[ Новые сообщения · Участники · Правила форума · Поиск · RSS ]
 
Работай из дома! 18+

  • Страница 6 из 8
  • «
  • 1
  • 2
  • 4
  • 5
  • 6
  • 7
  • 8
  • »
Решебник и ГДЗ по Алгебре. 10-11 класс. Колмогоров А. Н.
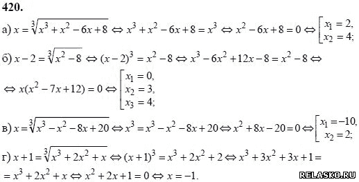
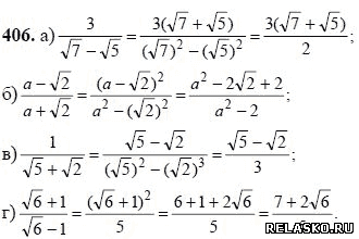
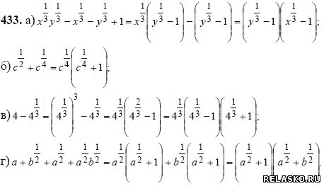
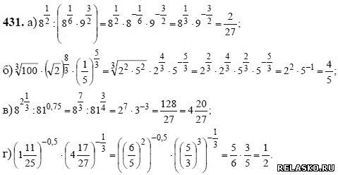
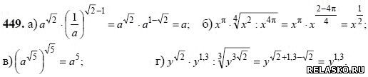
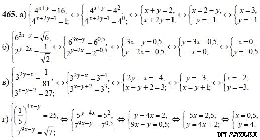
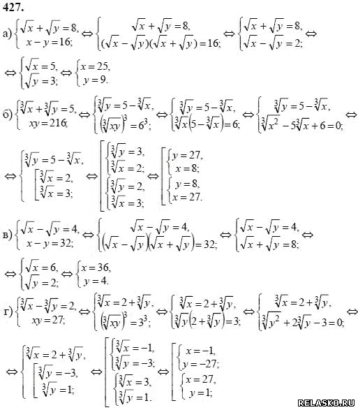
МЕДВЕДИКДата: Среда, 23.09.2015, 11:03 | Сообщение # 76
Генерал-лейтенант
Группа: Проверенные
Сообщений: 602
Награды: 0
Репутация: 0
Статус: Offline


 
Работай из дома! 18+
 
 




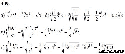
Для увеличения ответа на задание, нажмите на картинку



---------------------------------------------------------------------



---------------------------------------------------------------------



---------------------------------------------------------------------



---------------------------------------------------------------------



---------------------------------------------------------------------

Перейти в оглавление решебника ГДЗ по Алгебре. 11 класс. Колмогоров А. Н.
Фото: 7697792.png (7.9 Kb) · 8271940.png (11.8 Kb) · 8627063.png (7.9 Kb) · 8573699.png (9.3 Kb) · 5750153.png (10.7 Kb)
 
 
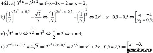
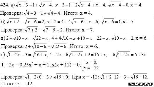
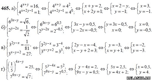
МЕДВЕДИКДата: Среда, 23.09.2015, 11:05 | Сообщение # 77
Генерал-лейтенант
Группа: Проверенные
Сообщений: 602
Награды: 0
Репутация: 0
Статус: Offline


 
Работай из дома! 18+
 
 


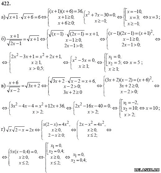
Для увеличения ответа на задание, нажмите на картинку



---------------------------------------------------------------------



---------------------------------------------------------------------



---------------------------------------------------------------------



---------------------------------------------------------------------



---------------------------------------------------------------------

Перейти в оглавление решебника ГДЗ по Алгебре. 11 класс. Колмогоров А. Н.
Фото: 0536833.png (17.0 Kb) · 7674967.png (11.9 Kb) · 0323796.png (9.7 Kb) · 2735124.png (3.1 Kb) · 1814964.png (7.8 Kb)
 
 
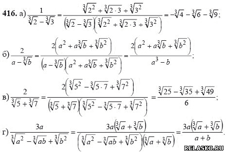
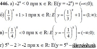
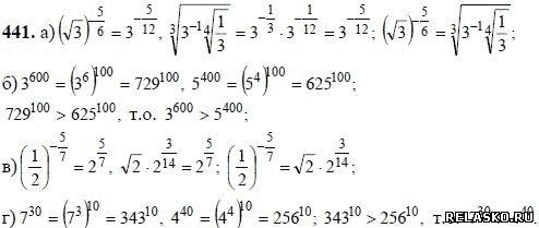
МЕДВЕДИКДата: Среда, 23.09.2015, 11:05 | Сообщение # 78
Генерал-лейтенант
Группа: Проверенные
Сообщений: 602
Награды: 0
Репутация: 0
Статус: Offline


