[ Новые сообщения · Участники · Правила форума · Поиск · RSS ]
 
Работай из дома! 18+

ГДЗ по Математике. 6 класс
KADETДата: Вторник, 23.12.2014, 12:33 | Сообщение # 61
Генерал-майор
Группа: Проверенные
Сообщений: 337
Награды: 0
Репутация: 0
Статус: Offline


 
Работай из дома! 18+
 
 




Задача № 296

Выполните действие и проверьте ваше вычисление с помощью калькулятора

Ответ на задание



Задача № 297

Приведите дробь

Ответы на задание



Задача № 298

Представьте в виде десятичной дроби

Ответ на задачу



Задача № 299

Сократите дроби, а потом приведите их к знаменателю 60.

Ответ на задание и решение



Задача № 300

Приведите дроби к наименьшему общему знаменателю:

Ответ на задачку

Фото: 7576113.jpg (32.4 Kb) · 9406139.jpg (19.4 Kb) · 5116987.jpg (22.1 Kb) · 8285780.jpg (28.7 Kb) · 2716433.jpg (85.2 Kb)


 
 
KADETДата: Вторник, 23.12.2014, 13:01 | Сообщение # 62
Генерал-майор
Группа: Проверенные
Сообщений: 337
Награды: 0
Репутация: 0
Статус: Offline


 
Работай из дома! 18+
 
 


Задача № 301

Из двух пунктов, расстояние между которыми 40 км, навстречу друг другу одновременно отправились пешеход и велосипедист. Скорость велосипедиста в 4 раза больше скорости пешехода. Найдите скорости пешехода и велосипедиста, если известно, что они встретились через 2,5 ч после своего выхода.

Ответ на задание



Задача № 302

Из двух пунктов, расстояние между которыми 210 км, вышли одновременно навстречу друг другу два электропоезда. Скорость одного из них на 5 км/ч больше скорости другого. Найдите скорость каждого электропоезда, если они встретились через 2 ч после своего выхода.

Ответы на задание



Задача № 303

Выполните действия

Ответ на задачу



Задача № 304

Сравните дроби

Ответ на задание и решение



Задача № 305

Что меньше?

Ответ на задачку

Фото: 2084062.jpg (33.3 Kb) · 0726526.jpg (36.3 Kb) · 2716881.jpg (32.6 Kb) · 4214431.jpg (48.9 Kb) · 8247090.jpg (28.7 Kb)
 
 
KADETДата: Вторник, 23.12.2014, 13:08 | Сообщение # 63
Генерал-майор
Группа: Проверенные
Сообщений: 337
Награды: 0
Репутация: 0
Статус: Offline


 
Работай из дома! 18+
 
 


Задача № 306

Ответ на задание



Задача № 307

Ответы на задание



Задача № 308


Ответ на задачу



Задача № 309

Объясните, не приводя дроби к общему знаменателю, почему. Сформулируйте правило сравнения двух дробей с одинаковыми числителями и разными знаменателями. Используя это правило, сравните:

Ответ на задание и решение



Задача № 310

Запишите все дроби с числителем 2, большие, чем 2/9.

Ответ на задачку

Фото: 7941621.jpg (30.8 Kb) · 1436835.jpg (29.3 Kb) · 7789455.jpg (49.6 Kb) · 6620667.jpg (24.9 Kb) · 4146894.jpg (20.2 Kb)
 
 
KADETДата: Вторник, 23.12.2014, 13:11 | Сообщение # 64
Генерал-майор
Группа: Проверенные
Сообщений: 337
Награды: 0
Репутация: 0
Статус: Offline


 
Работай из дома! 18+
 
 


Задача № 311

Сравните промежутки времени двумя способами:

1) выразив их в минутах;
2) приведя дроби к наименьшему общему знаменателю:

Ответ на задание



Задача № 312

Запишите все дроби со знаменателем 5, большие, чем 1/5 и менmшие чем 6/5 Отметьте эти дроби на координатном луче.

Ответы на задание



Задача № 313

Рисунки занимают 2/11 книги, а таблицы 3/22 книги. Что занимает больше места в книге: рисунки или таблицы?

Ответ на задачу



Задача № 314

20 шагов папы составляют 16 м, а 10 моих шагов 7 м. Чей шаг короче?

Ответ на задание и решение



Задача № 315

Через узкую трубу бассейн наполняется за 10 ч, а через широкую — за 4 ч. Какая труба дает меньше воды: широкая за 3 ч или узкая за 7 ч?

