[ Новые сообщения · Участники · Правила форума · Поиск · RSS ]
 
Работай из дома! 18+

Задачник для 10-11 классов Мордкович, Денищева, Корешкова
МЕДВЕДИКДата: Вторник, 29.09.2015, 15:41 | Сообщение # 91
Генерал-лейтенант
Группа: Проверенные
Сообщений: 602
Награды: 0
Репутация: 0
Статус: Offline


 
Работай из дома! 18+
 
 




Для увеличения ответа на задание, нажмите на картинку



---------------------------------------------------------------------



---------------------------------------------------------------------



---------------------------------------------------------------------



---------------------------------------------------------------------



---------------------------------------------------------------------

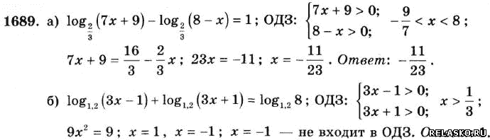
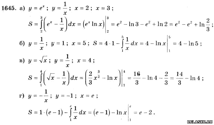
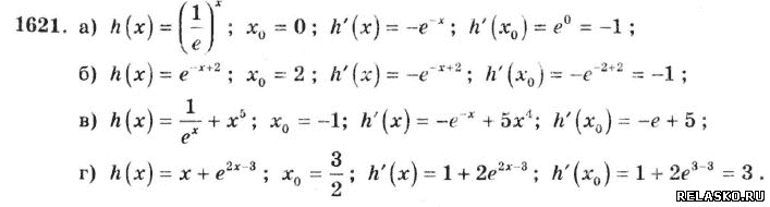
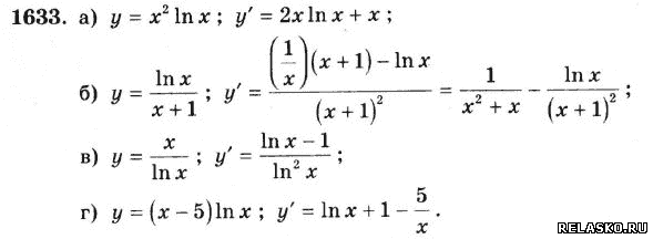
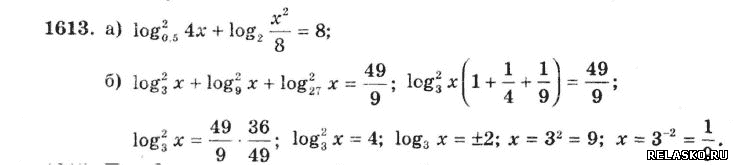
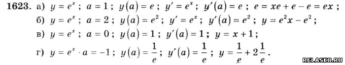
Перейти в оглавление решебника ГДЗ по Алгебре. 11 класс. Задачник А. Г. Мордкович
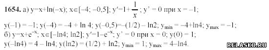
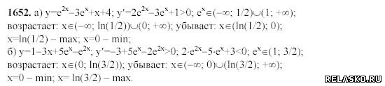
Фото: 7290910.png (13.4 Kb) · 4935273.png (29.3 Kb) · 9012338.png (9.7 Kb) · 0382182.png (13.7 Kb) · 8949878.png (6.6 Kb)
 
 
МЕДВЕДИКДата: Вторник, 29.09.2015, 15:41 | Сообщение # 92
Генерал-лейтенант
Группа: Проверенные
Сообщений: 602
Награды: 0
Репутация: 0
Статус: Offline


 
Работай из дома! 18+
 
 


