[ Новые сообщения · Участники · Правила форума · Поиск · RSS ]
 
Работай из дома! 18+

ГДЗ по Математике. 6 класс
KADETДата: Среда, 24.12.2014, 18:44 | Сообщение # 256
Генерал-майор
Группа: Проверенные
Сообщений: 337
Награды: 0
Репутация: 0
Статус: Offline


 
Работай из дома! 18+
 
 




Задача № 1271

Найдите значение выражения:

а) — (m + n)+(k + m) — (k— 0,13), если n= — 2,13;
б) (c+ d + k) - (c + k + 15,3), если d= —14,7.

Ответ на задание



Задача № 1272

Напишите сумму двух выражений и упростите ее: a) a + b и p - b б) — m + n и —k — n.

Ответы на задание



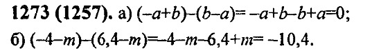
Задача № 1273

Напишите разность двух выражений и упростите ее: а) — а + b и b — а; б) —4—m и 6,4 — m.

Ответ на задачу



Задача № 1274

Найдите значение выражения:

1) -2,6•(3-3,8)+ 4,2•(4-2,7); 2) -1,212:0,4+ 2,9 • (2-4,3).

Ответ на задание и решение



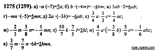
Задача № 1275

Упростите выражение и подчеркните его числовой коэффициент:

Ответ на задачку

Фото: 3939349.jpg (30.3 Kb) · 6940893.jpg (16.6 Kb) · 5951684.jpg (26.4 Kb) · 8345686.jpg (26.2 Kb) · 5388411.jpg (39.2 Kb)
 
 
KADETДата: Среда, 24.12.2014, 18:47 | Сообщение # 257
Генерал-майор
Группа: Проверенные
Сообщений: 337
Награды: 0
Репутация: 0
Статус: Offline


 
Работай из дома! 18+
 
 


Задача № 1276

Выполните действия:

а) -13,•-(-7,2 + 313,2:8,7); в) -9,396:2,7-0,2•1,7;
б) -16,3•(-8,3 + 212,8:7,6); г) -0,8•1,6-14,911:3,7.

Ответ на задание



Задача № 1277

Решите уравнение:

Ответы на задание



Задача № 1278

Из 3,2 кг ржаной муки получается 4,48 кг хлеба. Сколько муки расходует хлебозавод на выпечку 28 т хлеба?

Ответ на задачу



Задача № 1279

8 каменщиков сложили стены дома за 42 дня. Сколько нужно каменщиков, чтобы сложить стены такого же дома за 28 дней?

Ответ на задание и решение



Задача № 1280

Выполнив план на 25%, трактористы вспахали 144 га. Сколько земли нужно вспахать, чтобы выполнить 65% плана?

Ответ на задачку

Фото: 6951876.jpg (33.4 Kb) · 8997464.jpg (28.8 Kb) · 7040961.jpg (59.1 Kb) · 0207372.jpg (65.2 Kb) · 8828806.jpg (58.4 Kb)
 
 
KADETДата: Среда, 24.12.2014, 18:50 | Сообщение # 258
Генерал-майор
Группа: Проверенные
Сообщений: 337
Награды: 0
Репутация: 0
Статус: Offline


 
Работай из дома! 18+
 
 


Задача № 1281

Раскройте скобки:

а) (а-b+с)*8;
д) (3m-2k + 1)*(-3);
б) —5*(m — n — k);
е) — 2а*(b+2с—3m);
в) а*(b — m + n);
ж) (—2а + 3b+5с)*4m;
г) — a*(6b — Зс + 4);
з) — а*(3m + k — n).