Ответ на задачку

Фото: 7908189.jpg (63.8 Kb) · 3294444.jpg (20.0 Kb) · 1820879.jpg (28.6 Kb) · 2164971.jpg (18.0 Kb) · 4488124.jpg (42.7 Kb)
 
 
KADETДата: Вторник, 23.12.2014, 13:16 | Сообщение # 65
Генерал-майор
Группа: Проверенные
Сообщений: 337
Награды: 0
Репутация: 0
Статус: Offline


 
Работай из дома! 18+
 
 


Задача № 316

Трехметровое бревно распилили на 7 равных частей, а четырехметровое — на 10. Части какого бревна длиннее?

Ответ на задание



Задача № 317

Миша, Юра и Нина решали в классе одну и ту же задачу. Один из них затратил на решение 1/5 урока, другой 2/9 урока, а третий 4/15 урока. Какую часть урока затратил на эту задачу каждый из них, если известно, что Нина решила задачу быстрее Миши, а Юра быстрее Нины?

Ответы на задание



Задача № 318

Начертите координатный луч, приняв за единичный отрезок отрезок, длиной в 18 клеток тетради. Отметьте на этом луче точку A(1/3) Отложите вправо от точки А отрезок АС, равный 5/18 единичного отрезка. Найдите координату точки С. Отложите от точки С влево отрезок CD, равный 7/18 единичного отрезка. Найдите координату точки D. Как можно найти координаты точек С и Д не выполняя построений?

Ответ на задачу



Задача № 319

Выполните действие

Ответ на задание и решение



Задача № 320

На координатном луче омечены точки А и В. Отметьте на луче точку с координатами:

Ответ на задачку

Фото: 0035969.jpg (30.8 Kb) · 5590487.jpg (28.8 Kb) · 5447954.jpg (27.9 Kb) · 9761655.jpg (50.7 Kb) · 7756925.jpg (24.9 Kb)
 
 
KADETДата: Вторник, 23.12.2014, 13:25 | Сообщение # 66
Генерал-майор
Группа: Проверенные
Сообщений: 337
Награды: 0
Репутация: 0
Статус: Offline


 
Работай из дома! 18+
 
 


Задача № 321

Найдите значение выражений

Ответ на задание



Задача № 322

Замените десятичную дробь обыкновенной и выполните действие

Ответы на задание



Задача № 323

Замените десятичную дробь обыкновенной и выполните действие

Ответ на задачу



Задача № 324

Выполните действие сначала в десятичных дробях , а затем в обыкновенных

Ответ на задание и решение



Задача № 325

Выполните действие:

Ответ на задачку

Фото: 8640023.jpg (65.1 Kb) · 5021371.jpg (46.4 Kb) · 2725431.jpg (16.9 Kb) · 2936329.jpg (44.5 Kb) · 4965398.jpg (27.9 Kb)
 
 
KADETДата: Вторник, 23.12.2014, 13:28 | Сообщение # 67
Генерал-майор
Группа: Проверенные
Сообщений: 337
Награды: 0
Репутация: 0
Статус: Offline


 
Работай из дома! 18+
 
 


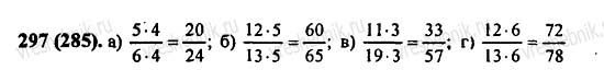
Задача № 326

Выполните действие

Ответ на задание



Задача № 327

Найдите значение выражений

Ответы на задание



Задача № 328

Решите уравнение

Ответ на задачу



Задача № 329

Найдите значение выражений

Ответ на задание и решение



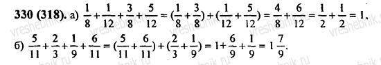
Задача № 330

Найдите значение выражений

Ответ на задачку

Фото: 2493988.jpg (26.9 Kb) · 1546097.jpg (74.4 Kb) · 7292149.jpg (42.1 Kb) · 5915260.jpg (40.9 Kb) · 1881576.jpg (25.8 Kb)
 
 
KADETДата: Вторник, 23.12.2014, 13:30 | Сообщение # 68
Генерал-майор
Группа: Проверенные
Сообщений: 337
Награды: 0
Репутация: 0
Статус: Offline


 
Работай из дома! 18+
 
 


Задача № 331

Использовав свойство вычитания числа из суммы, найдите значение выражения:

Ответ на задание



Задача № 332

Использовав свойство вычитания суммы из числа, найдите значение выражения:

Ответы на задание



Задача № 333


Ответ на задачу



Задача № 334

Ответ на задание и решение



Задача № 335

Петя играл в футбол 9/10 ч, а в волейбол 8/15 ч. Что больше заняло времени: игра в футбол или игра в волейбол — и на сколько?