Для увеличения ответа на задание, нажмите на картинку



---------------------------------------------------------------------



---------------------------------------------------------------------



---------------------------------------------------------------------



---------------------------------------------------------------------



---------------------------------------------------------------------

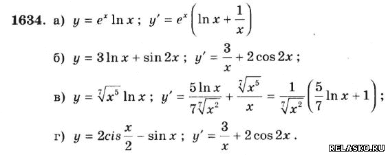
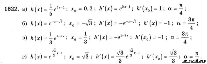
Перейти в оглавление решебника ГДЗ по Алгебре. 11 класс. Задачник А. Г. Мордкович
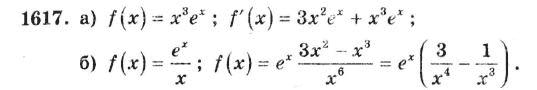
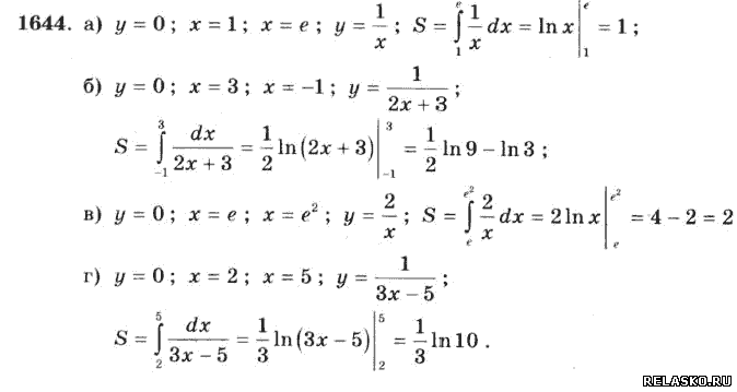
Фото: 6214940.png (5.8 Kb) · 5634887.png (11.3 Kb) · 4544671.png (10.9 Kb) · 6702727.png (15.0 Kb) · 5133841.png (13.2 Kb)
 
 
МЕДВЕДИКДата: Вторник, 29.09.2015, 15:41 | Сообщение # 93
Генерал-лейтенант
Группа: Проверенные
Сообщений: 602
Награды: 0
Репутация: 0
Статус: Offline


 
Работай из дома! 18+
 
 


Для увеличения ответа на задание, нажмите на картинку



---------------------------------------------------------------------



---------------------------------------------------------------------



---------------------------------------------------------------------



---------------------------------------------------------------------



---------------------------------------------------------------------

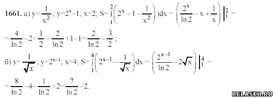
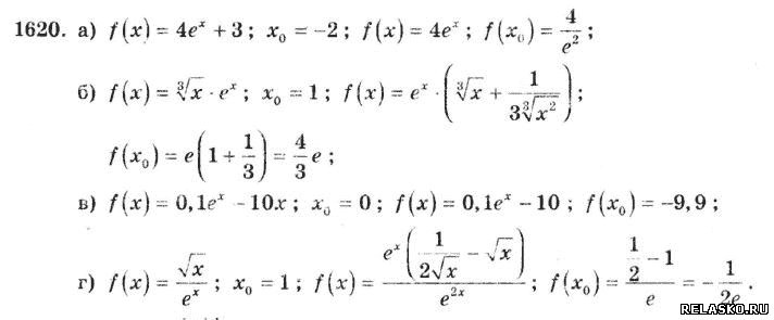
Перейти в оглавление решебника ГДЗ по Алгебре. 11 класс. Задачник А. Г. Мордкович
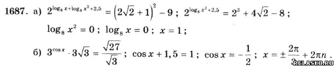
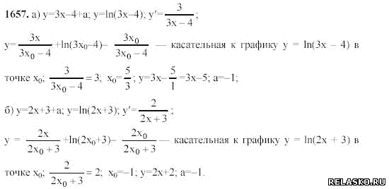
Фото: 1398561.png (13.2 Kb) · 5947090.png (11.1 Kb) · 9158326.png (8.6 Kb) · 3216387.png (9.9 Kb) · 3170083.png (8.4 Kb)
 
 
МЕДВЕДИКДата: Вторник, 29.09.2015, 15:42 | Сообщение # 94
Генерал-лейтенант
Группа: Проверенные
Сообщений: 602
Награды: 0
Репутация: 0
Статус: Offline


 
Работай из дома! 18+
 
 


