[ Новые сообщения · Участники · Правила форума · Поиск · RSS ]
 
Работай из дома! 18+

ГДЗ по Математике. 6 класс
KADETДата: Вторник, 23.12.2014, 11:26 | Сообщение # 46
Генерал-майор
Группа: Проверенные
Сообщений: 337
Награды: 0
Репутация: 0
Статус: Offline


 
Работай из дома! 18+
 
 




Задача № 221

Какое натуральное число надо записать вместо буквы, чтобы было верным равенство:

Ответ на задание



Задача № 222

Вычислите устно:

Ответы на задание



Задача № 223

Какое число надо умножить на 3, чтобы получить: 3,3; 33,3; 6,6; 6,66; 0,99; 0,999?

Ответ на задачу



Задача № 224

Найдите значение выражения:

Ответ на задание и решение



Задача № 225

На координатном луче (рис. 11) отмечены числа а и 3. Кратно ли число а трем? Отметьте на луче два общих кратных чисел а и 3.

Ответ на задачку

Фото: 1964286.jpg (18.0 Kb) · 1416347.jpg (18.8 Kb) · 5006052.jpg (18.3 Kb) · 9076656.jpg (22.2 Kb) · 8647252.jpg (22.7 Kb)


 
 
KADETДата: Вторник, 23.12.2014, 11:30 | Сообщение # 47
Генерал-майор
Группа: Проверенные
Сообщений: 337
Награды: 0
Репутация: 0
Статус: Offline


 
Работай из дома! 18+
 
 


Задача № 226

Найдите, использовав рисунок 12, координаты точек А, В, С и D. Есть ли среди этих точек такие, координаты которых — общие кратные чисел m и n?

Ответ на задание



Задача № 227

На сколько процентов увеличится площадь прямоугольника, если его Длину увеличить на 30%, а ширину — на 20%?

Ответы на задание



Задача № 228

Составьте программу вычисления на микрокалькуляторе значения выражения:

Ответ на задачу



Задача № 229

Найдите методом «решета Эратосфена» все простые числа среди первых ста натуральных чисел.

Ответ на задание и решение



Задача № 230

Разложите на простые множители числа:

Ответ на задачку

Фото: 0296754.jpg (19.4 Kb) · 2266396.jpg (31.0 Kb) · 5683089.jpg (22.7 Kb) · 6369844.jpg (18.2 Kb) · 8394800.jpg (20.8 Kb)
 
 
KADETДата: Вторник, 23.12.2014, 11:33 | Сообщение # 48
Генерал-майор
Группа: Проверенные
Сообщений: 337
Награды: 0
Репутация: 0
Статус: Offline


 
Работай из дома! 18+
 
 


Задача № 231

Найдите наибольший общий делитель и наименьшее общее кратное чисел: 1) 2450 и 3500; 2) 792 и 2178.

Ответ на задание



Задача № 232

Из двенадцати лучших бегунов шестого класса нужно отобрать четверых для участия в эстафете. Сколькими способами можно составить такую команду?

Сколькими способами четыре члена команды могут распределить между собой этапы эстафеты?

Ответы на задание



Задача № 233

Решите задачу:

1) Школьники во время каникул совершили велосипедный поход. Весь путь составил 79,2 км. Первые 48,6 км они двигались со скоростью 12,15 км/ч и сделали привал на 2,5 ч, а потом ехали со скоростью 15,3 км/ч. Сколько времени они были в походе?

2) Отряд партизан, выполняя боевое задание, прошел 32,4 км. Первые 4,5 ч они шли по дороге со скоростью 5,2 км/ч и сделали привал на 1,6 ч, а остальное время они шли по болотистой местности со скоростью 2,5 км/ч. Сколько времени партизаны затратили на весь переход?

Ответ на задачу



Задача № 234

Составьте задачу по выражению

Ответ на задание и решение



Задача № 235

Выполните действия

Ответ на задачку

Фото: 5745345.jpg (33.9 Kb) · 7751587.jpg (20.3 Kb) · 6187099.jpg (44.7 Kb) · 6449049.jpg (17.1 Kb) · 9874712.jpg (18.6 Kb)
 
 
KADETДата: Вторник, 23.12.2014, 11:40 | Сообщение # 49
Генерал-майор
Группа: Проверенные
Сообщений: 337
Награды: 0
Репутация: 0
Статус: Offline


 
Работай из дома! 18+
 
 


Задача № 236

Выполните действия с помощью микрокалькулятора и округлите ответ до сотых:

а) 2,835:0,225 • 4,537 — 32,929;
б) (4,976+15,2473) • 2,14-5,0784.