Сколько времени затратил Петя на обе игры?

Ответ на задачку

Фото: 6766778.jpg (26.6 Kb) · 7901258.jpg (26.0 Kb) · 1895025.jpg (43.9 Kb) · 6498344.jpg (37.1 Kb) · 8343882.jpg (34.6 Kb)
 
 
KADETДата: Вторник, 23.12.2014, 13:32 | Сообщение # 69
Генерал-майор
Группа: Проверенные
Сообщений: 337
Награды: 0
Репутация: 0
Статус: Offline


 
Работай из дома! 18+
 
 


Задача № 336

Тракторист вспахал в первый час 1/6 поля, во второй час 1/5 поля и в третий час 1/4 поля. Какую часть поля вспахал тракторист за эти 3 ч?

Ответ на задание



Задача № 337

В первый день асфальтом покрыли 3/20 км дороги, а во второй день 1/5 на км больше, чем в первый день. Сколько километров дороги покрыли асфальтом за эти два дня?

Ответы на задание



Задача № 338

Длина прямоугольника 3/4 м, а ширина на 5/8 м меньше длины. Найдите ширину прямоугольника и его периметр.

Ответ на задачу



Задача № 339

В палатку привезли 11/20 т моркови и 17/50 т свеклы. К вечеру продали 14/25 т привезенных овощей. Сколько тонн овощей осталось?

Ответ на задание и решение



Задача № 340

За первый месяц завод выполнил 1/8 годового плана, а за второй — на 1/24 годового плана меньше.

Какую часть годового плана выполнил завод за два месяца?

Ответ на задачку

Фото: 0183948.jpg (18.4 Kb) · 3788807.jpg (22.0 Kb) · 0673169.jpg (21.2 Kb) · 9724948.jpg (24.2 Kb) · 6441492.jpg (26.1 Kb)
 
 
KADETДата: Вторник, 23.12.2014, 13:34 | Сообщение # 70
Генерал-майор
Группа: Проверенные
Сообщений: 337
Награды: 0
Репутация: 0
Статус: Offline


 
Работай из дома! 18+
 
 


Задача № 341

При посадке овощей после одного дня работы остались незамеченными 3/4 га поля. Какая площадь осталась бы незасаженной, если бы в этот день овощи высадили на площади, большей на 7/20 га?

Ответ на задание



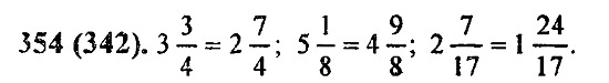
Задача № 342

Два поезда вышли одновременно из двух городов навстречу друг другу. Каждый час они приближаются друг к другу на 5/12 всего расстояния между городами. Какую часть расстояния между городами проходил за час один из них, если другой проходил за час 1/4 этого расстояния?

Ответы на задание



Задача № 343

Из села в город одновременно вышли две автомашины: грузовая и легковая. Каждый час грузовая автомашина отставала от легковой на 2/15 всего расстояния от села до города. Какую часть этого расстояния проходила грузовая автомашина за 1 ч, если легковая за 1 ч проходила 1/3 этого расстояния?

Ответ на задачу



Задача № 344

Один комбайн может убрать все поле за 6 дней, а другой — за 4 дня. Какую часть поля уберут оба комбайна за один день?

Ответ на задание и решение



Задача № 345

Один мотор израсходует полный бак бензина за 18 ч, а другой — за 12 ч. Какую часть полного бака израсходуют оба мотора, если первый будет работать 5 ч, а второй 7 ч?

