------



---------------------------------------------------------------------



---------------------------------------------------------------------



---------------------------------------------------------------------



---------------------------------------------------------------------

Перейти в оглавление решебника ГДЗ по Алгебре. 11 класс. Колмогоров А. Н.
Фото: 3968106.png (5.3 Kb) · 4715184.png (3.3 Kb) · 7771886.png (21.9 Kb) · 7828598.png (13.3 Kb) · 5799191.png (39.7 Kb)
 
 
МЕДВЕДИКДата: Среда, 23.09.2015, 10:45 | Сообщение # 50
Генерал-лейтенант
Группа: Проверенные
Сообщений: 602
Награды: 0
Репутация: 0
Статус: Offline


 
Работай из дома! 18+
 
 


Для увеличения ответа на задание, нажмите на картинку



---------------------------------------------------------------------



---------------------------------------------------------------------



---------------------------------------------------------------------



---------------------------------------------------------------------



---------------------------------------------------------------------

Перейти в оглавление решебника ГДЗ по Алгебре. 11 класс. Колмогоров А. Н.
Фото: 1838120.png (49.8 Kb) · 4410231.png (85.5 Kb) · 3027752.png (111.6 Kb) · 2022412.png (62.6 Kb) · 7783490.png (38.2 Kb)
 
 
МЕДВЕДИКДата: Среда, 23.09.2015, 10:46 | Сообщение # 51
Генерал-лейтенант
Группа: Проверенные
Сообщений: 602
Награды: 0
Репутация: 0
Статус: Offline


 
Работай из дома! 18+
 
 


Для увеличения ответа на задание, нажмите на картинку



---------------------------------------------------------------------



---------------------------------------------------------------------



---------------------------------------------------------------------



---------------------------------------------------------------------



---------------------------------------------------------------------

Перейти в оглавление решебника ГДЗ по Алгебре. 11 класс. Колмогоров А. Н.
Фото: 3190073.png (17.2 Kb) · 0103286.png (16.5 Kb) · 5673770.png (12.1 Kb) · 1959107.png (28.6 Kb) · 9907810.png (32.3 Kb)
 
 
МЕДВЕДИКДата: Среда, 23.09.2015, 10:46 | Сообщение # 52
Генерал-лейтенант
Группа: Проверенные
Сообщений: 602
Награды: 0
Репутация: 0
Статус: Offline


 
Работай из дома! 18+
 
 


Для увеличения ответа на задание, нажмите на картинку



---------------------------------------------------------------------



---------------------------------------------------------------------



---------------------------------------------------------------------



---------------------------------------------------------------------



---------------------------------------------------------------------

Перейти в оглавление решебника ГДЗ по Алгебре. 11 класс. Колмогоров А. Н.
Фото: 0212939.png (15.4 Kb) · 9405226.png (21.5 Kb) · 2987060.png (22.9 Kb) · 8404226.png (33.6 Kb) · 7118941.png (27.5 Kb)
 
 
МЕДВЕДИКДата: Среда, 23.09.2015, 10:47 | Сообщение # 53
Генерал-лейтенант
Группа: Проверенные
Сообщений: 602
Награды: 0
Репутация: 0
Статус: Offline


 
Работай из дома! 18+
 
 


Для увеличения ответа на задание, нажмите на картинку



---------------------------------------------------------------------



---------------------------------------------------------------------



---------------------------------------------------------------------



---------------------------------------------------------------------



---------------------------------------------------------------------

Перейти в оглавление решебника ГДЗ по Алгебре. 11 класс. Колмогоров А. Н.
Фото: 3146776.png (27.1 Kb) · 2916144.png (16.7 Kb) · 4618872.png (16.8 Kb) · 9697024.png (21.3 Kb) · 3354838.png (25.6 Kb)
 
 
МЕДВЕДИКДата: Среда, 23.09.2015, 10:47 | Сообщение # 54
Генерал-лейтенант
Группа: Проверенные
Сообщений: 602
Награды: 0
Репутация: 0
Статус: Offline


 
Работай из дома! 18+
 
 