Ответ на задание



Задача № 237

Разделите числитель и знаменатель каждой из дробей . Напишите соответствующие равенства.

Ответы на задание



Задача № 238

Начертите координатный луч, приняв за единичный отрезок длину 12 клеток тетради. Отметьте на луче точки с координатами:

Какие из этих чисел являются координатами одной и той же точки?

Ответ на задачу



Задача № 239

Сколько:

а) шестых долей содержится в

б) пятнадцатых долей содержится в

Ответ на задание и решение



Задача № 240

Найдите наибольший общий делитель и наименьшее общее кратное чисел:

а) 18 и 36;
б) 33 и 44;
в) 378 и 441;
г) 11 340 и 37 800.

Ответ на задачку

Фото: 8435233.jpg (33.8 Kb) · 5232768.jpg (29.7 Kb) · 3634483.jpg (27.8 Kb) · 0385962.jpg (29.4 Kb) · 8746692.jpg (44.8 Kb)
 
 
KADETДата: Вторник, 23.12.2014, 11:47 | Сообщение # 50
Генерал-майор
Группа: Проверенные
Сообщений: 337
Награды: 0
Репутация: 0
Статус: Offline


 
Работай из дома! 18+
 
 


Задача № 241

Решите уравнение:

а) 2,45 • (m—8,8)=4,41;
б) 7,54k-3,6k = 5,91.

Ответ на задание



Задача № 242

Сократите дроби:

Ответы на задание



Задача № 243

Сократите дроби:

Ответ на задачу



Задача № 244

Сократите дроби:

Ответ на задание и решение



Задача № 245

Представьте в виде обыкновенной несократимой дроби: 0,2; 0,8; 0,5; 0,15; 0,24; 0,35; 0,75; 0,05; 0,125; 0,025; 0,008; 0,375.

Ответ на задачку

Фото: 6971938.jpg (23.3 Kb) · 2251930.jpg (18.6 Kb) · 6835136.jpg (31.7 Kb) · 9558262.jpg (18.7 Kb) · 3972751.jpg (48.0 Kb)
 
 
KADETДата: Вторник, 23.12.2014, 12:05 | Сообщение # 51
Генерал-майор
Группа: Проверенные
Сообщений: 337
Награды: 0
Репутация: 0
Статус: Offline


 
Работай из дома! 18+
 
 


Задача № 246

Какую часть часа составляют 45 мин, 12 мин, 15 мин, 40 мин, 35 мин?

Ответ на задание



Задача № 247

Какую часть развернутого угла составляют 30°, 45°, 60°, 90°, 120°, 135°, 150°?

Ответы на задание

$IMAGE2$

Задача № 248

Какую часть килограмма составляют 125 г, 250 г, 750 г?

Ответ на задачу

$IMAGE3$

Задача № 249

Выполните действие:

Ответ на задание и решение

$IMAGE4$

Задача № 250

Один рабочий изготовил 16 одинаковых деталей за 6 ч, а другой 24 такие же детали за 15 ч. Какой из них тратил на изготовление одной детали больше времени и на сколько?

Ответ на задачку

Фото: 2819366.jpg (24.4 Kb) · 5693190.jpg (32.6 Kb)
 
 
KADETДата: Вторник, 23.12.2014, 12:07 | Сообщение # 52
Генерал-майор
Группа: Проверенные
Сообщений: 337
Награды: 0
Репутация: 0
Статус: Offline


 
Работай из дома! 18+
 
 


Задача № 251

Из 20 м ткани сшили 8 одинаковых платьев для взрослых, а из 12 м сшили 8 детских платьев. Сколько метров ткани пошло на одно детское платье и сколько на одно платье для взрослых?

Ответ на задание



Задача № 252

Применив распределительный закон, представьте числитель дроби в виде произведения, а затем сократите:

Ответы на задание



Задача № 253

Вычислите устно:

Ответ на задачу



Задача № 254

Ответ на задание и решение



Задача № 255

Найдите среди чисел 1, 3, 10, 12, 13, 15, 16, 39 пары взаимно простых чисел.

