[ Новые сообщения · Участники · Правила форума · Поиск · RSS ]
 
Работай из дома! 18+

ГДЗ по Математике. 5 класс
БрошкаДата: Среда, 24.12.2014, 11:04 | Сообщение # 76
Генерал-майор
Группа: Проверенные
Сообщений: 378
Награды: 0
Репутация: 0
Статус: Offline


 
Работай из дома! 18+
 
 




Задача № 376

Решите уравнение и выполните проверку:

а) (х + 15) - 8 - 17; г) (у - 35) + 12 = 32; б) (24 + х) - 21 = 10; д) 56 - (х + 12) = 24; в) (45 - у) + 18 = 58; е) 55 - (х - 15) = 30.

Ответ на задание



Задача № 377

Решите с помощью уравнения задачу: а) Витя задумал число. Если к этому числу прибавить 23 и к полученной сумме прибавить 18, то получится 52. Какое число задумал Витя? б) Маша задумала число. Если к этому числу прибавить 14 и от полученной суммы отнять 12, то получится 75. Какое число задумала Маша? в) В бензобак, где был бензин, перед поездкой долили еще 39 л. Во время поездки было израсходовано 43 л бензина, после чего в бензобаке осталось 27 л. Сколько литров бензина было в бензобаке первоначально? г) В ателье было 60 м ткани. Из нее сшили платья, еще 16 м израсходовали на детские костюмы, после чего осталось 20 м этой ткани. Сколько метров ткани пошло на платья?

Ответы на задание



Задача № 378

Запишите в виде равенства: а) У Вани было х яблок, у Пети — на 8 яблок больше, а у Нины — на 3 яблока меньше, чем у Вани. Вместе у них было 41 яблоко. б) Один токарь выточил у деталей, другой — на 7 деталей больше, чем первый, а третий — на 8 деталей меньше, чем второй. Вместе они сделали 81 деталь. в) У Кости п открыток, у Игоря — на 8 открыток меньше, чем у Кости, а у Наташи — на 15 открыток больше, чем у Кости. У Наташи столько же открыток, сколько у Кости и Игоря вместе. г) В первый сосуд налили т л жидкости, во второй — на 7 л меньше, чем в первый, а в третий сосуд — на 10 л больше, чем во второй. В третьем сосуде оказалось столько жидкости, сколько в первом и втором сосудах вместе.

Ответ на задачу



Задача № 379

Сумма 3986 + 5718 равна 9704. Пользуясь этим, найдите без вычислений значение выражения или корень уравнения: а) 9704 - 3986; г) 3986 + у = 9704; б) 9704 - 5718; д) 9704 - х = 3986; в) х + 5718 = 9704; е) 9704 - v = 5718.

Ответ на задание



Задача № 380

Разность 6877 - 2984 равна 3893. Пользуясь этим, найдите без вычислений значение выражения или решите уравнение: а) 2984 + 3893; в) х - 3893 = 2984; б) 6877 - 3893; г) 6877 - x = 2984.

Ответ на задачку

Фото: 8533037.jpg (51.5 Kb) · 9874068.jpg (36.1 Kb) · 8529603.jpg (21.3 Kb) · 4087991.jpg (25.1 Kb) · 5540326.jpg (21.6 Kb)
 
 
БрошкаДата: Среда, 24.12.2014, 11:07 | Сообщение # 77
Генерал-майор
Группа: Проверенные
Сообщений: 378
Награды: 0
Репутация: 0
Статус: Offline


 
Работай из дома! 18+
 
 


Задача № 381

Вместо звездочек в записи вычислений цепочкой поставьте необходимые числа.

Ответ на задание



Задача № 382

Вычислите устно:

Ответы на задание



Задача № 383

На координатном луче даны точки A(18), B(7), С(31), D(27), E(23), О(0). какие из этих точек: а) левее точки Е и на сколько единичных отрезков; б) правее точки Л и на сколько единичных отрезков; в) расположены между точками В и D?

Ответ на задачу



Задача № 384

Что больше и во сколько раз: а) два часа или сорок минут; б) десять центнеров или две тонны; в) шесть сантиметров или двадцать миллиметров?

Ответ на задание



Задача № 385

В бидоне 24 л молока. Для приготовления завтраков израсходовали четвертую часть молока, а для приготовления обедов — половину оставшегося молока. Сколько литров молока осталось в бидоне?

