[ Новые сообщения · Участники · Правила форума · Поиск · RSS ]
 
Работай из дома! 18+

Задачник для 10-11 классов Мордкович, Денищева, Корешкова
МЕДВЕДИКДата: Вторник, 29.09.2015, 15:53 | Сообщение # 106
Генерал-лейтенант
Группа: Проверенные
Сообщений: 602
Награды: 0
Репутация: 0
Статус: Offline


 
Работай из дома! 18+
 
 




Для увеличения ответа на задание, нажмите на картинку



---------------------------------------------------------------------



---------------------------------------------------------------------



---------------------------------------------------------------------



---------------------------------------------------------------------



---------------------------------------------------------------------

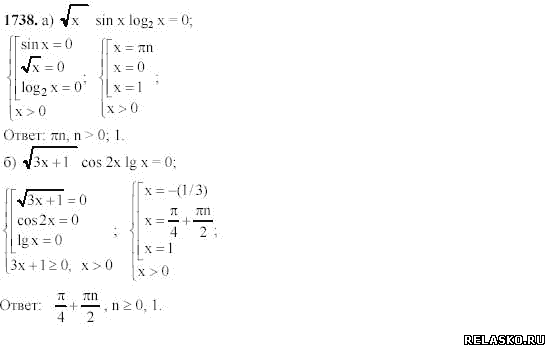
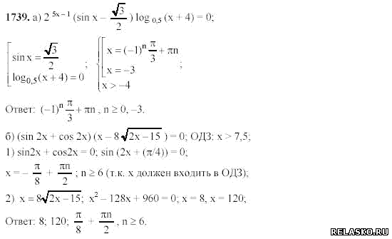
Перейти в оглавление решебника ГДЗ по Алгебре. 11 класс. Задачник А. Г. Мордкович
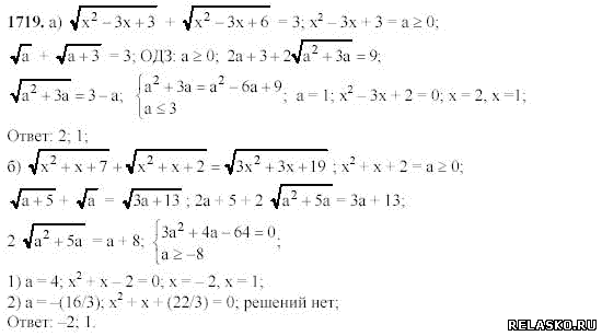
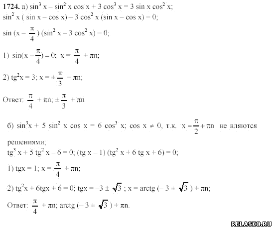
Фото: 6061071.png (12.7 Kb) · 9955688.png (20.6 Kb) · 0958693.png (11.5 Kb) · 6927596.png (11.3 Kb) · 8960814.png (15.0 Kb)
 
 
МЕДВЕДИКДата: Вторник, 29.09.2015, 15:53 | Сообщение # 107
Генерал-лейтенант
Группа: Проверенные
Сообщений: 602
Награды: 0
Репутация: 0
Статус: Offline


 
Работай из дома! 18+
 
 