Ответ на задачку

Фото: 5661064.jpg (21.1 Kb) · 4274457.jpg (29.2 Kb) · 3106717.jpg (18.3 Kb) · 6820025.jpg (29.5 Kb) · 6129828.jpg (22.7 Kb)
 
 
KADETДата: Вторник, 23.12.2014, 12:09 | Сообщение # 53
Генерал-майор
Группа: Проверенные
Сообщений: 337
Награды: 0
Репутация: 0
Статус: Offline


 
Работай из дома! 18+
 
 


Задача № 256

Найдите равные среди чисел:

Ответ на задание



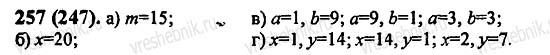
Задача № 257

При каких натуральных значениях буквы равны дроби:

Ответы на задание



Задача № 258

В бригаде 5 рабочих. Зарплата первого рабочего увеличилась на 10%, второго — на 20%, третьего — на 30%, а у четвертого и пятого осталась прежней. На сколько процентов в среднем выросла зарплата рабочего этой бригады, если раньше все они имели одинаковую зарплату?

Ответ на задачу



Задача № 259

Древнегреческих, а также древнеиндийских математиков интересовали числа, которые соответствовали количеству точек, расположенных в виде некоторой геометрической фигуры — треугольника, квадрата и др. Такие числа называли фигурными. Например, число 10 называли треугольным, число 16 — квадратным (рис. 13).

Такое представление помогало древним ученым изучать свойства чисел. Используя рисунок 13, попробуйте найти еще несколько треугольных и квадратных чисел. Какими свойствами обладают эти числа? Подумайте, как можно находить треугольные и квадратные числа, используя ряд натуральных чисел.

Ответ на задание и решение



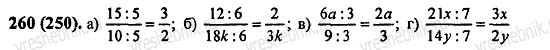
Задача № 260

Разделите числитель и знаменатель дроби:

Ответ на задачку

Фото: 4104870.jpg (18.5 Kb) · 3539748.jpg (19.5 Kb) · 2207856.jpg (28.4 Kb) · 3093478.jpg (37.1 Kb) · 6076998.jpg (19.5 Kb)
 
 
KADETДата: Вторник, 23.12.2014, 12:12 | Сообщение # 54
Генерал-майор
Группа: Проверенные
Сообщений: 337
Награды: 0
Репутация: 0
Статус: Offline


 
Работай из дома! 18+
 
 


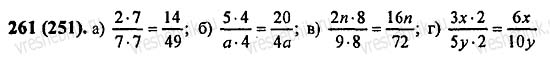
Задача № 261

Умножьте числитель и знаменатель дроби:

Ответ на задание



Задача № 262

Сколько пятизначных чисел можно составить из четных цифр, если цифры в записи числа не повторяются?

Ответы на задание



Задача № 263

Собственная скорость катера 12,8 км/ч. Скорость течения реки 1,7 км/ч. Найдите скорость катера по течению и против течения.

Ответ на задачу



Задача № 264

Скорость движения теплохода по течению реки 22,7 км/ч. Скорость течения 1,9 км/ч. Найдите собственную скорость теплохода и его скорость против течения.

Ответ на задание и решение



Задача № 265

Бригада изготовила за 3 дня 6000 деталей при плане 5100 деталей. Причем в первый день была изготовлена треть всех выпущенных деталей, а во второй день 2/5 плана. Сколько деталей изготовила бригада в третий день?

Ответ на задачку

Фото: 5063156.jpg (19.4 Kb) · 8171797.jpg (37.6 Kb) · 3254185.jpg (22.7 Kb) · 6834244.jpg (19.0 Kb) · 6911940.jpg (22.2 Kb)
 
 
KADETДата: Вторник, 23.12.2014, 12:14 | Сообщение # 55
Генерал-майор
Группа: Проверенные
Сообщений: 337
Награды: 0
Репутация: 0
Статус: Offline


 
Работай из дома! 18+
 
 


Задача № 266

Найдите значение выражения:

Ответ на задание



Задача № 267

Решите задачу:

1) Путешественник проплыл против течения реки на моторной лодке 3 ч. Обратно он вернулся на плоту. Сколько времени путешественник затратил на обратный путь, если собственная скорость лодки 24 км/ч, а скорость течения 3 км/ч?