 
Работай из дома! 18+
 
 


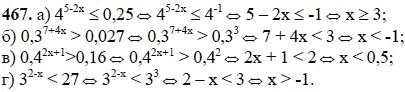
Для увеличения ответа на задание, нажмите на картинку



---------------------------------------------------------------------



---------------------------------------------------------------------



---------------------------------------------------------------------



---------------------------------------------------------------------



---------------------------------------------------------------------

Перейти в оглавление решебника ГДЗ по Алгебре. 11 класс. Колмогоров А. Н.
Фото: 0657738.png (10.7 Kb) · 2890152.png (18.0 Kb) · 0747536.png (8.8 Kb) · 5452581.png (21.0 Kb) · 8028444.png (19.9 Kb)
 
 
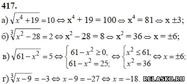
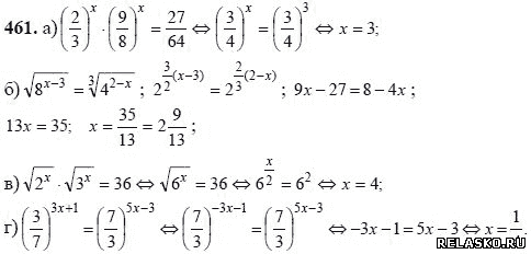
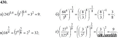
МЕДВЕДИКДата: Среда, 23.09.2015, 11:06 | Сообщение # 79
Генерал-лейтенант
Группа: Проверенные
Сообщений: 602
Награды: 0
Репутация: 0
Статус: Offline


 
Работай из дома! 18+
 
 


Для увеличения ответа на задание, нажмите на картинку



---------------------------------------------------------------------



---------------------------------------------------------------------



---------------------------------------------------------------------



---------------------------------------------------------------------



---------------------------------------------------------------------

Перейти в оглавление решебника ГДЗ по Алгебре. 11 класс. Колмогоров А. Н.
Фото: 0537209.png (14.6 Kb) · 8393693.png (29.1 Kb) · 8418022.png (28.9 Kb) · 9097731.png (19.7 Kb) · 4444307.png (20.4 Kb)
 
 
МЕДВЕДИКДата: Среда, 23.09.2015, 11:06 | Сообщение # 80
Генерал-лейтенант
Группа: Проверенные
Сообщений: 602
Награды: 0
Репутация: 0
Статус: Offline


 
Работай из дома! 18+
 
 


Для увеличения ответа на задание, нажмите на картинку



---------------------------------------------------------------------



---------------------------------------------------------------------



---------------------------------------------------------------------



---------------------------------------------------------------------



---------------------------------------------------------------------

Перейти в оглавление решебника ГДЗ по Алгебре. 11 класс. Колмогоров А. Н.
Фото: 3171601.png (27.6 Kb) · 3164275.png (34.3 Kb) · 0660406.png (4.9 Kb) · 1872940.png (3.4 Kb) · 5504695.png (9.1 Kb)
 
 
МЕДВЕДИКДата: Среда, 23.09.2015, 11:07 | Сообщение # 81
Генерал-лейтенант
Группа: Проверенные
Сообщений: 602
Награды: 0
Репутация: 0
Статус: Offline


 
Работай из дома! 18+
 
 


Для увеличения ответа на задание, нажмите на картинку



---------------------------------------------------------------------



---------------------------------------------------------------------



---------------------------------------------------------------------



---------------------------------------------------------------------



---------------------------------------------------------------------

Перейти в оглавление решебника ГДЗ по Алгебре. 11 класс. Колмогоров А. Н.
Фото: 0063643.png (11.5 Kb) · 9804613.png (6.6 Kb) · 4152577.png (14.4 Kb) · 6117529.png (14.2 Kb) · 8201435.png (26.0 Kb)
 
 
МЕДВЕДИКДата: Среда, 23.09.2015, 11:07 | Сообщение # 82
Генерал-лейтенант
Группа: Проверенные
Сообщений: 602
Награды: 0
Репутация: 0
Статус: Offline


 
Работай из дома! 18+
 
 