Для увеличения ответа на задание, нажмите на картинку



---------------------------------------------------------------------



---------------------------------------------------------------------



---------------------------------------------------------------------



---------------------------------------------------------------------



---------------------------------------------------------------------

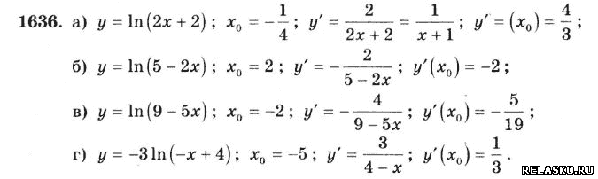
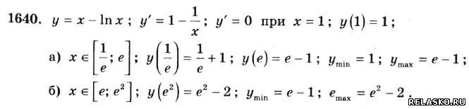
Перейти в оглавление решебника ГДЗ по Алгебре. 11 класс. Задачник А. Г. Мордкович
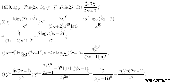
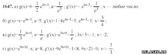
Фото: 6551040.png (5.8 Kb) · 4324121.png (7.2 Kb) · 4962743.png (9.6 Kb) · 3790557.png (20.6 Kb) · 2806554.png (8.1 Kb)
 
 
МЕДВЕДИКДата: Вторник, 29.09.2015, 15:42 | Сообщение # 95
Генерал-лейтенант
Группа: Проверенные
Сообщений: 602
Награды: 0
Репутация: 0
Статус: Offline


 
Работай из дома! 18+
 
 


Для увеличения ответа на задание, нажмите на картинку



---------------------------------------------------------------------



---------------------------------------------------------------------



---------------------------------------------------------------------



---------------------------------------------------------------------



---------------------------------------------------------------------

Перейти в оглавление решебника ГДЗ по Алгебре. 11 класс. Задачник А. Г. Мордкович
Фото: 3976693.png (9.1 Kb) · 4797798.png (10.4 Kb) · 7526289.png (11.5 Kb) · 6118804.png (12.6 Kb) · 0759959.png (17.5 Kb)
 
 
МЕДВЕДИКДата: Вторник, 29.09.2015, 15:43 | Сообщение # 96
Генерал-лейтенант
Группа: Проверенные
Сообщений: 602
Награды: 0
Репутация: 0
Статус: Offline


 
Работай из дома! 18+
 
 


Для увеличения ответа на задание, нажмите на картинку



---------------------------------------------------------------------



---------------------------------------------------------------------



---------------------------------------------------------------------



---------------------------------------------------------------------



---------------------------------------------------------------------

Перейти в оглавление решебника ГДЗ по Алгебре. 11 класс. Задачник А. Г. Мордкович
Фото: 6145535.png (6.7 Kb) · 9885723.png (11.6 Kb) · 6731318.png (9.3 Kb) · 2961520.png (11.8 Kb) · 9589776.png (10.1 Kb)
 
 
МЕДВЕДИКДата: Вторник, 29.09.2015, 15:43 | Сообщение # 97
Генерал-лейтенант
Группа: Проверенные
Сообщений: 602
Награды: 0
Репутация: 0
Статус: Offline


 
Работай из дома! 18+
 
 


Для увеличения ответа на задание, нажмите на картинку



---------------------------------------------------------------------



---------------------------------------------------------------------



---------------------------------------------------------------------



---------------------------------------------------------------------



---------------------------------------------------------------------

Перейти в оглавление решебника ГДЗ по Алгебре. 11 класс. Задачник А. Г. Мордкович
Фото: 3830197.png (13.7 Kb) · 8361886.png (9.2 Kb) · 4842966.png (10.8 Kb) · 0683983.png (6.5 Kb) · 3949499.png (5.8 Kb)
 
 
МЕДВЕДИКДата: Вторник, 29.09.2015, 15:49 | Сообщение # 98
Генерал-лейтенант
Группа: Проверенные
Сообщений: 602
Награды: 0
Репутация: 0
Статус: Offline


 
Работай из дома! 18+
 
 