Для увеличения ответа на задание, нажмите на картинку



---------------------------------------------------------------------



---------------------------------------------------------------------



---------------------------------------------------------------------



---------------------------------------------------------------------



---------------------------------------------------------------------

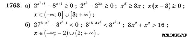
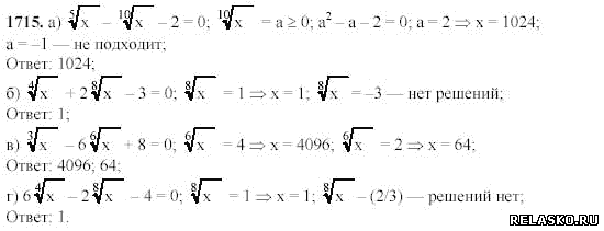
Перейти в оглавление решебника ГДЗ по Алгебре. 11 класс. Задачник А. Г. Мордкович
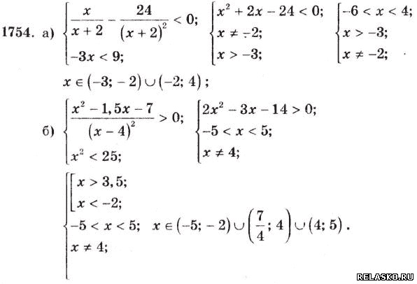
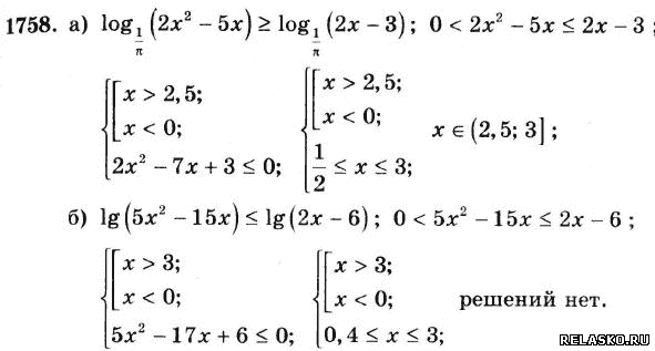
Фото: 1366269.png (19.6 Kb) · 0608634.png (20.5 Kb) · 9502105.png (20.8 Kb) · 7065688.png (5.8 Kb) · 5366818.png (5.5 Kb)
 
 
МЕДВЕДИКДата: Вторник, 29.09.2015, 15:54 | Сообщение # 108
Генерал-лейтенант
Группа: Проверенные
Сообщений: 602
Награды: 0
Репутация: 0
Статус: Offline


 
Работай из дома! 18+
 
 


Для увеличения ответа на задание, нажмите на картинку



---------------------------------------------------------------------



---------------------------------------------------------------------



---------------------------------------------------------------------



---------------------------------------------------------------------



---------------------------------------------------------------------

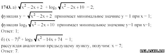
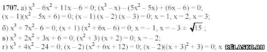
Перейти в оглавление решебника ГДЗ по Алгебре. 11 класс. Задачник А. Г. Мордкович
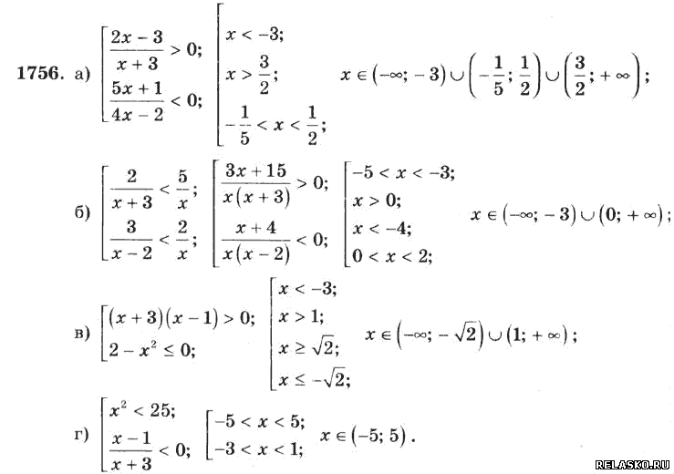
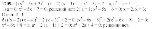
Фото: 9188375.png (10.1 Kb) · 7138346.png (4.7 Kb) · 7537439.png (10.4 Kb) · 4248309.png (13.2 Kb) · 3758520.png (10.1 Kb)
 
 
МЕДВЕДИКДата: Вторник, 29.09.2015, 15:54 | Сообщение # 109
Генерал-лейтенант
Группа: Проверенные
Сообщений: 602
Награды: 0
Репутация: 0
Статус: Offline


 
Работай из дома! 18+
 
 


