[ Новые сообщения · Участники · Правила форума · Поиск · RSS ]
 
Работай из дома! 18+

ГДЗ по Математике. 6 класс
KADETДата: Вторник, 23.12.2014, 10:38 | Сообщение # 31
Генерал-майор
Группа: Проверенные
Сообщений: 337
Награды: 0
Репутация: 0
Статус: Offline


 
Работай из дома! 18+
 
 




Задача № 146

Найдите все общие делители чисел: а) 18 и 60; б) 72, 96 и 120; в) 35 и 88.

Ответ на задание



Задача № 147

Найдите разложение на простые множители наибольшего общего делителя чисел а и b, если: а) а = 2 • 2 • 3 • 3 и b = 2 • 3 • 3 • 5; б) а = 5 • 5 • 7 • 7 • 7 и b = 3 • 5 • 7 • 7.

Ответы на задание



Задача № 148

Найдите наибольший общий делитель чисел:

а) 12 и 18;
в) 675 и 825;
д) 324, 111 и 432;
б) 50 и 175;
г) 7920 и 594;
е) 320, 640 и 960.

Ответ на задачу



Задача № 149

Являются ли взаимно простыми числа:

а) 35 и 40;
б) 77 и 20;
в) 10, 30, 41;
г) 231 и 280?

Ответ на задание и решение



Задача № 150

Являются ли взаимно простыми числа:

а) 35 и 40;
б) 77 и 20;
в) 10, 30, 41;
г) 231 и 280?

Ответ на задачку

Фото: 6595916.jpg (47.9 Kb) · 8069572.jpg (50.8 Kb) · 1278532.jpg (57.1 Kb) · 3000392.jpg (28.2 Kb) · 9755046.jpg (19.6 Kb)
 
 
KADETДата: Вторник, 23.12.2014, 10:41 | Сообщение # 32
Генерал-майор
Группа: Проверенные
Сообщений: 337
Награды: 0
Репутация: 0
Статус: Offline


 
Работай из дома! 18+
 
 


Задача № 151

Запишите все правильные дроби со знаменателем 12, у которых числитель и знаменатель — взаимно простые числа.

Ответ на задание



Задача № 152

Ребята получили на новогодней елке одинаковые подарки. Во всех подарках вместе было 123 апельсина и 82 яблока. Сколько ребят присутствовало на елке? Сколько апельсинов и сколько яблок было в каждом подарке?

Ответы на задание



Задача № 153

Для поездки за город работникам завода было выделено несколько автобусов, с одинаковым числом мест в каждом автобусе. 424 человека поехали в лес, а 477 человек — на озеро. Все места в автобусах были заняты, и ни одного человека не осталось без места. Сколько автобусов было выделено и сколько пассажиров было в каждом автобусе?

Ответ на задачу



Задача № 154

Вычислите устно:

Ответ на задание и решение



Задача № 155

С помощью рисунка 7 определите, являются ли числа a, b и с простыми.

Ответ на задачку

Фото: 0711275.jpg (17.7 Kb) · 2034893.jpg (37.4 Kb) · 8346642.jpg (42.3 Kb) · 6649334.jpg (18.1 Kb) · 7800577.jpg (14.4 Kb)
 
 
KADETДата: Вторник, 23.12.2014, 10:46 | Сообщение # 33
Генерал-майор
Группа: Проверенные
Сообщений: 337
Награды: 0
Репутация: 0
Статус: Offline


 
Работай из дома! 18+
 
 


Задача № 156

Существует ли куб, ребро которого выражается натуральным числом и у которого:

а) сумма длин всех ребер выражается простым числом;
б) площадь поверхности выражается простым числом?

Ответ на задание



Задача № 157

Разложите на простые множители числа:

а) 875; 2376; 5625;
б) 2025; 3969; 13125.

Ответы на задание



Задача № 158

Почему, если одно число можно разложить на два простых множителя, а второе — на три простых множителя, то эти числа не равны?

Ответ на задачу



Задача № 159

Можно ли найти четыре различных простых числа, чтобы произведение двух из них равнялось произведению двух других?

Ответ на задание и решение



Задача № 160

Сколькими способами в девятиместном микроавтобусе могут разместиться 9 пассажиров? Сколькими способами моут разместиться пассажиры, если один из них хорошо знающий маршрут сядет рядом с водителем?