Ответ на задание



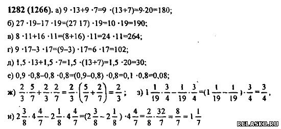
Задача № 1282

Выполните действия, применив распределительное свойство умножения:

Ответы на задание



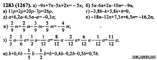
Задача № 1283

Сложите подобные слагаемые:

Выражения вида 7x—3x+6x—4x читают так:

— сумма семи икс, минус трех икс, шести икс и минус четырех икс
— семь икс минус три икс плюс шесть икс минус четыре икс

Ответ на задачу



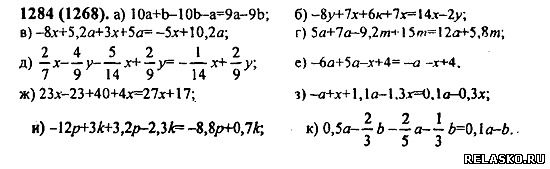
Задача № 1284

Выполните приведение подобных слагаемых:

Ответ на задание и решение



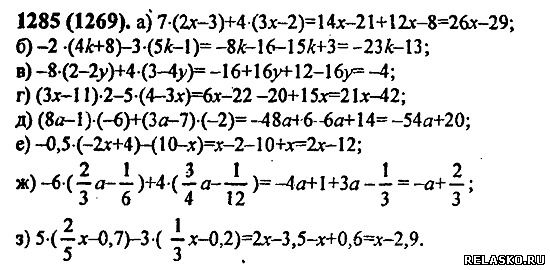
Задача № 1285

Раскройте скобки и приведите подобные слагаемые:

Ответ на задачку

Фото: 9936684.jpg (35.0 Kb) · 8740233.jpg (56.2 Kb) · 7817780.jpg (49.6 Kb) · 8580425.jpg (41.1 Kb) · 2306443.jpg (71.1 Kb)
 
 
KADETДата: Среда, 24.12.2014, 18:53 | Сообщение # 259
Генерал-майор
Группа: Проверенные
Сообщений: 337
Награды: 0
Репутация: 0
Статус: Offline


 
Работай из дома! 18+
 
 


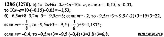
Задача № 1286

Найдите значение выражения:

Ответ на задание



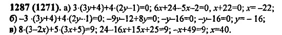
Задача № 1287

Решите уравнение:

а) 3*(2x + 8)-(5x+2)=0;
в) 8*(3-2x)+5*(3x + 5)=9.
б) — 3*(3у + 4)+4*(2y —1)=0;

Ответы на задание



Задача № 1288

Килограмм картофеля стоит 20 к., а килограмм капусты 14 к. Картофеля купили на 3 кг больше, чем капусты. За все заплатили 1 р. 62 к. Сколько купили килограммов картофеля и сколько капусты?

В мешок помещается 20 кг. Картофеля или 14 кг. Капусты. В столовую привезли картофеля на 3 мешка больше, чем капусты. Всего привезли 1,62 ц картофеля и капусты. Сколько привезли мешков картофеля и сколько капусты?

Ответ на задачу



Задача № 1289

Турист шел 3 ч пешком и 4 ч ехал на велосипеде. Всего он проделал путь в 62 км. С какой скоростью он шел пешком, если пешком он шел медленнее на 5 км/ч, чем ехал на велосипеде?

Ответ на задание и решение



Задача № 1290

Вычислите устно:

Ответ на задачку

Фото: 8431219.jpg (37.4 Kb) · 5436369.jpg (31.4 Kb) · 6624244.jpg (40.5 Kb) · 8402699.jpg (41.0 Kb) · 8860121.jpg (18.3 Kb)
 
 
KADETДата: Среда, 24.12.2014, 19:00 | Сообщение # 260
Генерал-майор
Группа: Проверенные
Сообщений: 337
Награды: 0
Репутация: 0
Статус: Offline


 
Работай из дома! 18+
 
 


Задача № 1291

Чему равна сумма тысячи слагаемых, каждое из которых равно —1? Чему равно произведение тысячи множителей, каждый из которых равен —1?