Для увеличения ответа на задание, нажмите на картинку



---------------------------------------------------------------------



---------------------------------------------------------------------



---------------------------------------------------------------------



---------------------------------------------------------------------



---------------------------------------------------------------------

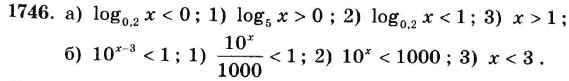
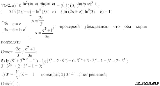
Перейти в оглавление решебника ГДЗ по Алгебре. 11 класс. Задачник А. Г. Мордкович
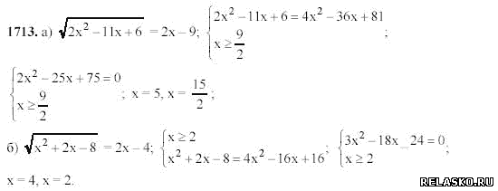
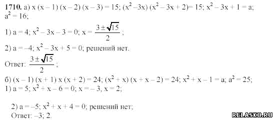
Фото: 6158446.png (9.3 Kb) · 0526458.png (9.2 Kb) · 6901359.png (7.0 Kb) · 1459539.png (6.9 Kb) · 7290543.png (3.5 Kb)
 
 
МЕДВЕДИКДата: Вторник, 29.09.2015, 15:54 | Сообщение # 110
Генерал-лейтенант
Группа: Проверенные
Сообщений: 602
Награды: 0
Репутация: 0
Статус: Offline


 
Работай из дома! 18+
 
 


Для увеличения ответа на задание, нажмите на картинку



---------------------------------------------------------------------



---------------------------------------------------------------------



---------------------------------------------------------------------



---------------------------------------------------------------------



---------------------------------------------------------------------

Перейти в оглавление решебника ГДЗ по Алгебре. 11 класс. Задачник А. Г. Мордкович
Фото: 4210524.png (5.0 Kb) · 6043015.png (7.6 Kb) · 4984221.png (7.1 Kb) · 0626909.png (5.5 Kb) · 2489956.png (6.7 Kb)
 
 
МЕДВЕДИКДата: Вторник, 29.09.2015, 15:55 | Сообщение # 111
Генерал-лейтенант
Группа: Проверенные
Сообщений: 602
Награды: 0
Репутация: 0
Статус: Offline


 
Работай из дома! 18+
 
 


Для увеличения ответа на задание, нажмите на картинку



---------------------------------------------------------------------



---------------------------------------------------------------------



---------------------------------------------------------------------



---------------------------------------------------------------------



---------------------------------------------------------------------

Перейти в оглавление решебника ГДЗ по Алгебре. 11 класс. Задачник А. Г. Мордкович
Фото: 9542349.png (5.7 Kb) · 3008018.png (9.7 Kb) · 5075851.png (9.6 Kb) · 2077737.png (7.8 Kb) · 5801168.png (5.9 Kb)
 
 
МЕДВЕДИКДата: Вторник, 29.09.2015, 15:55 | Сообщение # 112
Генерал-лейтенант
Группа: Проверенные
Сообщений: 602
Награды: 0
Репутация: 0
Статус: Offline


 
Работай из дома! 18+
 
 


Для увеличения ответа на задание, нажмите на картинку



---------------------------------------------------------------------



---------------------------------------------------------------------



---------------------------------------------------------------------



---------------------------------------------------------------------



---------------------------------------------------------------------

Перейти в оглавление решебника ГДЗ по Алгебре. 11 класс. Задачник А. Г. Мордкович
Фото: 9283731.png (8.7 Kb) · 1960775.png (7.9 Kb) · 0190611.png (9.9 Kb) · 8994181.png (7.1 Kb) · 8910997.png (15.9 Kb)
 
 
МЕДВЕДИКДата: Вторник, 29.09.2015, 15:56 | Сообщение # 113
Генерал-лейтенант
Группа: Проверенные
Сообщений: 602
Награды: 0
Репутация: 0
Статус: Offline


 
Работай из дома! 18+
 
 