Для увеличения ответа на задание, нажмите на картинку



---------------------------------------------------------------------



---------------------------------------------------------------------



---------------------------------------------------------------------



---------------------------------------------------------------------



---------------------------------------------------------------------

Перейти в оглавление решебника ГДЗ по Алгебре. 11 класс. Колмогоров А. Н.
Фото: 0320687.png (12.9 Kb) · 5276538.png (18.2 Kb) · 4748307.png (33.9 Kb) · 3122121.png (8.0 Kb) · 6199660.png (7.6 Kb)
 
 
МЕДВЕДИКДата: Среда, 23.09.2015, 11:08 | Сообщение # 83
Генерал-лейтенант
Группа: Проверенные
Сообщений: 602
Награды: 0
Репутация: 0
Статус: Offline


 
Работай из дома! 18+
 
 


Для увеличения ответа на задание, нажмите на картинку



---------------------------------------------------------------------



---------------------------------------------------------------------



---------------------------------------------------------------------



---------------------------------------------------------------------



---------------------------------------------------------------------

Перейти в оглавление решебника ГДЗ по Алгебре. 11 класс. Колмогоров А. Н.
Фото: 5739710.png (15.2 Kb) · 4885433.png (7.1 Kb) · 7439374.png (10.3 Kb) · 9139929.png (5.6 Kb) · 5137460.png (23.6 Kb)
 
 
МЕДВЕДИКДата: Среда, 23.09.2015, 11:09 | Сообщение # 84
Генерал-лейтенант
Группа: Проверенные
Сообщений: 602
Награды: 0
Репутация: 0
Статус: Offline


 
Работай из дома! 18+
 
 


Для увеличения ответа на задание, нажмите на картинку



---------------------------------------------------------------------



---------------------------------------------------------------------



---------------------------------------------------------------------



---------------------------------------------------------------------



---------------------------------------------------------------------

Перейти в оглавление решебника ГДЗ по Алгебре. 11 класс. Колмогоров А. Н.
Фото: 5216254.png (11.8 Kb) · 4058674.png (10.1 Kb) · 5354044.png (6.5 Kb) · 5207033.png (6.3 Kb) · 7970430.png (22.0 Kb)
 
 
МЕДВЕДИКДата: Среда, 23.09.2015, 11:09 | Сообщение # 85
Генерал-лейтенант
Группа: Проверенные
Сообщений: 602
Награды: 0
Репутация: 0
Статус: Offline


 
Работай из дома! 18+
 
 


Для увеличения ответа на задание, нажмите на картинку



---------------------------------------------------------------------



---------------------------------------------------------------------



---------------------------------------------------------------------



---------------------------------------------------------------------



---------------------------------------------------------------------

Перейти в оглавление решебника ГДЗ по Алгебре. 11 класс. Колмогоров А. Н.
Фото: 0240940.png (7.4 Kb) · 1249121.png (17.3 Kb) · 6190496.png (15.9 Kb) · 7404014.png (22.6 Kb) · 2609999.png (16.7 Kb)
 
 
МЕДВЕДИКДата: Среда, 23.09.2015, 11:09 | Сообщение # 86
Генерал-лейтенант
Группа: Проверенные
Сообщений: 602
Награды: 0
Репутация: 0
Статус: Offline


 
Работай из дома! 18+
 
 


Для увеличения ответа на задание, нажмите на картинку



---------------------------------------------------------------------



---------------------------------------------------------------------



---------------------------------------------------------------------



---------------------------------------------------------------------



---------------------------------------------------------------------

Перейти в оглавление решебника ГДЗ по Алгебре. 11 класс. Колмогоров А. Н.
Фото: 3285716.png (16.8 Kb) · 8996696.png (46.1 Kb) · 2391536.png (49.2 Kb) · 6324284.png (1.8 Kb) · 0813412.png (7.0 Kb)
 
 
МЕДВЕДИКДата: Среда, 23.09.2015, 11:10 | Сообщение # 87
Генерал-лейтенант
Группа: Проверенные
Сообщений: 602
Награды: 0
Репутация: 0
Статус: Offline


 
Работай из дома! 18+
 
 


Для увеличения ответа на задание, нажмите на картинку



---------------------------------------------------------------------



---------------------------------------------------------------------



---------------------------------------------------------------------



---------------------------------------------------------------------



---------------------------------------------------------------------

Перейти в оглавление решебника ГДЗ по Алгебре. 11 класс. Колмогоров А. Н.
Фото: 5684722.png (11.5 Kb) · 3549168.png (10.4 Kb) · 0825271.png (10.8 Kb) · 9712275.png (23.5 Kb) · 0309695.png (21.8 Kb)
 