Для увеличения ответа на задание, нажмите на картинку



---------------------------------------------------------------------



---------------------------------------------------------------------



---------------------------------------------------------------------



---------------------------------------------------------------------



---------------------------------------------------------------------

Перейти в оглавление решебника ГДЗ по Алгебре. 11 класс. Колмогоров А. Н.
Фото: 8582454.png (29.6 Kb) · 7232743.png (20.6 Kb) · 3081273.png (17.3 Kb) · 1120025.png (10.1 Kb) · 2395190.png (4.1 Kb)
 
 
МЕДВЕДИКДата: Среда, 23.09.2015, 10:48 | Сообщение # 55
Генерал-лейтенант
Группа: Проверенные
Сообщений: 602
Награды: 0
Репутация: 0
Статус: Offline


 
Работай из дома! 18+
 
 


Для увеличения ответа на задание, нажмите на картинку



---------------------------------------------------------------------



---------------------------------------------------------------------



---------------------------------------------------------------------



---------------------------------------------------------------------



---------------------------------------------------------------------

Перейти в оглавление решебника ГДЗ по Алгебре. 11 класс. Колмогоров А. Н.
Фото: 7739271.png (4.0 Kb) · 2650695.png (27.7 Kb) · 6097623.png (15.7 Kb) · 1261104.png (22.1 Kb) · 7637737.png (8.5 Kb)
 
 
МЕДВЕДИКДата: Среда, 23.09.2015, 10:48 | Сообщение # 56
Генерал-лейтенант
Группа: Проверенные
Сообщений: 602
Награды: 0
Репутация: 0
Статус: Offline


 
Работай из дома! 18+
 
 


Для увеличения ответа на задание, нажмите на картинку



---------------------------------------------------------------------



---------------------------------------------------------------------



---------------------------------------------------------------------



---------------------------------------------------------------------



---------------------------------------------------------------------

Перейти в оглавление решебника ГДЗ по Алгебре. 11 класс. Колмогоров А. Н.
Фото: 4600045.png (6.5 Kb) · 6835353.png (11.6 Kb) · 4699221.png (13.4 Kb) · 8788185.png (3.1 Kb) · 3873583.png (10.6 Kb)
 
 
МЕДВЕДИКДата: Среда, 23.09.2015, 10:49 | Сообщение # 57
Генерал-лейтенант
Группа: Проверенные
Сообщений: 602
Награды: 0
Репутация: 0
Статус: Offline


 
Работай из дома! 18+
 
 


Для увеличения ответа на задание, нажмите на картинку



---------------------------------------------------------------------



---------------------------------------------------------------------



---------------------------------------------------------------------



---------------------------------------------------------------------



---------------------------------------------------------------------

Перейти в оглавление решебника ГДЗ по Алгебре. 11 класс. Колмогоров А. Н.
Фото: 4884411.png (10.9 Kb) · 1614756.png (26.3 Kb) · 7394277.png (5.2 Kb) · 9580606.png (12.7 Kb) · 4093530.png (4.3 Kb)
 
 
МЕДВЕДИКДата: Среда, 23.09.2015, 10:50 | Сообщение # 58
Генерал-лейтенант
Группа: Проверенные
Сообщений: 602
Награды: 0
Репутация: 0
Статус: Offline


 
Работай из дома! 18+
 
 


Для увеличения ответа на задание, нажмите на картинку



---------------------------------------------------------------------



---------------------------------------------------------------------



---------------------------------------------------------------------



---------------------------------------------------------------------



---------------------------------------------------------------------

Перейти в оглавление решебника ГДЗ по Алгебре. 11 класс. Колмогоров А. Н.
Фото: 4071183.png (4.2 Kb) · 7085678.png (5.1 Kb) · 1111094.png (21.3 Kb) · 5751047.png (14.5 Kb) · 4427275.png (41.1 Kb)
 
 
МЕДВЕДИКДата: Среда, 23.09.2015, 10:50 | Сообщение # 59
Генерал-лейтенант
Группа: Проверенные
Сообщений: 602
Награды: 0
Репутация: 0
Статус: Offline


 
Работай из дома! 18+
 
 


Для увеличения ответа на задание, нажмите на картинку



---------------------------------------------------------------------



---------------------------------------------------------------------



---------------------------------------------------------------------



---------------------------------------------------------------------



---------------------------------------------------------------------

Перейти в оглавление решебника ГДЗ по Алгебре. 11 класс. Колмогоров А. Н.
Фото: 5192335.png (16.4 Kb) · 9107738.png (16.4 Kb) · 3510807.png (11.7 Kb) · 7185833.png (13.1 Kb) · 5797671.png (5.2 Kb)
 