Ответ на задание



Задача № 1292

Найдите значение выражения

1-3 + 5-7 + 9-11+ ... + 97-99.

Ответы на задание



Задача № 1293

Решите устно уравнение:

а) x + 4=0;
в) m + m + m = 3m;
б) a+3=a —1;
г) (у-3)(у + 1)=0.

Ответ на задачу



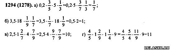
Задача № 1294

Выполните умножение:

Ответ на задание и решение



Задача № 1295

Чему равен коэффициент в каждом из выражений:

Ответ на задачку

Фото: 4126929.jpg (35.4 Kb) · 4206978.jpg (16.7 Kb) · 2478793.jpg (15.6 Kb) · 6533861.jpg (28.8 Kb) · 4953733.jpg (17.7 Kb)
 
 
KADETДата: Среда, 24.12.2014, 19:02 | Сообщение # 261
Генерал-майор
Группа: Проверенные
Сообщений: 337
Награды: 0
Репутация: 0
Статус: Offline


 
Работай из дома! 18+
 
 


Задача № 1296

Расстояние от Москвы до Нижнего Новгорода 440 км. Каким должен быть масштаб карты, чтобы на ней это расстояние имело длину 8,8 см?

Ответ на задание



Задача № 1297

Какой длины отрезком изображается на карте расстояние 35 км, если масштаб карты 1 : 100 000?

Ответы на задание



Задача № 1298

Расстояние от Киева до Одессы изображается на карте, масштаб которой 1 : 10 000 000, отрезком 6,5 см. Определите это расстояние на местности.

Ответ на задачу



Задача № 1299

Прямоугольник на плане, масштаб которого 2 : 5, имеет длину 38 мм, а ширину 26 мм. Найдите площадь этого прямоугольника 6 натуре.

Ответ на задание и решение



Задача № 1300

Отрезок на плане, масштаб которого 2 : 7, изображается отрезком 4,2 см. Какой длины будет этот отрезок на плане, сделанном в масштабе 5:3?

Ответ на задачку

Фото: 8832477.jpg (18.3 Kb) · 5946712.jpg (17.2 Kb) · 4403267.jpg (17.6 Kb) · 9282007.jpg (25.4 Kb) · 3832023.jpg (24.0 Kb)
 
 
KADETДата: Среда, 24.12.2014, 19:09 | Сообщение # 262
Генерал-майор
Группа: Проверенные
Сообщений: 337
Награды: 0
Репутация: 0
Статус: Offline


 
Работай из дома! 18+
 
 


Задача № 1301

Решите задачу:

1) Комбайнер перевыполнил план на 15% и убрал зерновые на площади 230 га. Сколько гектаров по плану должен убрать комбайнер?

2) Бригада плотников израсходовала на ремонт здания 4,2 м3 досок. При этом она сэкономила 16% выделенных для ремонта досок. Сколько кубических метров досок было выделено на ремонт здания?

Ответ на задание



Задача № 1302

Найдите значение выражения:

1) — 3,4 • 7,1 — 3,6 • 6,8 + 9,7 • 8,6;

2) -4,1•8,34+2,5•7,9-3,9•4,2.

Ответы на задание



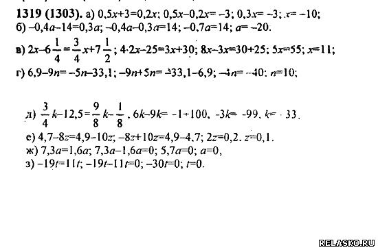
Задача № 1303

Решите с помощью графа задачу: «Марина, Лариса, Жанна и Катя умеют играть на разных инструментах (пианино, виолончели, гитаре, скрипке), но каждая только на одном. Они же знают иностранные языки (английский, французский, немецкий, испанский), но каждая только один.