 
МЕДВЕДИКДата: Среда, 23.09.2015, 11:10 | Сообщение # 88
Генерал-лейтенант
Группа: Проверенные
Сообщений: 602
Награды: 0
Репутация: 0
Статус: Offline


 
Работай из дома! 18+
 
 


Для увеличения ответа на задание, нажмите на картинку



---------------------------------------------------------------------



---------------------------------------------------------------------



---------------------------------------------------------------------



---------------------------------------------------------------------



---------------------------------------------------------------------

Перейти в оглавление решебника ГДЗ по Алгебре. 11 класс. Колмогоров А. Н.
Фото: 5361282.png (21.8 Kb) · 2789299.png (8.9 Kb) · 1161333.png (10.4 Kb) · 9225733.png (15.5 Kb) · 4786067.png (11.0 Kb)
 
 
МЕДВЕДИКДата: Среда, 23.09.2015, 11:11 | Сообщение # 89
Генерал-лейтенант
Группа: Проверенные
Сообщений: 602
Награды: 0
Репутация: 0
Статус: Offline


 
Работай из дома! 18+
 
 


Для увеличения ответа на задание, нажмите на картинку



---------------------------------------------------------------------



---------------------------------------------------------------------



---------------------------------------------------------------------



---------------------------------------------------------------------



---------------------------------------------------------------------

Перейти в оглавление решебника ГДЗ по Алгебре. 11 класс. Колмогоров А. Н.
Фото: 8948335.png (23.1 Kb) · 1235761.png (28.7 Kb) · 7391758.png (17.7 Kb) · 1861404.png (14.3 Kb) · 2829106.png (16.4 Kb)
 
 
МЕДВЕДИКДата: Среда, 23.09.2015, 11:11 | Сообщение # 90
Генерал-лейтенант
Группа: Проверенные
Сообщений: 602
Награды: 0
Репутация: 0
Статус: Offline


 
Работай из дома! 18+
 
 


Для увеличения ответа на задание, нажмите на картинку



---------------------------------------------------------------------



---------------------------------------------------------------------



---------------------------------------------------------------------



---------------------------------------------------------------------



---------------------------------------------------------------------

Читать продолжение решебника...

Фото: 6081302.png (34.9 Kb) · 0341182.png (2.7 Kb) · 4948792.png (2.7 Kb) · 1241194.png (3.2 Kb) · 6809139.png (4.5 Kb)
 
 
  • Страница 6 из 8
  • «
  • 1
  • 2
  • 4
  • 5
  • 6
  • 7
  • 8
  • »
Поиск:

Работай из дома! 18+
 
 
 
 
 
 

 
Последние темы на форуме:
 
  • Новогодние праздники 2021-2022 официальные выходные
  • Показатели давления и сердцебиения у женщины 57 лет
  • Гороскоп на декабрь 2021 Женщина Телец
  • Гороскоп на январь 2022 от Павла Глоба
  • Гороскоп на декабрь 2021 от Павла Глоба
  • Гороскоп на ноябрь 2021 от Павла Глоба
  • Стенограмма судьбы - Содержание серий, актеры и роли сериала
  • Мосгаз. Западня - Содержание серий, актеры и роли 2021
  • Тобол - Содержание серий, актеры и роли сериала. 2021
  • Гороскоп для Тигра на сегодня от Павла Глоба
  • Утраченные воспоминания - Содержание серий, актеры и роли
  • Чёрно-белая любовь - Содержание серий, актеры и роли сериала
  • Забытая женщина - Содержание серий, актеры и роли сериала
  • Тайна спящей дамы - Содержание серий, актеры и роли сериала
  • Сериал Часы с кукушкой - Содержание серий, актеры и роли
  •  
     

     
    Обращаем ваше внимание на то, что данный интернет-сайт www.kinolog.do.am носит исключительно информационный характер и ни при каких условиях не является публичной офертой, определяемой положениями Статьи 437 (2) Гражданского кодекса РФ. Цена и наличие товара может отличаться от действительной. Пожалуйста, уточняйте цены и наличие товара у наших менеджеров.
    Администрация сайта не несет ответственности за действия и содержание размещаемой информации пользователей: комментарии, материалы, сообщения и темы на форуме, публикации, объявления и т.д.
    Правообладателям | Реклама | Учебники | Политика
    Отопление, водоснабжение, газоснабжение, канализация © 2003 - 2021
    Рейтинг@Mail.ru Рейтинг арматурных сайтов. ARMTORG.RU Яндекс.Метрика