 
МЕДВЕДИКДата: Среда, 23.09.2015, 10:51 | Сообщение # 60
Генерал-лейтенант
Группа: Проверенные
Сообщений: 602
Награды: 0
Репутация: 0
Статус: Offline


 
Работай из дома! 18+
 
 


Для увеличения ответа на задание, нажмите на картинку



---------------------------------------------------------------------



---------------------------------------------------------------------



---------------------------------------------------------------------



---------------------------------------------------------------------



---------------------------------------------------------------------

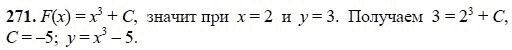
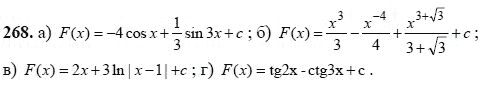
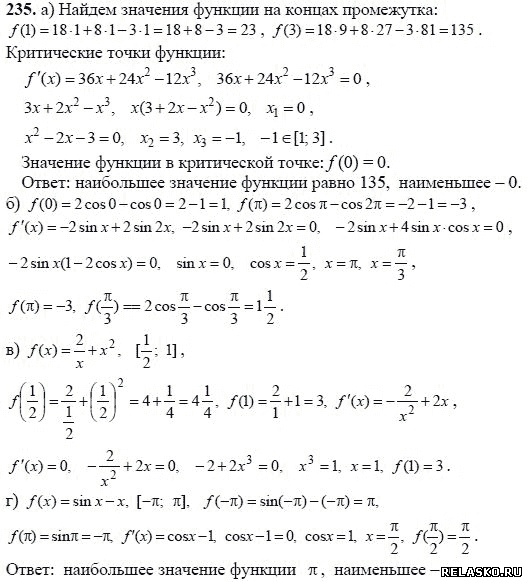
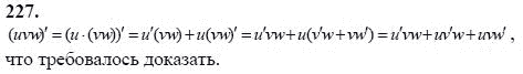
Читать продолжение решебника...

Фото: 3148254.png (7.7 Kb) · 5546367.png (13.1 Kb) · 0255395.png (25.7 Kb) · 1141285.png (13.8 Kb) · 6599773.png (12.7 Kb)
 
 
Поиск:

Работай из дома! 18+
 
 
 
 
 
 

 
Последние темы на форуме:
 
  • Новогодние праздники 2021-2022 официальные выходные
  • Показатели давления и сердцебиения у женщины 57 лет
  • Гороскоп на декабрь 2021 Женщина Телец
  • Гороскоп на январь 2022 от Павла Глоба
  • Гороскоп на декабрь 2021 от Павла Глоба
  • Гороскоп на ноябрь 2021 от Павла Глоба
  • Стенограмма судьбы - Содержание серий, актеры и роли сериала
  • Мосгаз. Западня - Содержание серий, актеры и роли 2021
  • Тобол - Содержание серий, актеры и роли сериала. 2021
  • Гороскоп для Тигра на сегодня от Павла Глоба
  • Утраченные воспоминания - Содержание серий, актеры и роли
  • Чёрно-белая любовь - Содержание серий, актеры и роли сериала
  • Забытая женщина - Содержание серий, актеры и роли сериала
  • Тайна спящей дамы - Содержание серий, актеры и роли сериала
  • Сериал Часы с кукушкой - Содержание серий, актеры и роли
  •  
     

     
    Обращаем ваше внимание на то, что данный интернет-сайт www.kinolog.do.am носит исключительно информационный характер и ни при каких условиях не является публичной офертой, определяемой положениями Статьи 437 (2) Гражданского кодекса РФ. Цена и наличие товара может отличаться от действительной. Пожалуйста, уточняйте цены и наличие товара у наших менеджеров.
    Администрация сайта не несет ответственности за действия и содержание размещаемой информации пользователей: комментарии, материалы, сообщения и темы на форуме, публикации, объявления и т.д.
    Правообладателям | Реклама | Учебники | Политика
    Отопление, водоснабжение, газоснабжение, канализация © 2003 - 2021
    Рейтинг@Mail.ru Рейтинг арматурных сайтов. ARMTORG.RU Яндекс.Метрика