Для увеличения ответа на задание, нажмите на картинку



---------------------------------------------------------------------



---------------------------------------------------------------------



---------------------------------------------------------------------



---------------------------------------------------------------------



---------------------------------------------------------------------

Перейти в оглавление решебника ГДЗ по Алгебре. 11 класс. Задачник А. Г. Мордкович
Фото: 8264310.png (8.3 Kb) · 8013177.png (4.4 Kb) · 2569058.png (7.0 Kb) · 4415326.png (3.6 Kb) · 7174770.png (10.1 Kb)
 
 
МЕДВЕДИКДата: Вторник, 29.09.2015, 15:50 | Сообщение # 99
Генерал-лейтенант
Группа: Проверенные
Сообщений: 602
Награды: 0
Репутация: 0
Статус: Offline


 
Работай из дома! 18+
 
 


Для увеличения ответа на задание, нажмите на картинку



---------------------------------------------------------------------



---------------------------------------------------------------------



---------------------------------------------------------------------



---------------------------------------------------------------------



---------------------------------------------------------------------

Перейти в оглавление решебника ГДЗ по Алгебре. 11 класс. Задачник А. Г. Мордкович
Фото: 5101533.png (6.3 Kb) · 8574660.png (7.2 Kb) · 6960448.png (7.0 Kb) · 1723915.png (9.5 Kb) · 8467967.png (7.3 Kb)
 
 
МЕДВЕДИКДата: Вторник, 29.09.2015, 15:50 | Сообщение # 100
Генерал-лейтенант
Группа: Проверенные
Сообщений: 602
Награды: 0
Репутация: 0
Статус: Offline


 
Работай из дома! 18+
 
 


Для увеличения ответа на задание, нажмите на картинку



---------------------------------------------------------------------



---------------------------------------------------------------------



---------------------------------------------------------------------



---------------------------------------------------------------------



---------------------------------------------------------------------

Перейти в оглавление решебника ГДЗ по Алгебре. 11 класс. Задачник А. Г. Мордкович
Фото: 7404892.png (6.8 Kb) · 9129410.png (3.8 Kb) · 5322864.png (4.2 Kb) · 9934625.png (5.2 Kb) · 0123509.png (4.4 Kb)
 
 
МЕДВЕДИКДата: Вторник, 29.09.2015, 15:51 | Сообщение # 101
Генерал-лейтенант
Группа: Проверенные
Сообщений: 602
Награды: 0
Репутация: 0
Статус: Offline


 
Работай из дома! 18+
 
 


Для увеличения ответа на задание, нажмите на картинку



---------------------------------------------------------------------



---------------------------------------------------------------------



---------------------------------------------------------------------



---------------------------------------------------------------------



---------------------------------------------------------------------

Перейти в оглавление решебника ГДЗ по Алгебре. 11 класс. Задачник А. Г. Мордкович
Фото: 0589597.png (5.1 Kb) · 9356151.png (6.8 Kb) · 5323429.png (12.6 Kb) · 1062996.png (6.8 Kb) · 8162665.png (11.3 Kb)
 
 
МЕДВЕДИКДата: Вторник, 29.09.2015, 15:51 | Сообщение # 102
Генерал-лейтенант
Группа: Проверенные
Сообщений: 602
Награды: 0
Репутация: 0
Статус: Offline


 
Работай из дома! 18+
 
 


Для увеличения ответа на задание, нажмите на картинку



---------------------------------------------------------------------



---------------------------------------------------------------------



---------------------------------------------------------------------



---------------------------------------------------------------------



---------------------------------------------------------------------

Перейти в оглавление решебника ГДЗ по Алгебре. 11 класс. Задачник А. Г. Мордкович
Фото: 8335408.png (16.0 Kb) · 6787004.png (12.9 Kb) · 8284028.png (17.1 Kb) · 9669555.png (11.6 Kb) · 1187728.png (15.5 Kb)
 
 
МЕДВЕДИКДата: Вторник, 29.09.2015, 15:51 | Сообщение # 103
Генерал-лейтенант
Группа: Проверенные
Сообщений: 602
Награды: 0
Репутация: 0
Статус: Offline


 
Работай из дома! 18+
 
 