Ответ на задачку

Фото: 1083199.jpg (25.3 Kb) · 5621746.jpg (23.7 Kb) · 0461897.jpg (33.7 Kb) · 7862645.jpg (19.9 Kb) · 4008755.jpg (28.5 Kb)
 
 
БрошкаДата: Среда, 24.12.2014, 11:10 | Сообщение # 78
Генерал-майор
Группа: Проверенные
Сообщений: 378
Награды: 0
Репутация: 0
Статус: Offline


 
Работай из дома! 18+
 
 


Задача № 386

Найдите пропущенное число:

Ответ на задание



Задача № 387

Вместо некоторых цифр поставлены звездочки. Можно ли сравнить числа: а) 32** и 31**; б) *1** и 8**; в) **** и ***; г)*5*и1**?

Ответы на задание



Задача № 388

Из села Аникеево в село Большово ведут четыре дороги, а из села Большово в село Виноградово — три дороги. Сколькими способами можно добраться из Аникеева в Виноградово через село Большово?

Ответ на задачу

$IMAGE3$

Задача № 389

Попробуйте догадаться, как Карл Гаусс складывал числа от 1 до 100.

Ответ на задание



Задача № 390

Из проволоки длиной 15 м делают обручи длиной 2 м. На сколько обручей хватит проволоки? Можно ли изготовить 4 обруча? 8 обручей?

Ответ на задачку

Фото: 1914983.jpg (31.0 Kb) · 1628564.jpg (19.0 Kb) · 1384315.jpg (20.0 Kb) · 0725387.jpg (17.6 Kb)


 
 
БрошкаДата: Среда, 24.12.2014, 11:15 | Сообщение # 79
Генерал-майор
Группа: Проверенные
Сообщений: 378
Награды: 0
Репутация: 0
Статус: Offline


 
Работай из дома! 18+
 
 


Задача № 391

Вычислите, выбирая удобный порядок выполнения действий: а) 937 - (137 + 793); г) (747 + 896) - 236; б) (654 + 289) - 254; д) (348 + 252) - 299; в) 854 + (249 - 154); е) (227 + 358) - (127 + 258).

Ответ на задание



Задача № 392

На одной грядке посадили 30 кустов клубники, а на другой k кустов. Погибло 6 кустов. Сколько кустов клубники осталось на грядках? Составьте выражение для решения задачи и найдите его значение при k - 26; 35.

Ответы на задание



Задача № 393

Найдите значение выражения, предварительно упростив его: а) (Ь + 179) - 89 при b = 56; 75; б) (839 + с) - 239 при с = 37; 98; в) (256 - х) - 156 при х = 44; 87; г) 238 - (38 + а) при а = 78; 0.

Ответ на задачу



Задача № 394

Найдите значение выражения: 1) 34 • 27 + 1638 : 39; 3) (321 - 267) • (361 - 215) : 219; 2) 32 • 37 - 3293 : 37; 4) (123 + 375) • 24 : (212 - 129).

Ответ на задание



Задача № 395

Решите уравнение: а) 395 + х = 864; в) 300 - у = 206; д) 166 = m- 34; б) z + 213 = 584; г) t - 307 = 308; е) 59 = 81 - k.

Ответ на задачку

Фото: 0235123.jpg (36.5 Kb) · 1367579.jpg (22.5 Kb) · 4170549.jpg (42.8 Kb) · 9067549.jpg (28.1 Kb) · 4560041.jpg (32.4 Kb)
 
 
БрошкаДата: Среда, 24.12.2014, 11:18 | Сообщение # 80
Генерал-майор
Группа: Проверенные
Сообщений: 378
Награды: 0
Репутация: 0
Статус: Offline


 
Работай из дома! 18+
 
 


Задача № 396

Решите уравнение и выполните проверку: а) (х - 87) - 27 = 36; б) 87 - (41 + у) = 22.

Ответ на задание



Задача № 397

Решите с помощью уравнения задачу: а) Продолжительность дня с 7 октября до 19 ноября уменьшилась на 3 ч и стала равной 8 ч. Какой была продолжительность дня 7 октября? б) В пакете было 350 г сахара. Когда в него добавили еще сахару, в нем стало 900 г. Сколько граммов сахару добавили в пакет? в) На первой остановке в пустой автобус вошли несколько человек. На второй остановке вошли 10 человек, а на третьей — вышли 12 человек, после чего в автобусе осталось 17 человек. Сколько человек вошли в автобус на первой остановке?

Ответы на задание



Задача № 398

Мотоциклист едет из города в село, расстояние до которого 120 км. Сколько километров ему осталось проехать, если он уже проехал а км? Составьте выражение и найдите его значение при а = 40; 60; 80.

Ответ на задачу



Задача № 399

Купили дюжину (дюжина — 12) бутылок фруктовой воды, а в обмен сдали 8 пустых бутылок. Сколько денег доплатили? Узнайте, сколько стоит бутылка фруктовой воды и сколько пустая бутылка, и решите задачу.

