[ Новые сообщения · Участники · Правила форума · Поиск · RSS ]
 
Работай из дома! 18+

Решебник и ГДЗ по Алгебре. 10-11 класс. Колмогоров А. Н.
МЕДВЕДИКДата: Среда, 23.09.2015, 10:51 | Сообщение # 61
Генерал-лейтенант
Группа: Проверенные
Сообщений: 602
Награды: 0
Репутация: 0
Статус: Offline


 
Работай из дома! 18+
 
 




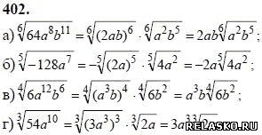
Для увеличения ответа на задание, нажмите на картинку



---------------------------------------------------------------------



---------------------------------------------------------------------



---------------------------------------------------------------------



---------------------------------------------------------------------



---------------------------------------------------------------------

Перейти в оглавление решебника ГДЗ по Алгебре. 11 класс. Колмогоров А. Н.
Фото: 7430137.png (12.5 Kb) · 1358776.png (11.5 Kb) · 9694739.png (13.8 Kb) · 2373984.png (17.7 Kb) · 7961336.png (15.0 Kb)
 
 
МЕДВЕДИКДата: Среда, 23.09.2015, 10:52 | Сообщение # 62
Генерал-лейтенант
Группа: Проверенные
Сообщений: 602
Награды: 0
Репутация: 0
Статус: Offline


 
Работай из дома! 18+
 
 


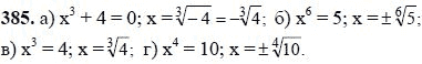
Для увеличения ответа на задание, нажмите на картинку



---------------------------------------------------------------------



---------------------------------------------------------------------



---------------------------------------------------------------------



---------------------------------------------------------------------



---------------------------------------------------------------------

Перейти в оглавление решебника ГДЗ по Алгебре. 11 класс. Колмогоров А. Н.
Фото: 7048370.png (6.5 Kb) · 3440857.png (6.9 Kb) · 3914042.png (15.7 Kb) · 4339745.png (19.2 Kb) · 6834490.png (20.2 Kb)
 
 
МЕДВЕДИКДата: Среда, 23.09.2015, 10:52 | Сообщение # 63
Генерал-лейтенант
Группа: Проверенные
Сообщений: 602
Награды: 0
Репутация: 0
Статус: Offline


 
Работай из дома! 18+
 
 


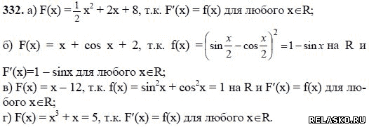
Для увеличения ответа на задание, нажмите на картинку



---------------------------------------------------------------------



---------------------------------------------------------------------



---------------------------------------------------------------------



---------------------------------------------------------------------



---------------------------------------------------------------------

Перейти в оглавление решебника ГДЗ по Алгебре. 11 класс. Колмогоров А. Н.
Фото: 1062428.png (27.6 Kb) · 4011768.png (23.6 Kb) · 0140304.png (14.1 Kb) · 3190926.png (19.3 Kb) · 8645419.png (18.9 Kb)
 
 
МЕДВЕДИКДата: Среда, 23.09.2015, 10:52 | Сообщение # 64
Генерал-лейтенант
Группа: Проверенные
Сообщений: 602
Награды: 0
Репутация: 0
Статус: Offline


 
Работай из дома! 18+
 
 


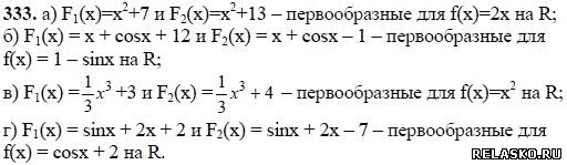
Для увеличения ответа на задание, нажмите на картинку



---------------------------------------------------------------------



---------------------------------------------------------------------



---------------------------------------------------------------------



---------------------------------------------------------------------



---------------------------------------------------------------------

Перейти в оглавление решебника ГДЗ по Алгебре. 11 класс. Колмогоров А. Н.
Фото: 2610296.png (25.4 Kb) · 5930578.png (19.4 Kb) · 6239802.png (27.3 Kb) · 2177808.png (6.4 Kb) · 0448981.png (4.7 Kb)
 
 
МЕДВЕДИКДата: Среда, 23.09.2015, 10:53 | Сообщение # 65
Генерал-лейтенант
Группа: Проверенные
Сообщений: 602
Награды: 0
Репутация: 0
Статус: Offline


 
Работай из дома! 18+
 
 


Для увеличения ответа на задание, нажмите на картинку



---------------------------------------------------------------------



---------------------------------------------------------------------



---------------------------------------------------------------------



---------------------------------------------------------------------



---------------------------------------------------------------------

Перейти в оглавление решебника ГДЗ по Алгебре. 11 класс. Колмогоров А. Н.
Фото: 1323243.png (14.6 Kb) · 9027259.png (34.1 Kb) · 6712431.png (55.9 Kb) · 6253271.png (12.3 Kb) · 7187022.png (18.9 Kb)
 