Для увеличения ответа на задание, нажмите на картинку



---------------------------------------------------------------------



---------------------------------------------------------------------



---------------------------------------------------------------------



---------------------------------------------------------------------



---------------------------------------------------------------------

Перейти в оглавление решебника ГДЗ по Алгебре. 11 класс. Задачник А. Г. Мордкович
Фото: 6807591.png (17.8 Kb) · 0815369.png (38.2 Kb) · 7688688.png (27.3 Kb) · 1934611.png (11.6 Kb) · 1732340.png (7.7 Kb)
 
 
МЕДВЕДИКДата: Вторник, 29.09.2015, 15:52 | Сообщение # 104
Генерал-лейтенант
Группа: Проверенные
Сообщений: 602
Награды: 0
Репутация: 0
Статус: Offline


 
Работай из дома! 18+
 
 


Для увеличения ответа на задание, нажмите на картинку



---------------------------------------------------------------------



---------------------------------------------------------------------



---------------------------------------------------------------------



---------------------------------------------------------------------



---------------------------------------------------------------------

Перейти в оглавление решебника ГДЗ по Алгебре. 11 класс. Задачник А. Г. Мордкович
Фото: 7902319.png (24.7 Kb) · 6410436.png (22.3 Kb) · 7823259.png (24.8 Kb) · 8287030.png (6.7 Kb) · 1492652.png (8.3 Kb)
 
 
МЕДВЕДИКДата: Вторник, 29.09.2015, 15:52 | Сообщение # 105
Генерал-лейтенант
Группа: Проверенные
Сообщений: 602
Награды: 0
Репутация: 0
Статус: Offline


 
Работай из дома! 18+
 
 


Для увеличения ответа на задание, нажмите на картинку



---------------------------------------------------------------------



---------------------------------------------------------------------



---------------------------------------------------------------------



---------------------------------------------------------------------



---------------------------------------------------------------------

Читать ответы на задачи далее...
Фото: 7602325.png (6.8 Kb) · 9372637.png (12.0 Kb) · 6685753.png (16.7 Kb) · 8108417.png (15.0 Kb) · 2171135.png (8.6 Kb)
 
 
Поиск:

Работай из дома! 18+
 
 
 
 
 
 

 
Последние темы на форуме:
 
  • Новогодние праздники 2021-2022 официальные выходные
  • Показатели давления и сердцебиения у женщины 57 лет
  • Гороскоп на декабрь 2021 Женщина Телец
  • Гороскоп на январь 2022 от Павла Глоба
  • Гороскоп на декабрь 2021 от Павла Глоба
  • Гороскоп на ноябрь 2021 от Павла Глоба
  • Стенограмма судьбы - Содержание серий, актеры и роли сериала
  • Мосгаз. Западня - Содержание серий, актеры и роли 2021
  • Тобол - Содержание серий, актеры и роли сериала. 2021
  • Гороскоп для Тигра на сегодня от Павла Глоба
  • Утраченные воспоминания - Содержание серий, актеры и роли
  • Чёрно-белая любовь - Содержание серий, актеры и роли сериала
  • Забытая женщина - Содержание серий, актеры и роли сериала
  • Тайна спящей дамы - Содержание серий, актеры и роли сериала
  • Сериал Часы с кукушкой - Содержание серий, актеры и роли
  •  
     

     
    Обращаем ваше внимание на то, что данный интернет-сайт www.kinolog.do.am носит исключительно информационный характер и ни при каких условиях не является публичной офертой, определяемой положениями Статьи 437 (2) Гражданского кодекса РФ. Цена и наличие товара может отличаться от действительной. Пожалуйста, уточняйте цены и наличие товара у наших менеджеров.
    Администрация сайта не несет ответственности за действия и содержание размещаемой информации пользователей: комментарии, материалы, сообщения и темы на форуме, публикации, объявления и т.д.
    Правообладателям | Реклама | Учебники | Политика
    Отопление, водоснабжение, газоснабжение, канализация © 2003 - 2021
    Рейтинг@Mail.ru Рейтинг арматурных сайтов. ARMTORG.RU Яндекс.Метрика