Ответ на задание



Задача № 400

Имелось 65 л фруктового сока. Из них 20 л дали детям во время завтрака, а остальной сок разлили в трехлитровые банки. Сколько банок для этого потребовалось?

Ответ на задачку

Фото: 8277349.jpg (27.4 Kb) · 6680173.jpg (29.8 Kb) · 7417329.jpg (23.2 Kb) · 9730202.jpg (33.8 Kb) · 9915724.jpg (19.9 Kb)
 
 
БрошкаДата: Среда, 24.12.2014, 11:53 | Сообщение # 81
Генерал-майор
Группа: Проверенные
Сообщений: 378
Награды: 0
Репутация: 0
Статус: Offline


 
Работай из дома! 18+
 
 


Задача № 401

Запишите все трехзначные числа, которые можно записать только с помощью цифр 5, 3 и 0.

Ответ на задание



Задача № 402

Масса 11 ящиков яблок 4 ц 62 кг, а масса 18 ящиков груш 6 ц 12 кг. На сколько килограммов масса одного ящика яблок больше масcы одного ящика груш?

Ответы на задание



Задача № 403

Найдите значение выражения: а) (37 296 : 37 - 17 780 : 35) : 250; b) (504 • 370 - 158 092) : 47 + 1612.

Ответ на задачу



Задача № 404

Представьте в виде произведения сумму: а) 707 + 707 + 707; б) 50 4- 50 + 50 + 50 + 50 + 50; b) x + x + x + x + x + x

Ответ на задание



Задача № 405

Представьте в виде суммы произведение: а) 712 • 3; в) (х + у) • 4; б) а • 6; г) (k + m + 4) • 2.

Ответ на задачку

Фото: 5535763.jpg (20.5 Kb) · 4384635.jpg (27.0 Kb) · 5081207.jpg (24.8 Kb) · 2644103.jpg (27.1 Kb) · 7060257.jpg (30.6 Kb)
 
 
БрошкаДата: Среда, 24.12.2014, 11:57 | Сообщение # 82
Генерал-майор
Группа: Проверенные
Сообщений: 378
Награды: 0
Репутация: 0
Статус: Offline


 
Работай из дома! 18+
 
 


Задача № 406

Вместо слов «представьте в виде произведения» говорят «разложите на множители». Разложите всеми способами на два множителя число 12.

Ответ на задание



Задача № 407

Сколько времени Борис решал 6 уравнений, если на каждое уравнение ему требовалось 2 мин 30 с?

Ответы на задание



Задача № 408

Точка С лежит на отрезке АВ. Найдите длину отрезка АВ, если АС = 8 см, а длина отрезка СВ в 3 раза больше длины отрезка АС.

Ответ на задачу



Задача № 409

Отрезок АВ разбит на 17 отрезков, по 7 см каждый. Найдите длину отрезка АВ.

Ответ на задание



Задача № 410

В двух ящиках лежат помидоры. Во втором ящике в 3 раза больше помидоров, чем в первом. Сколько помидоров в обоих ящиках, если в первом ящике 12 кг?

Ответ на задачку

Фото: 0800070.jpg (23.2 Kb) · 2337865.jpg (26.1 Kb) · 9002347.jpg (23.0 Kb) · 1866305.jpg (22.9 Kb) · 8530254.jpg (23.7 Kb)
 
 
БрошкаДата: Среда, 24.12.2014, 12:00 | Сообщение # 83
Генерал-майор
Группа: Проверенные
Сообщений: 378
Награды: 0
Репутация: 0
Статус: Offline


 
Работай из дома! 18+
 
 


Задача № 411

Сережа старше своей сестры на 5 лет, но моложе отца в 3 раза. Сколько лет Сереже и сколько лет его отцу, если Сережиной сестре 8 лет?

Ответ на задание



Задача № 412

Найдите значение произведения:

Ответы на задание



Задача № 413

Найдите значение выражения: а) 305 + 305 + 305 + 305 + 73; б) 615 + 615 + 125 + 125 + 125; в) 2011 + 402 + 402 + 402 + 402 + 402; г) 58 + 58 + 58 + 58 + 58 + 720 + 720.

Ответ на задачу



Задача № 414

Вместо звездочек поставьте пропущенные цифры:

Ответ на задание



Задача № 415

Выполните действия, применив сочетательное свойство умножения: а) 50 • (2 • 764); в) 125 • (4 • 80); б) (111 • 2) • 35; г) (402 • 125) • 8.