Известно:

1) девушка, которая играет на гитаре, говорит по-испански;
2) Лариса не играет ни на скрипке, ни на виолончели и не знает английского языка;
3) Марина не играет ни на скрипке, ни на виолончели и не знает ни немецкого, ни английского языка;
4) девушка, которая говорит по-немецки, не играет на виолончели;
5) Жанна знает французский язык, но не играет на скрипке. Кто на каком инструменте играет и какой иностранный язык знает?»

Ответ на задачу



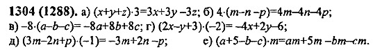
Задача № 1304

Раскройте скобки:

а) (x+у-z)*3;
г) (2х-у+3)*(-2);
б) 4*(m-n-р);
д) (8m-2n+р)*(-1);
в) — 8*(а — b—с);
е) (a+5— b—с)*m.

Ответ на задание и решение



Задача № 1305

Найдите значение выражения, применив распределительное свойство умножения:

Ответ на задачку

Фото: 0511958.jpg (55.4 Kb) · 6893678.jpg (22.9 Kb) · 9617652.jpg (40.6 Kb) · 2166773.jpg (28.9 Kb) · 0776481.jpg (44.8 Kb)
 
 
KADETДата: Среда, 24.12.2014, 19:16 | Сообщение # 263
Генерал-майор
Группа: Проверенные
Сообщений: 337
Награды: 0
Репутация: 0
Статус: Offline


 
Работай из дома! 18+
 
 


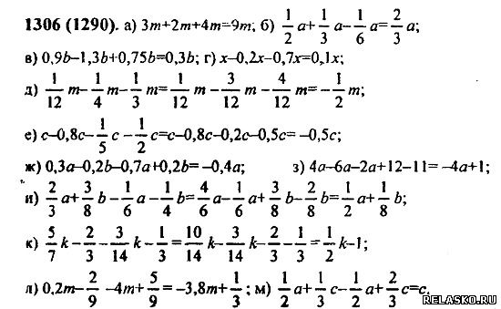
Задача № 1306

Приведите подобные слагаемые:

Ответ на задание



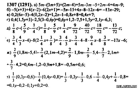
Задача № 1307

Раскройте скобки и приведите подобные слагаемые:

Ответы на задание



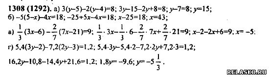
Задача № 1308

Решите уравнение:

Ответ на задачу



Задача № 1309

Купили один стол и 6 стульев за 67 р. Стул дешевле стола на 18 р. Сколько стоит стул и сколько стоит стол?

Группа туристов 1 ч ехала на автобусе, а затем шла 6 ч пешком со скоростью, на 18 км\ч меньшей чем скорость автобуса. Всего группа преодолела 67 км. Найдите скорость автобуса и туристов пешем походе.

Ответ на задание и решение



Задача № 1310

В трех классах 119 учащихся. В первом классе учащихся на 4 человека больше, чем во втором, и на 3 человека меньше, чем в третьем классе. Сколько учащихся в каждом классе?

В трех классах 71 учащихся. В первом классе учащихся на 4 человека больше, чем во втором, и на 3 человека меньше, чем в третьем классе. Сколько учащихся в каждом классе?

Ответ на задачку

Фото: 9954526.jpg (71.7 Kb) · 7290600.jpg (85.3 Kb) · 8221409.jpg (38.2 Kb) · 7901440.jpg (44.7 Kb) · 6681800.jpg (40.5 Kb)
 
 
KADETДата: Четверг, 25.12.2014, 11:04 | Сообщение # 264
Генерал-майор
Группа: Проверенные
Сообщений: 337
Награды: 0
Репутация: 0
Статус: Offline


 
Работай из дома! 18+
 
 


Задача № 1311

Определите масштаб карты, если расстояние между двумя пунктами на местности 750 м, а на карте 25 мм.

Ответ на задание



Задача № 1312

Какой длины отрезком изображается на карте расстояние 6,5 км, если масштаб карты 1 : 25 000?