2) Путешественник проплыл по реке на плоту 75 км за 25 ч. Обратно он вернулся на моторной лодке, собственная скорость которой 28 км/ч. Сколько времени затратил путешественник на обратный путь?

Ответы на задание



Задача № 268


Ответ на задачу



Задача № 269

Ответ на задание и решение



Задача № 270

Представьте в виде обыкновенной несократимой дроби следующие десятичные дроби: 0,875; 0,75; 0,035.

Ответ на задачку

Фото: 4608244.jpg (29.0 Kb) · 4129550.jpg (35.6 Kb) · 2327536.jpg (24.4 Kb) · 4496473.jpg (21.5 Kb) · 3607060.jpg (18.9 Kb)
 
 
KADETДата: Вторник, 23.12.2014, 12:16 | Сообщение # 56
Генерал-майор
Группа: Проверенные
Сообщений: 337
Награды: 0
Репутация: 0
Статус: Offline


 
Работай из дома! 18+
 
 


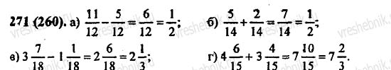
Задача № 271

Выполните действие и сократите результат:

Ответ на задание



Задача № 272

Ответы на задание



Задача № 273

В четырех больших и трех маленьких коробках с цветными карандашами всего 132 карандаша. в двух больших и трех маленьких таких же коробках всего 84 карандаша.

Сколько карандашей в одной маленькой коробке?

Ответ на задачу



Задача № 274

Выполните действия:

Ответ на задание и решение



Задача № 275

Приведите дробь:

Ответ на задачку

Фото: 0275624.jpg (25.9 Kb) · 6076250.jpg (29.7 Kb) · 0145822.jpg (23.3 Kb) · 9877536.jpg (22.2 Kb) · 2670227.jpg (24.6 Kb)
 
 
KADETДата: Вторник, 23.12.2014, 12:19 | Сообщение # 57
Генерал-майор
Группа: Проверенные
Сообщений: 337
Награды: 0
Репутация: 0
Статус: Offline


 
Работай из дома! 18+
 
 


Задача № 276

Выразите в минутах, а потом в шестидесятых долях часа:

Ответ на задание



Задача № 277

Сколько содержится:

Ответы на задание



Задача № 278

Сократите дроби а потом приведите их к знаменателю 24.

Ответ на задачу



Задача № 279

Можно ли привести к знаменателю 36 дроби:

Ответ на задание и решение



Задача № 280

Можно ли представить в виде десятичной дроби:

Ответ на задачку

Фото: 1478942.jpg (30.8 Kb) · 3375004.jpg (26.8 Kb) · 4941201.jpg (26.1 Kb) · 5100852.jpg (28.5 Kb) · 1632869.jpg (34.4 Kb)
 
 
KADETДата: Вторник, 23.12.2014, 12:24 | Сообщение # 58
Генерал-майор
Группа: Проверенные
Сообщений: 337
Награды: 0
Репутация: 0
Статус: Offline


 
Работай из дома! 18+
 
 


Задача № 281

Запишите в виде десятичной дроби, приведя:

Ответ на задание



Задача № 282

Запишите в виде десятичной дроби:

Ответы на задание



Задача № 283

Приведите к наименьшему общему знаменателю дроби:

Ответ на задачу



Задача № 284

Вычислите устно:

Ответ на задание и решение



Задача № 285

Найдите пропущенные цифры, если Х равен

Ответ на задачку

Фото: 8361869.jpg (39.7 Kb) · 2821524.jpg (27.5 Kb) · 6602481.jpg (52.0 Kb) · 9677005.jpg (19.2 Kb) · 5732278.jpg (67.9 Kb)
 
 
KADETДата: Вторник, 23.12.2014, 12:27 | Сообщение # 59
Генерал-майор
Группа: Проверенные
Сообщений: 337
Награды: 0
Репутация: 0
Статус: Offline


 
Работай из дома! 18+
 
 


Задача № 286

На какое число надо умножить 24; 8; 16; 6; 12, чтобы получить 48?