Ответ на задачку

Фото: 0178108.jpg (22.3 Kb) · 0492381.jpg (20.8 Kb) · 5251710.jpg (25.6 Kb) · 8552406.jpg (24.4 Kb) · 2768166.jpg (24.1 Kb)
 
 
KADETДата: Вторник, 23.12.2014, 10:50 | Сообщение # 34
Генерал-майор
Группа: Проверенные
Сообщений: 337
Награды: 0
Репутация: 0
Статус: Offline


 
Работай из дома! 18+
 
 


Задача № 161

Найдите значение выражения:

а) (3 • 8 • 5-11):(8 • 11); в) (2 • 3 • 7 •1 •3):(3 •7); б) (2 •2 •3 •5 •7):(2 •3 •7); г) (3 •5 • 11 • 17 • 23):(3 • 11 •17).

Ответ на задание



Задача № 162

Сравните:

Ответы на задание



Задача № 163

С помощью транспортира постройте АОВ=35° и DEF = 140°.

Ответ на задачу



Задача № 164

Решите задачу:

1) Луч ОМ разделил развернутый- угол АОВ на два угла АОМ и MOB. Угол АОМ в 3 раза больше угла MOB. Чему равны углы АОМ и ВОМ. Постройте эти углы.

2) Луч ОК разделил развернутый угол COD на два угла СОК и KOD. Угол СОК в 4 раза меньше угла KOD. Чему равны углы СОК и KOD? Постройте эти углы.

Ответ на задание и решение



Задача № 165

Решите задачу:

1) Рабочие отремонтировали дорогу длиной 820 м за три дня. Во вторник они отремонтировали 2/5 этой дороги, а в среду 2/3 оставшейся части. Сколько метров дороги отремонтировали рабочие в четверг?

2) На ферме содержатся коровы, овцы и козы, всего 3400 животных. Овцы и козы вместе составляют 9/17 всех животных, а козы составляют 2/9 общего числа овец и коз. Сколько на ферме коров, сколько овец и сколько коз?

Ответ на задачку

Фото: 9416518.jpg (18.5 Kb) · 9174369.jpg (18.3 Kb) · 2057656.jpg (20.0 Kb) · 3386123.jpg (36.7 Kb) · 4929089.jpg (36.6 Kb)
 
 
KADETДата: Вторник, 23.12.2014, 10:53 | Сообщение # 35
Генерал-майор
Группа: Проверенные
Сообщений: 337
Награды: 0
Репутация: 0
Статус: Offline


 
Работай из дома! 18+
 
 


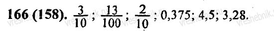
Задача № 166

Представьте в виде обыкновенной дроби числа 0,3; 0,13; 0,2 и в виде десятичной дроби числа

Ответ на задание



Задача № 167

Выполните действие, записав каждое число в виде десятичной дроби:

Ответы на задание



Задача № 168

Вы умеете представлять числа в виде произведения простых чисел.

Попробуйте представить в виде суммы простых слагаемых числа 10, 36, 54, 15, 27 и 49 так, чтобы слагаемых было возможно меньше. Какие предложения о представлении чисел в виде суммы простых слагаемых вы можете высказать?

Ответ на задачу



Задача № 169

Найдите наибольший общий делитель чисел а и b, если:

а) а = 3 • 3 • 5 • 5 • 5 • 7, 6 = 3 • 5 • 5 • 11;

б) а = 2 • 2 • 2 • 3 • 5 • 7, 6 = 3 • 11 • 13.

Ответ на задание и решение



Задача № 170

Найдите наибольший общий делитель чисел:

а) 585 и 360;
б) 680 и 612;
в) 60, 80 и 48;
г) 195, 156 и 260.

Ответ на задачку

Фото: 7565093.jpg (19.2 Kb) · 3442554.jpg (17.0 Kb) · 9540602.jpg (36.5 Kb) · 7307795.jpg (28.0 Kb) · 7427511.jpg (70.9 Kb)
 
 
KADETДата: Вторник, 23.12.2014, 10:55 | Сообщение # 36
Генерал-майор
Группа: Проверенные
Сообщений: 337
Награды: 0
Репутация: 0
Статус: Offline


 
Работай из дома! 18+
 
 


Задача № 171

Докажите, что числа 864 и 875 взаимно простые.