Ответы на задание



Задача № 1313

На карте отрезок имеет длину 12,6 см. Какова длина этого отрезка на местности, если масштаб карты 1 : 150 000?

Ответ на задачу



Задача № 1314

Перенесите из левой части уравнения в правую то слагаемое, которое не содержит неизвестного:

а) 8x + 5,9 = 7x + 20;
б) 6x — 8= —5х—1,6.

Ответ на задание и решение



Задача № 1315

Соберите в левой части уравнения все слагаемые, содержащие неизвестное, а в правой — не содержащие неизвестное:

a) 15y —8= —6y + 4,6;

б) — 16z +1,7 = 2z — 1.

Ответ на задачку

Фото: 9844600.jpg (17.5 Kb) · 6755239.jpg (18.1 Kb) · 4880600.jpg (18.0 Kb) · 6571573.jpg (15.4 Kb) · 0169488.jpg (17.1 Kb)
 
 
KADETДата: Четверг, 25.12.2014, 11:07 | Сообщение # 265
Генерал-майор
Группа: Проверенные
Сообщений: 337
Награды: 0
Репутация: 0
Статус: Offline


 
Работай из дома! 18+
 
 


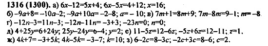
Задача № 1316

Решите уравнение:

а) 6x -12 = 5х + 4; д) 4 + 25у = 6 + 24у;
б) —9a + 8=—10а —2; е) 11 — 5z = 12 — 6z;
в) 7m +1 = 8m + 9; ж) 4k + 7= — 3 + 5k;
г) —12n —3 = 11n —3; з) 6 —2с = 8 —Зс.

Уравнения вида — 7у + 9 = — 8у— 3 читают так: — сумма минус семи игрек и девяти равна сумме минус восьми игрек и минус трех. Корень этого уравнения — число минус двенадцать.

Ответ на задание



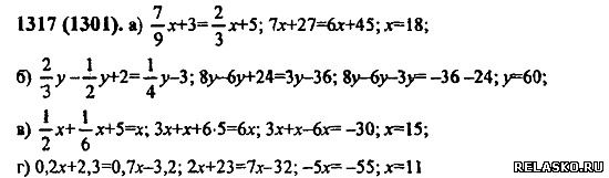
Задача № 1317

С помощью умножения обеих частей уравнения на одно и то же число освободитесь от дробных чисел и решите уравнение:

Ответы на задание



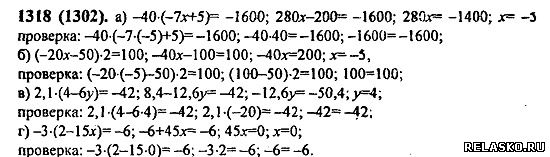
Задача № 1318

Решите уравнение и выполните проверку:

а) —40*( — 7x+ 5)= —1600;
в) 2,1*(4-6у)=-42;
б) (-20*-50)*2 = 100;
г) -3 * (2-15x)=-6.

Ответ на задачу



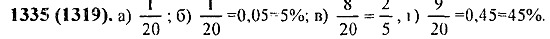
Задача № 1319

Найдите корень уравнения:

Ответ на задание и решение



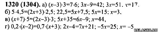
Задача № 1320

Решите уравнение, используя основное свойство пропорции:

Ответ на задачку

Фото: 3124252.jpg (38.7 Kb) · 5019396.jpg (36.8 Kb) · 5495652.jpg (51.1 Kb) · 9018057.jpg (57.7 Kb) · 7308946.jpg (36.3 Kb)
 
 
KADETДата: Четверг, 25.12.2014, 11:13 | Сообщение # 266
Генерал-майор
Группа: Проверенные
Сообщений: 337
Награды: 0
Репутация: 0
Статус: Offline


 
Работай из дома! 18+
 
 


Задача № 1321

В первом бидоне в 3 раза больше молока, чем во втором. Если из первого перелить 20 л во второй, то молока в бидонах будет поровну. Сколько молока было в каждом бидоне?