 
МЕДВЕДИКДата: Среда, 23.09.2015, 10:53 | Сообщение # 66
Генерал-лейтенант
Группа: Проверенные
Сообщений: 602
Награды: 0
Репутация: 0
Статус: Offline


 
Работай из дома! 18+
 
 


Для увеличения ответа на задание, нажмите на картинку



---------------------------------------------------------------------



---------------------------------------------------------------------



---------------------------------------------------------------------



---------------------------------------------------------------------



---------------------------------------------------------------------

Перейти в оглавление решебника ГДЗ по Алгебре. 11 класс. Колмогоров А. Н.
Фото: 0128680.png (22.9 Kb) · 1736416.png (20.6 Kb) · 5937491.png (9.5 Kb) · 5258565.png (9.6 Kb) · 9984204.png (19.4 Kb)
 
 
МЕДВЕДИКДата: Среда, 23.09.2015, 10:54 | Сообщение # 67
Генерал-лейтенант
Группа: Проверенные
Сообщений: 602
Награды: 0
Репутация: 0
Статус: Offline


 
Работай из дома! 18+
 
 


Для увеличения ответа на задание, нажмите на картинку



---------------------------------------------------------------------



---------------------------------------------------------------------



---------------------------------------------------------------------



---------------------------------------------------------------------



---------------------------------------------------------------------

Перейти в оглавление решебника ГДЗ по Алгебре. 11 класс. Колмогоров А. Н.
Фото: 7701565.png (13.6 Kb) · 3698107.png (22.3 Kb) · 7356110.png (10.4 Kb) · 9177303.png (16.4 Kb) · 0452173.png (27.1 Kb)
 
 
МЕДВЕДИКДата: Среда, 23.09.2015, 10:58 | Сообщение # 68
Генерал-лейтенант
Группа: Проверенные
Сообщений: 602
Награды: 0
Репутация: 0
Статус: Offline


 
Работай из дома! 18+
 
 


Для увеличения ответа на задание, нажмите на картинку



---------------------------------------------------------------------



---------------------------------------------------------------------



---------------------------------------------------------------------



---------------------------------------------------------------------



---------------------------------------------------------------------

Перейти в оглавление решебника ГДЗ по Алгебре. 11 класс. Колмогоров А. Н.
Фото: 5225056.png (37.4 Kb) · 8230496.png (39.2 Kb) · 4060445.png (11.9 Kb) · 6666382.png (14.5 Kb) · 6557296.png (18.5 Kb)
 
 
МЕДВЕДИКДата: Среда, 23.09.2015, 10:59 | Сообщение # 69
Генерал-лейтенант
Группа: Проверенные
Сообщений: 602
Награды: 0
Репутация: 0
Статус: Offline


 
Работай из дома! 18+
 
 


Для увеличения ответа на задание, нажмите на картинку



---------------------------------------------------------------------



---------------------------------------------------------------------



---------------------------------------------------------------------



---------------------------------------------------------------------



---------------------------------------------------------------------

Перейти в оглавление решебника ГДЗ по Алгебре. 11 класс. Колмогоров А. Н.
Фото: 5869557.png (13.5 Kb) · 0997432.png (26.2 Kb) · 8964628.png (27.9 Kb) · 2149466.png (5.0 Kb) · 1840787.png (4.6 Kb)
 
 
МЕДВЕДИКДата: Среда, 23.09.2015, 11:00 | Сообщение # 70
Генерал-лейтенант
Группа: Проверенные
Сообщений: 602
Награды: 0
Репутация: 0
Статус: Offline


 
Работай из дома! 18+
 
 


Для увеличения ответа на задание, нажмите на картинку



---------------------------------------------------------------------



---------------------------------------------------------------------



---------------------------------------------------------------------



---------------------------------------------------------------------



---------------------------------------------------------------------

Перейти в оглавление решебника ГДЗ по Алгебре. 11 класс. Колмогоров А. Н.
Фото: 2269558.png (9.3 Kb) · 2337704.png (19.7 Kb) · 3915279.png (15.2 Kb) · 9044494.png (25.5 Kb) · 9822090.png (15.7 Kb)
 
 
МЕДВЕДИКДата: Среда, 23.09.2015, 11:00 | Сообщение # 71
Генерал-лейтенант
Группа: Проверенные
Сообщений: 602
Награды: 0
Репутация: 0
Статус: Offline


 
Работай из дома! 18+
 
 


Для увеличения ответа на задание, нажмите на картинку



---------------------------------------------------------------------



---------------------------------------------------------------------



---------------------------------------------------------------------



---------------------------------------------------------------------



---------------------------------------------------------------------

Перейти в оглавление решебника ГДЗ по Алгебре. 11 класс. Колмогоров А. Н.
Фото: 8413816.png (16.6 Kb) · 4337439.png (7.4 Kb) · 3613910.png (5.5 Kb) · 3508642.png (4.7 Kb) · 7721720.png (6.8 Kb)
 