Ответ на задание



Задача № 287

С помощью транспортира разделите одну окружность на 6, а другую на 3 равные дуги. Постройте многоугольники, изображенные на рисунке 14. У каждого из этик многоугольников равны стороны и равны углы. Такие многоугольники называют правильными.

Подумайте, является ли правильным многоугольником прямоугольник; квадрат.

Ответы на задание



Задача № 288

Сократите дроби

Ответ на задачу



Задача № 289

Найдите наибольший общий делитель числителя и знаменателя и сократите дробь:

Ответ на задание и решение



Задача № 290

При каком значении X верно равенство:

Ответ на задачку

Фото: 5470585.jpg (17.9 Kb) · 5941584.jpg (24.2 Kb) · 3788664.jpg (23.1 Kb) · 9084142.jpg (41.7 Kb) · 0659301.jpg (25.1 Kb)
 
 
KADETДата: Вторник, 23.12.2014, 12:30 | Сообщение # 60
Генерал-майор
Группа: Проверенные
Сообщений: 337
Награды: 0
Репутация: 0
Статус: Offline


 
Работай из дома! 18+
 
 


Задача № 291

Жук ползет вверх по стволу дерева (рис. 15) со скоростью 6 см/с. По тому же дереву ползет вниз гусеница. Сейчас она находится на 60 см ниже жука. С какой скоростью ползет гусеница, если через 5 с расстояние между ней и жуком будет 100 см?

Ответ на задание



Задача № 292

Космический корабль «Вега-1» двигался к комете Галлея со скоростью 34 км/с, а сама комета двигалась ему навстречу со скоростью 46 км/с. Какое расстояние было между ними за 15 мин до встречи?

Ответы на задание



Задача № 293

Сколько четных пятизначных чисел можно составить из цифр 0, 3, 5, 6, 8? Есть ли среди них числа, кратные трем? Кратные девяти?

Ответ на задачу



Задача № 294

Сократите:

Ответ на задание и решение



Задача № 295

Найдите значение выражений:

Ответ на задачку




Продолжение решебника по Математике ...

Фото: 5902050.jpg (25.8 Kb) · 5097017.jpg (29.6 Kb) · 4688046.jpg (38.5 Kb) · 3924642.jpg (27.4 Kb) · 1745254.jpg (24.7 Kb)


 
 
Поиск:

Работай из дома! 18+
 
 
 
 
 
 

 
Последние темы на форуме:
 
  • Новогодние праздники 2021-2022 официальные выходные
  • Показатели давления и сердцебиения у женщины 57 лет
  • Гороскоп на декабрь 2021 Женщина Телец
  • Гороскоп на январь 2022 от Павла Глоба
  • Гороскоп на декабрь 2021 от Павла Глоба
  • Гороскоп на ноябрь 2021 от Павла Глоба
  • Стенограмма судьбы - Содержание серий, актеры и роли сериала
  • Мосгаз. Западня - Содержание серий, актеры и роли 2021
  • Тобол - Содержание серий, актеры и роли сериала. 2021
  • Гороскоп для Тигра на сегодня от Павла Глоба
  • Утраченные воспоминания - Содержание серий, актеры и роли
  • Чёрно-белая любовь - Содержание серий, актеры и роли сериала
  • Забытая женщина - Содержание серий, актеры и роли сериала
  • Тайна спящей дамы - Содержание серий, актеры и роли сериала
  • Сериал Часы с кукушкой - Содержание серий, актеры и роли
  •  
     

     
    Обращаем ваше внимание на то, что данный интернет-сайт www.kinolog.do.am носит исключительно информационный характер и ни при каких условиях не является публичной офертой, определяемой положениями Статьи 437 (2) Гражданского кодекса РФ. Цена и наличие товара может отличаться от действительной. Пожалуйста, уточняйте цены и наличие товара у наших менеджеров.
    Администрация сайта не несет ответственности за действия и содержание размещаемой информации пользователей: комментарии, материалы, сообщения и темы на форуме, публикации, объявления и т.д.
    Правообладателям | Реклама | Учебники | Политика
    Отопление, водоснабжение, газоснабжение, канализация © 2003 - 2021
    Рейтинг@Mail.ru Рейтинг арматурных сайтов. ARMTORG.RU Яндекс.Метрика