Ответ на задание



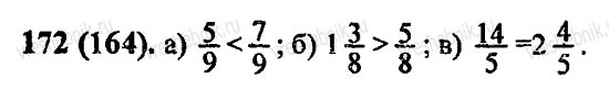
Задача № 172

Сравните:

Ответы на задание



Задача № 173

Постройте угол А ОС, равный 130°. Проведите внутри угла АОС луч ОВ так, чтобы 18-07-37.jpgBOC=40°. Измерьте угол АОВ.

Ответ на задачу



Задача № 174

В городе построен завод, на котором будут работать 840 рабочих следующих профессий: токари, слесари и фрезеровщики. При этом токарей будет втрое, а слесарей вдвое больше, чем фрезеровщиков.

Сколько токарей нужно для завода?

Ответ на задание и решение



Задача № 175

В инкубатор заложили 1200 яиц. Из 23/24 всех яиц вылупились цыплята. При этом оказалось, что петушки составляют 2/5 всех вылупившихся цыплят.

Сколько петушков и сколько курочек вылупилось из яиц?

Ответ на задачку

Фото: 8082778.jpg (23.8 Kb) · 7826795.jpg (20.0 Kb) · 4540342.jpg (26.3 Kb) · 8480307.jpg (33.0 Kb) · 9976353.jpg (21.1 Kb)
 
 
KADETДата: Вторник, 23.12.2014, 11:00 | Сообщение # 37
Генерал-майор
Группа: Проверенные
Сообщений: 337
Награды: 0
Репутация: 0
Статус: Offline


 
Работай из дома! 18+
 
 


Задача № 176

Представьте в виде обыкновенной дроби: 0,5; 0,16; 0,25.

Ответ на задание



Задача № 177

Представьте в виде десятичной дроби:

Ответы на задание



Задача № 178

Найдите значение выражения:

Ответ на задачу



Задача № 179

Найдите разложение на простые множители наименьшего общего кратного чисел а и 6, если:

а) а=3 • 5, b = 7 • 5;
б) а = 2 • 2 • 3 • 3 • 5, b = 2 • 2 • 3 • 7.

Ответ на задание и решение

$IMAGE4$

Задача № 180

Найдите наименьшее общее кратное чисел а и b, если:

а) а=2 • 2 • 3 • 5 • 5 и b = 2 • 3 • 3 • 3 • 5;
б) а= 3 • 3 • 7 • 7 и b = 2 • 3 • 3 • 5 • 7 • 7;
в) а=2 • 2 • 5 • 5 • 11 и b = 2 • 2 • 3 • 5 • 11;
г) а=2 • 5 • 5 • 7 и b = 2 • 2 • 5 • 5 • 7.

Ответ на задачку

Фото: 6362627.jpg (19.4 Kb) · 9470931.jpg (19.4 Kb) · 3628906.jpg (29.5 Kb) · 9943310.jpg (30.8 Kb)
 
 
KADETДата: Вторник, 23.12.2014, 11:02 | Сообщение # 38
Генерал-майор
Группа: Проверенные
Сообщений: 337
Награды: 0
Репутация: 0
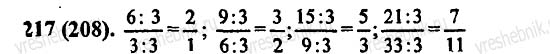
Статус: Offline


 
Работай из дома! 18+
 
 


Задача № 181

Найдите наименьшее общее кратное чисел:

а) 6 и 8;
в) 72 и 99;
д) 34, 51 и 68;
б) 12 и 16;
г) 396 и 180;
е) 168, 231 и 60.

Ответ на задание



Задача № 182

Являются ли числа 54 и 65 взаимно простыми? Найдите наименьшее общее кратное чисел 54 и 65. Равно ли оно произведению 54 и 65? Запишите какие-нибудь два взаимно простых числа. Найдите наименьшее общее кратное этих чисел. Сделайте вывод.

Ответы на задание



Задача № 183

Найдите наименьшее общее кратное чисел:

а) 45 и 135;
б) 34 и 170.

Равно ли оно одному из данных чисел?

Ответ на задачу



Задача № 184

Вдоль дороги от пункта А поставлены столбы через каждые 45 м. Эти Столбы решили заменить другими, поставив их на расстоянии 60 м друг от друга. Найдите расстояние от пункта А до ближайшего столба, который будет стоять на месте старого.

Ответ на задание и решение



Задача № 185

В портовом городе начинаются три туристских теплоходных рейса, первый из которых длится 15 суток, второй 20 суток и третий 12 суток. Вернувшись в порт, теплоходы в этот же день снова отправляются в рейс. Сегодня из порта вышли теплоходы по всем трем маршрутам.