 
МЕДВЕДИКДата: Среда, 23.09.2015, 11:01 | Сообщение # 72
Генерал-лейтенант
Группа: Проверенные
Сообщений: 602
Награды: 0
Репутация: 0
Статус: Offline


 
Работай из дома! 18+
 
 


Для увеличения ответа на задание, нажмите на картинку



---------------------------------------------------------------------



---------------------------------------------------------------------



---------------------------------------------------------------------



---------------------------------------------------------------------



---------------------------------------------------------------------

Перейти в оглавление решебника ГДЗ по Алгебре. 11 класс. Колмогоров А. Н.
Фото: 2911555.png (5.1 Kb) · 7154397.png (7.1 Kb) · 8400613.png (7.9 Kb) · 3294161.png (5.9 Kb) · 5075390.png (6.9 Kb)
 
 
МЕДВЕДИКДата: Среда, 23.09.2015, 11:01 | Сообщение # 73
Генерал-лейтенант
Группа: Проверенные
Сообщений: 602
Награды: 0
Репутация: 0
Статус: Offline


 
Работай из дома! 18+
 
 


Для увеличения ответа на задание, нажмите на картинку



---------------------------------------------------------------------



---------------------------------------------------------------------



---------------------------------------------------------------------



---------------------------------------------------------------------



---------------------------------------------------------------------

Перейти в оглавление решебника ГДЗ по Алгебре. 11 класс. Колмогоров А. Н.
Фото: 3790462.png (7.2 Kb) · 7524578.png (8.4 Kb) · 4208446.png (6.4 Kb) · 6030809.png (7.4 Kb) · 5670114.png (21.8 Kb)
 
 
МЕДВЕДИКДата: Среда, 23.09.2015, 11:01 | Сообщение # 74
Генерал-лейтенант
Группа: Проверенные
Сообщений: 602
Награды: 0
Репутация: 0
Статус: Offline


 
Работай из дома! 18+
 
 


Для увеличения ответа на задание, нажмите на картинку



---------------------------------------------------------------------



---------------------------------------------------------------------



---------------------------------------------------------------------



---------------------------------------------------------------------



---------------------------------------------------------------------

Перейти в оглавление решебника ГДЗ по Алгебре. 11 класс. Колмогоров А. Н.
Фото: 4137589.png (20.7 Kb) · 5180281.png (3.2 Kb) · 1343641.png (3.6 Kb) · 2736623.png (7.2 Kb) · 5392751.png (10.5 Kb)
 
 
МЕДВЕДИКДата: Среда, 23.09.2015, 11:02 | Сообщение # 75
Генерал-лейтенант
Группа: Проверенные
Сообщений: 602
Награды: 0
Репутация: 0
Статус: Offline


 
Работай из дома! 18+
 
 


Для увеличения ответа на задание, нажмите на картинку



---------------------------------------------------------------------



---------------------------------------------------------------------



---------------------------------------------------------------------



---------------------------------------------------------------------



---------------------------------------------------------------------

Читать продолжение решебника...

Фото: 9060544.png (15.5 Kb) · 0597316.png (15.4 Kb) · 7460219.png (9.8 Kb) · 6556287.png (7.0 Kb) · 9609504.png (9.4 Kb)
 
 
Поиск:

Работай из дома! 18+
 
 
 
 
 
 

 
Последние темы на форуме:
 
  • Новогодние праздники 2021-2022 официальные выходные
  • Показатели давления и сердцебиения у женщины 57 лет
  • Гороскоп на декабрь 2021 Женщина Телец
  • Гороскоп на январь 2022 от Павла Глоба
  • Гороскоп на декабрь 2021 от Павла Глоба
  • Гороскоп на ноябрь 2021 от Павла Глоба
  • Стенограмма судьбы - Содержание серий, актеры и роли сериала
  • Мосгаз. Западня - Содержание серий, актеры и роли 2021
  • Тобол - Содержание серий, актеры и роли сериала. 2021
  • Гороскоп для Тигра на сегодня от Павла Глоба
  • Утраченные воспоминания - Содержание серий, актеры и роли
  • Чёрно-белая любовь - Содержание серий, актеры и роли сериала
  • Забытая женщина - Содержание серий, актеры и роли сериала
  • Тайна спящей дамы - Содержание серий, актеры и роли сериала
  • Сериал Часы с кукушкой - Содержание серий, актеры и роли
  •  
     

     
    Обращаем ваше внимание на то, что данный интернет-сайт www.kinolog.do.am носит исключительно информационный характер и ни при каких условиях не является публичной офертой, определяемой положениями Статьи 437 (2) Гражданского кодекса РФ. Цена и наличие товара может отличаться от действительной. Пожалуйста, уточняйте цены и наличие товара у наших менеджеров.
    Администрация сайта не несет ответственности за действия и содержание размещаемой информации пользователей: комментарии, материалы, сообщения и темы на форуме, публикации, объявления и т.д.
    Правообладателям | Реклама | Учебники | Политика
    Отопление, водоснабжение, газоснабжение, канализация © 2003 - 2021
    Рейтинг@Mail.ru Рейтинг арматурных сайтов. ARMTORG.RU Яндекс.Метрика