Для увеличения ответа на задание, нажмите на картинку



---------------------------------------------------------------------



---------------------------------------------------------------------



---------------------------------------------------------------------



---------------------------------------------------------------------



---------------------------------------------------------------------

Перейти в оглавление решебника ГДЗ по Алгебре. 11 класс. Задачник А. Г. Мордкович
Фото: 4384653.png (11.0 Kb) · 9182616.png (12.4 Kb) · 3760197.png (5.1 Kb) · 9997003.png (8.7 Kb) · 1905691.png (8.1 Kb)
 
 
МЕДВЕДИКДата: Вторник, 29.09.2015, 15:56 | Сообщение # 114
Генерал-лейтенант
Группа: Проверенные
Сообщений: 602
Награды: 0
Репутация: 0
Статус: Offline


 
Работай из дома! 18+
 
 


Для увеличения ответа на задание, нажмите на картинку



---------------------------------------------------------------------



---------------------------------------------------------------------



---------------------------------------------------------------------



---------------------------------------------------------------------



---------------------------------------------------------------------

Перейти в оглавление решебника ГДЗ по Алгебре. 11 класс. Задачник А. Г. Мордкович
Фото: 5710754.png (8.3 Kb) · 6504381.png (3.5 Kb) · 7415097.png (7.5 Kb) · 7500195.png (5.1 Kb) · 0780529.png (5.8 Kb)
 
 
МЕДВЕДИКДата: Вторник, 29.09.2015, 15:57 | Сообщение # 115
Генерал-лейтенант
Группа: Проверенные
Сообщений: 602
Награды: 0
Репутация: 0
Статус: Offline


 
Работай из дома! 18+
 
 


Для увеличения ответа на задание, нажмите на картинку



---------------------------------------------------------------------



---------------------------------------------------------------------



---------------------------------------------------------------------



---------------------------------------------------------------------



---------------------------------------------------------------------

Перейти в оглавление решебника ГДЗ по Алгебре. 11 класс. Задачник А. Г. Мордкович
Фото: 8343699.png (6.0 Kb) · 8277452.png (8.5 Kb) · 0833259.png (12.1 Kb) · 1958805.png (12.8 Kb) · 5826581.png (8.1 Kb)
 
 
МЕДВЕДИКДата: Вторник, 29.09.2015, 15:57 | Сообщение # 116
Генерал-лейтенант
Группа: Проверенные
Сообщений: 602
Награды: 0
Репутация: 0
Статус: Offline


 
Работай из дома! 18+
 
 


Для увеличения ответа на задание, нажмите на картинку



---------------------------------------------------------------------



---------------------------------------------------------------------



---------------------------------------------------------------------



---------------------------------------------------------------------



---------------------------------------------------------------------

Перейти в оглавление решебника ГДЗ по Алгебре. 11 класс. Задачник А. Г. Мордкович
Фото: 4817489.png (9.1 Kb) · 6156725.png (7.9 Kb) · 8251817.png (6.2 Kb) · 2258389.png (5.8 Kb) · 8924044.png (28.2 Kb)
 
 
МЕДВЕДИКДата: Вторник, 29.09.2015, 15:58 | Сообщение # 117
Генерал-лейтенант
Группа: Проверенные
Сообщений: 602
Награды: 0
Репутация: 0
Статус: Offline


 
Работай из дома! 18+
 
 


Для увеличения ответа на задание, нажмите на картинку



---------------------------------------------------------------------



---------------------------------------------------------------------



---------------------------------------------------------------------



---------------------------------------------------------------------



---------------------------------------------------------------------

Перейти в оглавление решебника ГДЗ по Алгебре. 11 класс. Задачник А. Г. Мордкович
Фото: 8146932.png (10.3 Kb) · 0506716.png (7.5 Kb) · 3735545.png (9.5 Kb) · 7475935.png (20.1 Kb) · 7156202.png (9.2 Kb)
 
 
МЕДВЕДИКДата: Вторник, 29.09.2015, 15:58 | Сообщение # 118
Генерал-лейтенант
Группа: Проверенные
Сообщений: 602
Награды: 0
Репутация: 0
Статус: Offline


 
Работай из дома! 18+
 
 