Через сколько суток они впервые снова вместе уйдут в плавание?

Ответ на задачку

Фото: 3057619.jpg (41.3 Kb) · 2667884.jpg (60.2 Kb) · 1180501.jpg (24.9 Kb) · 8408668.jpg (25.3 Kb) · 3353347.jpg (25.3 Kb)
 
 
KADETДата: Вторник, 23.12.2014, 11:05 | Сообщение # 39
Генерал-майор
Группа: Проверенные
Сообщений: 337
Награды: 0
Репутация: 0
Статус: Offline


 
Работай из дома! 18+
 
 


Задача № 186

Вычислите устно

Ответ на задание



Задача № 187

Каждую из дробей a/5 и b/6, где а и b — натуральные числа, можно представить в виде десятичной.

Могут ли а и 5, b и 6 быть взаимно простыми? Могут ли два одинаковых числа быть взаимно простыми?

Ответы на задание



Задача № 188

Найдите наибольший общий делитель для числителя и знаменателя дроби

Ответ на задачу



Задача № 189

Какие из следующих утверждений верны:

а) два четных числа не могут быть взаимно простыми;
б) четное и нечетное числа всегда взаимно простые;
в) два различных простых числа всегда взаимно простые;
г) простое и составное числа могут быть взаимно простыми;
д) любое натуральное число и натуральное число, не являющееся ни простым, ни составным, обязательно взаимно простые;
е) последовательные натуральные числа всегда взаимно простые.

Ответ на задание и решение



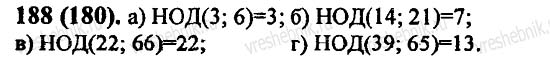
Задача № 190

Найдите наибольший общий делитель чисел:

а) 12 и 24;
б) 6 и 9;
в) 75 и 45;
г) 81 и 243;
д) 4725 и 7875.

Ответ на задачку

Фото: 7552149.jpg (19.2 Kb) · 0963925.jpg (32.6 Kb) · 9525600.jpg (22.7 Kb) · 3781270.jpg (32.5 Kb) · 9655660.jpg (32.2 Kb)
 
 
KADETДата: Вторник, 23.12.2014, 11:08 | Сообщение # 40
Генерал-майор
Группа: Проверенные
Сообщений: 337
Награды: 0
Репутация: 0
Статус: Offline


 
Работай из дома! 18+
 
 


Задача № 191

Лист картона имеет форму прямоугольника, длина которого 48 см, а ширина 40 см. Этот лист надо разрезать без отходов на равные квадраты.

Какие наибольшие квадраты можно получить из этого листа?

Ответ на задание



Задача № 192

Число t кратно 12. Докажите, что число t делится на 4.

Ответы на задание



Задача № 193

Назовите все двузначные числа, записанные одинаковыми цифрами. Найдите наибольший общий делитель всех этих чисел.

Ответ на задачу



Задача № 194

Сколько трехзначных чисел можно составить из четных чисел?

Ответ на задание и решение



Задача № 195

Запишите в виде дроби частные: 3:7; 5:11: 23:34.

Ответ на задачку

Фото: 8288931.jpg (23.5 Kb) · 0327374.jpg (24.1 Kb) · 9506521.jpg (17.1 Kb) · 2748476.jpg (25.5 Kb) · 9263353.jpg (20.6 Kb)
 
 
KADETДата: Вторник, 23.12.2014, 11:11 | Сообщение # 41
Генерал-майор
Группа: Проверенные
Сообщений: 337
Награды: 0
Репутация: 0
Статус: Offline


 
Работай из дома! 18+
 
 


Задача № 196

Запишите в виде частного дроби

Ответ на задание



Задача № 197

Запишите в виде обыкновенной дроби частные 18:7; 23:8; 16:5; 343:14 и выделите целые части.

Ответы на задание



Задача № 198

Найдите среднее арифметическое чисел: 3,8; 4,2; 3,5; 4,1.

Ответ на задачу



Задача № 199

Среднее арифметическое двух чисел равно 54. Одно число в 2 раза больше другого. Найдите эти числа.

Ответ на задание и решение



Задача № 200

Решите задачу:

1) В цистерне было 38 т керосина. В первый день израсходовали в 2,4 раза больше керосина, чем во второй день. После этого в цистерне осталось 9,1 т керосина. Сколько тонн керосина израсходовано в первый день?