Ответ на задачку

Фото: 1781344.jpg (19.8 Kb) · 9946170.jpg (23.8 Kb) · 7030763.jpg (18.4 Kb) · 0331331.jpg (23.0 Kb) · 3847314.jpg (33.6 Kb)
 
 
KADETДата: Вторник, 23.12.2014, 13:49 | Сообщение # 71
Генерал-майор
Группа: Проверенные
Сообщений: 337
Награды: 0
Репутация: 0
Статус: Offline


 
Работай из дома! 18+
 
 


Задача № 346

Вычислите устно

Ответ на задание



Задача № 347

Найдите пропущенные числа:

Ответы на задание



Задача № 348


Ответ на задачу



Задача № 349

Значение какого выражения можно вычислить на микрокалькуляторе по программе:

Ответ на задание и решение



Задача № 350

Дружественные числа

Ответ на задачку

Фото: 8497987.jpg (18.1 Kb) · 6197070.jpg (31.8 Kb) · 9198773.jpg (28.3 Kb) · 0167379.jpg (15.3 Kb) · 1078553.jpg (22.7 Kb)
 
 
KADETДата: Вторник, 23.12.2014, 13:56 | Сообщение # 72
Генерал-майор
Группа: Проверенные
Сообщений: 337
Награды: 0
Репутация: 0
Статус: Offline


 
Работай из дома! 18+
 
 


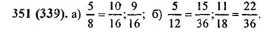
Задача № 351

Приведите к наименьшему общему знаменателю дроби:

Ответ на задание



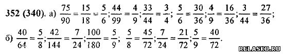
Задача № 352

Сократите , а потом приведите к наименьшему общему знаменателю дроби:

Ответы на задание



Задача № 353

Запишите числа так, что бы их дробная часть была правильной дробью

Ответ на задачу



Задача № 354

Запишите в виде неправильной дроби дробную часть чисел, уменьшив целую часть на один

Ответ на задание и решение



Задача № 355

В среду в шестом классе пять уроков по разным предметам: русскому языку, истории, математике, географии и физкультуре. Сколько вариантов расписания на среду можно составить для этого класса?

Ответ на задачку

Фото: 3471472.jpg (21.1 Kb) · 7073457.jpg (30.6 Kb) · 9784523.jpg (25.0 Kb) · 8305645.jpg (20.3 Kb) · 4023057.jpg (17.0 Kb)
 
 
KADETДата: Вторник, 23.12.2014, 14:01 | Сообщение # 73
Генерал-майор
Группа: Проверенные
Сообщений: 337
Награды: 0
Репутация: 0
Статус: Offline


 
Работай из дома! 18+
 
 


Задача № 356

Решите задачу:

1) Из аэропорта вылетел самолет со скоростью 600 км/ч. Через 0,5 ч вслед за ним вылетел другой самолет со скоростью 750 км/ч. Через сколько часов второй самолет после своего вылета будет впереди на 226 км?

2) С автовокзала вышел автобус со скоростью 60 км/ч. Через 0,6 ч вслед за ним вышла легковая автомашина со скоростью 75 км/ч. Через сколько часов после своего выезда легковая автомашина будет впереди автобуса на 45 км?

Ответ на задание



Задача № 357

Решите задачу:

1) Пес бросился догонять своего хозяина, когда тот отошел от него на 1,8 км, и догнал его через 3 мин. С какой скоростью шел хозяин, если пес бежал со скоростью 0,7 км/мин?

2) Служебная собака бросилась догонять нарушителя границы, когда между ними было 1,8 км. С какой скоростью бежал нарушитель, если скорость собаки 19 км/ч и она догнала его через 0,2 ч?

Ответы на задание



Задача № 358

Выполните действие и проверьте действие на микрокалькуляторе

Ответ на задачу



Задача № 359

Сравните дроби

Ответ на задание и решение



Задача № 360

Выполните действие

Ответ на задачку

Фото: 9847966.jpg (77.0 Kb) · 5977196.jpg (20.2 Kb) · 1049533.jpg (27.5 Kb) · 8298088.jpg (67.3 Kb) · 8094766.jpg (71.5 Kb)
 
 
KADETДата: Вторник, 23.12.2014, 14:03 | Сообщение # 74
Генерал-майор
Группа: Проверенные
Сообщений: 337
Награды: 0
Репутация: 0
Статус: Offline


 
Работай из дома! 18+
 
 


Задача № 361

Один трактор может вспахать поле за 14 ч, а другой тот же участок за 8 ч. Какой трактор больше вспашет: первый за 7 ч или второй за 5 ч?

Ответ на задание



Задача № 362

Автобус проходит расстояние от города до деревни за 8 ч, а легковая автомашина — за 6 ч. Кто из них пройдет большее расстояние: автобус за б ч или легковая автомашина за 4 ч?

Ответы на задание



Задача № 363

Слесарь может выполнить задание за 6 ч, а его ученик это же задание за 8 ч. Какую часть задания они могут выполнить вместе за 1 ч?