Ответ на задание



Задача № 1322

Длина отрезка АВ на 2 см больше, чем длина отрезка CD. Если длину отрезка АВ увеличить на 10 см, а длину отрезка CD увеличить в 3 раза, то получатся равные результаты. Найдите длину отрезка АВ.

Ответы на задание



Задача № 1323

Автобус проходит расстояние от города до села за 1,8 ч, а легковая автомашина — за 0,8 ч. Найдите скорость автобуса, если известно, что она меньше скорости легковой автомашины на 50 км/ч.

Ответ на задачу



Задача № 1324

На первую автомашину погрузили на 0,6 т зерна больше, чем на вторую. Если бы на первую автомашину погрузили в 1,2 раза больше, а на вторую в 1,4 раза больше, то груза на обеих автомашинах было бы поровну. Сколько тонн груза погрузили на каждую автомашину?

Ответ на задание и решение



Задача № 1325

Мама получила премию. На покупку пальто было 2010-84.jpgизрасходовано — всей премии, а на покупку туфель премии и еще осталось 75 р. Какую премию получила мама?

В спортивном лагере 5/9 прибывших. В спортивном лагере 5/9 прибывших туристов разместили в гостинице, 1/6 в летних домиках, а остальные 75 туристов в палатках. Сколько туристов прибыло в спортивный лагерь?

Ответ на задачку

Фото: 1941919.jpg (39.0 Kb) · 3734408.jpg (36.4 Kb) · 4778956.jpg (33.4 Kb) · 8524280.jpg (45.4 Kb) · 0174188.jpg (33.2 Kb)
 
 
KADETДата: Четверг, 25.12.2014, 11:28 | Сообщение # 267
Генерал-майор
Группа: Проверенные
Сообщений: 337
Награды: 0
Репутация: 0
Статус: Offline


 
Работай из дома! 18+
 
 


Задача № 1326

Мебельный гарнитур состоял из стенки, дивана и стола со стульями. Стоимость стенки составляла стоимости всего гарнитура, а стоимость дивана 2010-86.jpg стоимости стенки. Стол со стульями стоил 160 р. Сколько стоил весь гарнитур?

В школьной библиотеке есть художественная, научно-популярная и справочная литература. Число книг с художественными произведениями составляет 3/4 всех книг библиотеки, научно-популярных 3/10 от художественных, а остальные 160 книг - справочники. Сколько всего книг в библиотеке?

Ответ на задание



Задача № 1327

Три завода получили заказ на изготовление моторов. Первый завод выполнил 0,56 всего заказа, второй 5/14 того, что выполнил первый завод, а третий завод изготовил остальные 240 моторов. Сколько всего моторов изготовили все три завода?

Ответы на задание



Задача № 1328

Веревку длиной 63 м разрезали на два куска так, что 0,4 длины первого куска были равны 0,3 длины второго куска. Найдите длину каждого куска веревки.

Ответ на задачу



Задача № 1329

На отливку блока объёмом 2,5 м3 требуется 5,5т бетона На сколько увеличиться расход бетона при отливке блока 2,9 м3 ?

Ответ на задание и решение



Задача № 1330

В растворе содержится 40% соли. Если добавить 120 г соли, то в растворе будет содержаться 70% соли. Сколько граммов соли было в растворе первоначально?

Ответ на задачку

Фото: 6893766.jpg (39.8 Kb) · 0968587.jpg (40.1 Kb) · 6441699.jpg (32.8 Kb) · 7466605.jpg (66.1 Kb) · 2031593.jpg (47.3 Kb)
 
 
KADETДата: Четверг, 25.12.2014, 11:30 | Сообщение # 268
Генерал-майор
Группа: Проверенные
Сообщений: 337
Награды: 0
Репутация: 0
Статус: Offline


 
Работай из дома! 18+
 
 


Задача № 1331

Вычислите устно:

Ответ на задание



Задача № 1332

При каких значениях а верно неравенство: а) а< — а; б) —а<а; в) —а>a?