2) Утром на базе было 19 т муки. До обеда с базы выдали в 3,2 раза больше муки, чем после обеда. К вечеру на базе осталось 4,3 т муки. Сколько тонн муки выдали с базы до обеда?

Ответ на задачку

Фото: 2448306.jpg (18.6 Kb) · 4654963.jpg (23.4 Kb) · 9799419.jpg (18.5 Kb) · 1679711.jpg (24.9 Kb) · 3956848.jpg (66.8 Kb)
 
 
KADETДата: Вторник, 23.12.2014, 11:15 | Сообщение # 42
Генерал-майор
Группа: Проверенные
Сообщений: 337
Награды: 0
Репутация: 0
Статус: Offline


 
Работай из дома! 18+
 
 


Задача № 201

По таблице простых чисел (см. форзац) подсчитайте, сколько простых чисел в каждой из первых десяти сотен (т. е. среди чисел от 1 до 100, от 101 до 200 и т. д.). Заметили ли вы какие-либо закономерности в расположении простых чисел? Два простых числа, разность которых равна 2, называют близнецами. Найдите в таблице все пары чисел-близнецов. Какие из них самые большие? Сколько таких пар среди первых 500 натуральных чисел? среди чисел от 500 до 1000? Ученые до сих пор не знают, есть ли самая большая пара чисел- близнецов.

Ответ на задание



Задача № 202

Найдите наименьшее общее кратное чисел:

а) 18 и 45;
б) 30 и 40;
в) 210 и 350;
г) 20, 70 и 15.

Ответы на задание



Задача № 203

Найдите наименьшее общее кратное чисел а и b, если:

а) а=5 • 5 • 7 • 13, b = 5 • 7 • 7 • 13;
б) а = 504, b = 540.

Ответ на задачу



Задача № 204

Саша, Коля и Сережа собрали 51 стакан малины. Сережа собрал в 2 раза больше малины, чем Саша, а Коля — на 3 стакана больше, чем Саша. Сколько стаканов малины собрал каждый из мальчиков?

Ответ на задание и решение



Задача № 205

Масса первых трех искусственных спутников Земли, запущенных в 1957—1958 гг., была равна 1918,9 кг.

Найдите массу каждого из этих спутников, если масса второго была больше массы первого на 424,7 кг, а масса третьего — больше массы второго на 818,7 кг.

Ответ на задачку

Фото: 4756336.jpg (42.0 Kb) · 3135785.jpg (34.5 Kb) · 7138482.jpg (20.8 Kb) · 2364492.jpg (31.3 Kb) · 7632471.jpg (38.2 Kb)
 
 
KADETДата: Вторник, 23.12.2014, 11:19 | Сообщение # 43
Генерал-майор
Группа: Проверенные
Сообщений: 337
Награды: 0
Репутация: 0
Статус: Offline


 
Работай из дома! 18+
 
 


Задача № 206

Решите уравнение:

а) (x+ 36,1) • 5,1 = 245,82;
в) (x+ 24,3): 18,3 = 3,1;
б) (m-0,67) • 0,02 = 0,0152;
г) (у-15,7): 19,2 = 4,7.

Ответ на задание



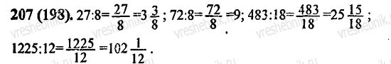
Задача № 207

Запишите в виде дроби частные 27:8; 72:8; 483:18; 1225:12 и выделите из них целые части.

Ответы на задание



Задача № 208

Найдите среднее арифметическое чисел 5,24; 6,97; 8,56; 7,32 и 6,23.

Ответ на задачу



Задача № 209

Поезд шел 3 ч со скоростью 65,2 км/ч и 2 ч со скоростью 83,3 км/ч. Найдите среднюю скорость поезда за эти 5 часов.

Ответ на задание и решение



Задача № 210

Найдите значение выражения:

а) 51 — (3,75:3 + 86,45:24,7) • 2,4;
б) (650000:3125-196,5) • 3,14.