Для увеличения ответа на задание, нажмите на картинку



---------------------------------------------------------------------



---------------------------------------------------------------------



---------------------------------------------------------------------



---------------------------------------------------------------------



---------------------------------------------------------------------

Перейти в оглавление решебника ГДЗ по Алгебре. 11 класс. Задачник А. Г. Мордкович
Фото: 7466096.png (15.2 Kb) · 2520579.png (10.7 Kb) · 9575586.png (14.3 Kb) · 8661954.png (9.4 Kb) · 9243127.png (13.8 Kb)
 
 
МЕДВЕДИКДата: Вторник, 29.09.2015, 15:59 | Сообщение # 119
Генерал-лейтенант
Группа: Проверенные
Сообщений: 602
Награды: 0
Репутация: 0
Статус: Offline


 
Работай из дома! 18+
 
 


Для увеличения ответа на задание, нажмите на картинку



---------------------------------------------------------------------



---------------------------------------------------------------------



---------------------------------------------------------------------



---------------------------------------------------------------------



---------------------------------------------------------------------

Перейти в оглавление решебника ГДЗ по Алгебре. 11 класс. Задачник А. Г. Мордкович
Фото: 5819578.png (8.3 Kb) · 9273999.png (17.5 Kb) · 3273706.png (17.2 Kb) · 4901910.png (18.7 Kb) · 8457578.png (8.3 Kb)
 
 
МЕДВЕДИКДата: Вторник, 29.09.2015, 15:59 | Сообщение # 120
Генерал-лейтенант
Группа: Проверенные
Сообщений: 602
Награды: 0
Репутация: 0
Статус: Offline


 
Работай из дома! 18+
 
 


Для увеличения ответа на задание, нажмите на картинку



---------------------------------------------------------------------



---------------------------------------------------------------------



---------------------------------------------------------------------



---------------------------------------------------------------------



---------------------------------------------------------------------

Читать ответы на задачи далее...
Фото: 6750411.png (6.7 Kb) · 7522666.png (5.2 Kb) · 3514677.png (9.3 Kb) · 3565633.png (7.3 Kb) · 1433939.png (4.6 Kb)
 
 
Поиск:

Работай из дома! 18+
 
 
 
 
 
 

 
Последние темы на форуме:
 
  • Новогодние праздники 2021-2022 официальные выходные
  • Показатели давления и сердцебиения у женщины 57 лет
  • Гороскоп на декабрь 2021 Женщина Телец
  • Гороскоп на январь 2022 от Павла Глоба
  • Гороскоп на декабрь 2021 от Павла Глоба
  • Гороскоп на ноябрь 2021 от Павла Глоба
  • Стенограмма судьбы - Содержание серий, актеры и роли сериала
  • Мосгаз. Западня - Содержание серий, актеры и роли 2021
  • Тобол - Содержание серий, актеры и роли сериала. 2021
  • Гороскоп для Тигра на сегодня от Павла Глоба
  • Утраченные воспоминания - Содержание серий, актеры и роли
  • Чёрно-белая любовь - Содержание серий, актеры и роли сериала
  • Забытая женщина - Содержание серий, актеры и роли сериала
  • Тайна спящей дамы - Содержание серий, актеры и роли сериала
  • Сериал Часы с кукушкой - Содержание серий, актеры и роли
  •  
     

     
    Обращаем ваше внимание на то, что данный интернет-сайт www.kinolog.do.am носит исключительно информационный характер и ни при каких условиях не является публичной офертой, определяемой положениями Статьи 437 (2) Гражданского кодекса РФ. Цена и наличие товара может отличаться от действительной. Пожалуйста, уточняйте цены и наличие товара у наших менеджеров.
    Администрация сайта не несет ответственности за действия и содержание размещаемой информации пользователей: комментарии, материалы, сообщения и темы на форуме, публикации, объявления и т.д.
    Правообладателям | Реклама | Учебники | Политика
    Отопление, водоснабжение, газоснабжение, канализация © 2003 - 2021
    Рейтинг@Mail.ru Рейтинг арматурных сайтов. ARMTORG.RU Яндекс.Метрика