Ответ на задачу



Задача № 364

Из пунктов А я В одновременно навстречу друг другу вышли два пешехода. Один из них за 1 ч проходит 1/6 расстояния АВ, а другой 1/5 расстояния АВ. На какую часть расстояния АВ они сближаются каждый час?

Ответ на задание и решение



Задача № 365

Периметр треугольника ABC равен 17/20 м. Сторона АВ равна 17/50 м, сторона ВС на 9/50 м короче АВ. Найдите длину стороны АС.

Ответ на задачку

Фото: 2885630.jpg (39.1 Kb) · 0731303.jpg (46.5 Kb) · 8459069.jpg (27.3 Kb) · 9799225.jpg (20.2 Kb) · 2984512.jpg (25.5 Kb)
 
 
KADETДата: Вторник, 23.12.2014, 14:07 | Сообщение # 75
Генерал-майор
Группа: Проверенные
Сообщений: 337
Награды: 0
Репутация: 0
Статус: Offline


 
Работай из дома! 18+
 
 


Задача № 366

В книге три рассказа. Наташа прочла первый рассказ за 1/3 ч, на чтение второго рассказа она потратила на 1/6 ч больше, а чтение третьего рассказа заняло на 7/12 ч меньше, чем чтение первого и второго рассказов вместе.

Сколько времени ушло у Наташи на чтение всей книги?

Ответ на задание



Задача № 367

На решение задачи и уравнения Митя затратил 4/5 ч.

Сколько времени выполняла эту работу Оля, если на решение задачи она затратила на 5/12 ч меньше, а на решение уравнения — на 1/3 ч больше, чем Митя?

Ответы на задание



Задача № 368

Выполните действие

Ответ на задачу



Задача № 369

Выполните действие

Ответ на задание и решение



Задача № 370

Дорога из села в город проходит через рабочий поселок. Из села в город вышла легковая автомашина со скоростью 1,5 км/мин. В то же самое время из рабочего поселка в город вышла грузовая автомашина со скоростью 1 км/мин. Через 20 мин легковая автомашина догнала грузовую. Найдите расстояние от деревни до рабочего поселка.

Ответ на задачку




Продолжение решебника по Математике ...

Фото: 4703394.jpg (43.3 Kb) · 3817411.jpg (27.6 Kb) · 8890890.jpg (43.0 Kb) · 5075429.jpg (32.1 Kb) · 4424174.jpg (26.7 Kb)


 
 
Поиск:

Работай из дома! 18+
 
 
 
 
 
 

 
Последние темы на форуме:
 
  • Новогодние праздники 2021-2022 официальные выходные
  • Показатели давления и сердцебиения у женщины 57 лет
  • Гороскоп на декабрь 2021 Женщина Телец
  • Гороскоп на январь 2022 от Павла Глоба
  • Гороскоп на декабрь 2021 от Павла Глоба
  • Гороскоп на ноябрь 2021 от Павла Глоба
  • Стенограмма судьбы - Содержание серий, актеры и роли сериала
  • Мосгаз. Западня - Содержание серий, актеры и роли 2021
  • Тобол - Содержание серий, актеры и роли сериала. 2021
  • Гороскоп для Тигра на сегодня от Павла Глоба
  • Утраченные воспоминания - Содержание серий, актеры и роли
  • Чёрно-белая любовь - Содержание серий, актеры и роли сериала
  • Забытая женщина - Содержание серий, актеры и роли сериала
  • Тайна спящей дамы - Содержание серий, актеры и роли сериала
  • Сериал Часы с кукушкой - Содержание серий, актеры и роли
  •  
     

     
    Обращаем ваше внимание на то, что данный интернет-сайт www.kinolog.do.am носит исключительно информационный характер и ни при каких условиях не является публичной офертой, определяемой положениями Статьи 437 (2) Гражданского кодекса РФ. Цена и наличие товара может отличаться от действительной. Пожалуйста, уточняйте цены и наличие товара у наших менеджеров.
    Администрация сайта не несет ответственности за действия и содержание размещаемой информации пользователей: комментарии, материалы, сообщения и темы на форуме, публикации, объявления и т.д.
    Правообладателям | Реклама | Учебники | Политика
    Отопление, водоснабжение, газоснабжение, канализация © 2003 - 2021
    Рейтинг@Mail.ru Рейтинг арматурных сайтов. ARMTORG.RU Яндекс.Метрика