Ответ на задачку

Фото: 5420415.jpg (37.3 Kb) · 3697235.jpg (22.7 Kb) · 7072154.jpg (16.0 Kb) · 6930167.jpg (21.4 Kb) · 9437802.jpg (26.2 Kb)
 
 
KADETДата: Вторник, 23.12.2014, 11:22 | Сообщение # 44
Генерал-майор
Группа: Проверенные
Сообщений: 337
Награды: 0
Репутация: 0
Статус: Offline


 
Работай из дома! 18+
 
 


Задача № 211

Используя рисунок 9 объясните, почему равны дроби

Ответ на задание



Задача № 212

По рис. 10 объясните, почему равны дроби

Ответы на задание



Задача № 213

Поясните с помощью часов, почему:

Ответ на задачу



Задача № 214

Начертите два отрезка А В и CD длиной по 8 см. Отметьте цветным карандашом 3/4 отрезка АВ и 6/8 отрезка CD. Сравните с помощью циркуля цветные части отрезков АВ и CD.

Ответ на задание и решение



Задача № 215

Начертите координатный луч, приняв за единичный отрезок 18 клеток тетради. Отметьте на координатном луче точки с координатами
Задание Какие из этих чисел изображаются на координатном луче одной и той же точкой? Запишите соответствующие равенства.

Ответ на задачку

Фото: 0541745.jpg (71.5 Kb) · 5761179.jpg (49.0 Kb) · 8972461.jpg (20.8 Kb) · 9336538.jpg (28.2 Kb) · 8263612.jpg (31.5 Kb)
 
 
KADETДата: Вторник, 23.12.2014, 11:24 | Сообщение # 45
Генерал-майор
Группа: Проверенные
Сообщений: 337
Награды: 0
Репутация: 0
Статус: Offline


 
Работай из дома! 18+
 
 


Задача № 216

Умножьте числитель и знаменатель каждой дроби Задание на 5. Напишите соответствующие равенства.

Ответ на задание



Задача № 217

Разделите числитель и знаменатель каждой дроби Задание на 3. Запишите соответствующие равенства.

Ответы на задание



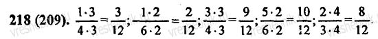
Задача № 218

Сколько двенадцатых долей содержится в

Ответ на задачу



Задача № 219

Объясните, почему верно равенство:

Ответ на задание и решение



Задача № 220

Запишите в виде обыкновенных дробей частные: 3:8; 12:32; 20:48; 5:12. Какие из полученных дробей равны?

Ответ на задачку



Продолжение решебника по Математике ...

Фото: 5848475.jpg (19.5 Kb) · 3136518.jpg (18.9 Kb) · 1255739.jpg (20.3 Kb) · 4874316.jpg (22.4 Kb) · 5790862.jpg (29.5 Kb)


 
 
Поиск:

Работай из дома! 18+
 
 
 
 
 
 

 
Последние темы на форуме:
 
  • Новогодние праздники 2021-2022 официальные выходные
  • Показатели давления и сердцебиения у женщины 57 лет
  • Гороскоп на декабрь 2021 Женщина Телец
  • Гороскоп на январь 2022 от Павла Глоба
  • Гороскоп на декабрь 2021 от Павла Глоба
  • Гороскоп на ноябрь 2021 от Павла Глоба
  • Стенограмма судьбы - Содержание серий, актеры и роли сериала
  • Мосгаз. Западня - Содержание серий, актеры и роли 2021
  • Тобол - Содержание серий, актеры и роли сериала. 2021
  • Гороскоп для Тигра на сегодня от Павла Глоба
  • Утраченные воспоминания - Содержание серий, актеры и роли
  • Чёрно-белая любовь - Содержание серий, актеры и роли сериала
  • Забытая женщина - Содержание серий, актеры и роли сериала
  • Тайна спящей дамы - Содержание серий, актеры и роли сериала
  • Сериал Часы с кукушкой - Содержание серий, актеры и роли
  •  
     

     
    Обращаем ваше внимание на то, что данный интернет-сайт www.kinolog.do.am носит исключительно информационный характер и ни при каких условиях не является публичной офертой, определяемой положениями Статьи 437 (2) Гражданского кодекса РФ. Цена и наличие товара может отличаться от действительной. Пожалуйста, уточняйте цены и наличие товара у наших менеджеров.
    Администрация сайта не несет ответственности за действия и содержание размещаемой информации пользователей: комментарии, материалы, сообщения и темы на форуме, публикации, объявления и т.д.
    Правообладателям | Реклама | Учебники | Политика
    Отопление, водоснабжение, газоснабжение, канализация © 2003 - 2021
    Рейтинг@Mail.ru Рейтинг арматурных сайтов. ARMTORG.RU Яндекс.Метрика