Ответы на задание



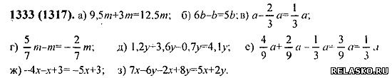
Задача № 1333

Приведите подобные слагаемые:

Ответ на задачу



Задача № 1334

Упростите выражение:

а) 2х—(x+ 1); б) n + 2(3n —1).

Ответ на задание и решение



Задача № 1335

Расфасовочная машина может всю привезенную продукцию обработать за 20 ч.

Определите:

а) какую часть всей продукции она обработает за 1 ч;

б) сколько процентов всей продукции она обработает за 1 ч;

в) какую часть всей продукции она обработает за 8 ч;

г) сколько процентов всей продукции она обработает за 9 ч.

Ответ на задачку

Фото: 3201782.jpg (17.5 Kb) · 5088251.jpg (16.7 Kb) · 0899949.jpg (27.2 Kb) · 8021093.jpg (15.8 Kb) · 4334571.jpg (17.0 Kb)


 
 
KADETДата: Четверг, 25.12.2014, 11:35 | Сообщение # 269
Генерал-майор
Группа: Проверенные
Сообщений: 337
Награды: 0
Репутация: 0
Статус: Offline


 
Работай из дома! 18+
 
 


Задача № 1336

За какое время все свекловичное поле уберет уборочная машина, если известно, что она за 1 ч убирает:

а) 5% всего поля; б)1/6 всего поля; в) 0,4 всего поля?

Ответ на задание



Задача № 1337

За какое время израсходует двигатель весь бензин из бака, если он:

а) за 3 ч расходует 12% всего бензина; б) за 3 ч расходует 4/15 всего бензина; в) за 6 ч расходует 0,24 всего 15 бензина?

Ответы на задание



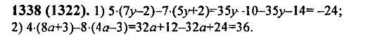
Задача № 1338

Докажите, что при любом значении буквы значение выражения:

1) 5*(7y-2)-7*(5y + 2) равно -24;
2) 4*(8а + 3)—8*(4а — 3) равно 36.

Ответ на задачу



Задача № 1339

Найдите значение выражения:

1) (503,44:12,4 - 225,36:7,2)• (1,6905:0,49);
2) (971,1:23,4 - 211,14:6,9)•(6,5704:0,86).

Ответ на задание и решение



Задача № 1340

Древнегреческая(старинная) задача.

— Скажи мне, знаменитый Пифагор(учитель), сколько учеников посещают твою школу и слушают твои беседы.

— Вот сколько,— ответил Пифагор,— половина изучает математику, четверть — природу, седьмая часть проводит время в размышлении, и, кроме того, есть еще три женщины.

Ответ на задачку

Фото: 2357878.jpg (27.5 Kb) · 0755391.jpg (29.9 Kb) · 3068902.jpg (21.0 Kb) · 5277338.jpg (26.3 Kb) · 7569987.jpg (53.8 Kb)
 
 
KADETДата: Четверг, 25.12.2014, 11:43 | Сообщение # 270
Генерал-майор
Группа: Проверенные
Сообщений: 337
Награды: 0
Репутация: 0
Статус: Offline


 
Работай из дома! 18+
 
 


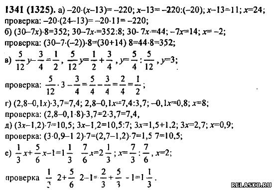
Задача № 1341

Решите уравнение и выполните проверку:

Ответ на задание



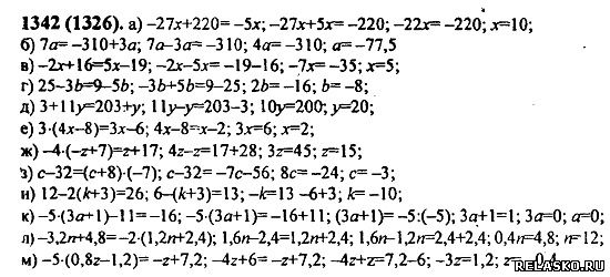
Задача № 1342

Решите уравнение:

а) -27x + 220=-5x;
ж) -4*(-z + 7)=z + 17;
б) 7a=— 310 + 3а;
3) с-32=(с + 8)*(-7);
в) -2x+16=5x—19;
и) 12 — 2*(k + 3)= 26;
г) 25 — 3b = 9 — 5b;
к) — 5(За + 1)-11 = —16;
д) 3 + 11y= 203 +y;
Л) -3,2n + 4,8=-2*(1,2n+ 2,4);
е) 3*(4x — 8) = 3x — 6;
м) -5*(0,8z-1,2)=-z + 7,2.

Ответы на задание



Задача № 1343

Одно число больше другого в 4,5 раза. Если от большего числа отнять 54, а к меньшему прибавить 72, то получатся равные результаты. Чему равны эти числа?

Ответ на задачу



Задача № 1344

Бутылка с кефиром в 2 раза тяжелее пустой бутылки (рис. 94). Галя выпила половину бутылки кефира. Сколько граммов кефира выпила Галя?

Ответ на задание и решение



Задача № 1345

У Миши и Коли было поровну денег. Когда Миша купил себе книгу, а Коля альбом, который в 1,4 раза дешевле книги, то у Миши осталось 20 к., а у Коли 40 к. Сколько стоит альбом, сколько стоит книга и сколько денег было у каждого мальчика?

Ответ на задачку




Продолжение решебника по Математике ...
Фото: 5476191.jpg (86.9 Kb) · 3244002.jpg (75.5 Kb) · 0216057.jpg (35.7 Kb) · 1237430.jpg (48.6 Kb) · 5930557.jpg (32.2 Kb)
 
 
Поиск:

Работай из дома! 18+
 
 
 
 
 
 

 
Последние темы на форуме:
 
  • Новогодние праздники 2021-2022 официальные выходные
  • Показатели давления и сердцебиения у женщины 57 лет
  • Гороскоп на декабрь 2021 Женщина Телец
  • Гороскоп на январь 2022 от Павла Глоба
  • Гороскоп на декабрь 2021 от Павла Глоба
  • Гороскоп на ноябрь 2021 от Павла Глоба
  • Стенограмма судьбы - Содержание серий, актеры и роли сериала
  • Мосгаз. Западня - Содержание серий, актеры и роли 2021
  • Тобол - Содержание серий, актеры и роли сериала. 2021
  • Гороскоп для Тигра на сегодня от Павла Глоба
  • Утраченные воспоминания - Содержание серий, актеры и роли
  • Чёрно-белая любовь - Содержание серий, актеры и роли сериала
  • Забытая женщина - Содержание серий, актеры и роли сериала
  • Тайна спящей дамы - Содержание серий, актеры и роли сериала
  • Сериал Часы с кукушкой - Содержание серий, актеры и роли
  •  
     

     
    Обращаем ваше внимание на то, что данный интернет-сайт www.kinolog.do.am носит исключительно информационный характер и ни при каких условиях не является публичной офертой, определяемой положениями Статьи 437 (2) Гражданского кодекса РФ. Цена и наличие товара может отличаться от действительной. Пожалуйста, уточняйте цены и наличие товара у наших менеджеров.
    Администрация сайта не несет ответственности за действия и содержание размещаемой информации пользователей: комментарии, материалы, сообщения и темы на форуме, публикации, объявления и т.д.
    Правообладателям | Реклама | Учебники | Политика
    Отопление, водоснабжение, газоснабжение, канализация © 2003 - 2021
    Рейтинг@Mail.ru Рейтинг арматурных сайтов. ARMTORG.RU Яндекс.Метрика