Ответ на задачку

Фото: 5861242.jpg (23.2 Kb) · 6639218.jpg (46.8 Kb) · 2207277.jpg (38.3 Kb) · 3282048.jpg (26.3 Kb) · 9141243.jpg (34.5 Kb)
 
 
БрошкаДата: Среда, 24.12.2014, 12:04 | Сообщение # 84
Генерал-майор
Группа: Проверенные
Сообщений: 378
Награды: 0
Репутация: 0
Статус: Offline


 
Работай из дома! 18+
 
 


Задача № 416

Вычислите, выбрав удобный порядок действий: а) 483 • 2 • 5; в) 25 • 86 • 4; б) 4 • 5 • 333; г) 250 • 3 • 40.

Ответ на задание



Задача № 417

В магазин привезли 5 ящиков с красками. В каждом ящике 144 коробки, а в каждой коробке 12 тюбиков с красками. Сколько тюбиков привезли в магазин? Решите задачу двумя способами.

Ответы на задание



Задача № 418

Столяр и его помощник должны сделать 217 рам. Столяр в день делает 18 рам, а его помощник — 13. Сколько рам им останется сделать после двух дней, работы? четырех дней работы? семи дней работы?

Ответ на задачу



Задача № 419

Для покраски двери требуется 800 г белил, а для покраски окна на 200 г меньше. Сколько белил потребуется, чтобы покрасить 3 окна и 4 двери?

Ответ на задание



Задача № 420

Составьте выражение для решения задачи: а) Построили 5 коттеджей по 80 м2 жилой площади и 2 коттеджа по 140 м2. Какова жилая площадь всех этих коттеджей? б) Масса контейнера с четырьмя книжными шкафами 3 ц. Какова масса пустого контейнера, если масса одного шкафа 58 кг?

Ответ на задачку

Фото: 0963728.jpg (29.5 Kb) · 7329193.jpg (37.0 Kb) · 7307995.jpg (37.8 Kb) · 5805301.jpg (30.5 Kb) · 0317316.jpg (29.6 Kb)
 
 
БрошкаДата: Среда, 24.12.2014, 12:07 | Сообщение # 85
Генерал-майор
Группа: Проверенные
Сообщений: 378
Награды: 0
Репутация: 0
Статус: Offline


 
Работай из дома! 18+
 
 


Задача № 421

Привезли 12 ящиков яблок, по 30 кг в каждом, и 8 ящиков груш, по 40 кг в каждом. Какой смысл имеют следующие выражения: а) 30 • 12; в) 40 • 8; д) 30 • 12 + 40 • 8; б) 12 - 8; г) 40 - 30; е) 30 • 12 - 40 • 8?

Ответ на задание



Задача № 422

Выполните действия: а) (527 - 393) • 8; г) 54 • 23 • 35; б) 38 • 65 - 36 • 63; д) (247 - 189) • (69 + 127); в) 127 • 15 + 138 • 32; е) (1203 + 2837 - 1981) • 21.

Ответы на задание



Задача № 423

Запишите произведение: а) 8 и х; б) 12 + а и 16; в) 25 -m и 28 + n г) а + b и m.

Ответ на задачу



Задача № 424

Укажите множители в произведении: а) Зт; в) 4ab; д) (m + n)(k - 3); б) 6(х + р); г) (х - у) • 14; е) 5k(m + а).

Ответ на задание



Задача № 425

Запишите выражение: а) произведение m и n; б) утроенная сумма а и b; в) сумма произведений чисел 6 и х и чисел 8 и у; г) произведение разности чисел а и b и числа с.

Ответ на задачку

Фото: 3477360.jpg (39.9 Kb) · 8423904.jpg (36.9 Kb) · 7418139.jpg (25.0 Kb) · 0171872.jpg (25.8 Kb) · 8751730.jpg (24.6 Kb)
 
 
БрошкаДата: Среда, 24.12.2014, 12:10 | Сообщение # 86
Генерал-майор
Группа: Проверенные
Сообщений: 378
Награды: 0
Репутация: 0
Статус: Offline


 
Работай из дома! 18+
 
 


Задача № 426

Прочитайте выражение: а) а • (с + d); в) 3(m+ n); д) аb + с; б) (4 - а) • 8; г) 2(m - n); е) m - cd.

Ответ на задание



Задача № 427

Найдите значение выражения: а) 8а + 250 при а = 12; 15; б) 14(6 + 12) при b = 13; 18.

Ответы на задание



Задача № 428

Велосипедист ехал а ч со скоростью 12 км/ч и 2 ч со скоростью 8 км/ч. Сколько километров проехал велосипедист за это время? Составьте выражение для решения задачи и найдите его значение при а = 1; 2; 4.

Ответ на задачу



Задача № 429

Составьте выражение по условию задачи: а) Из 6 книжных полок составлен шкаф. Высота каждой полки х см. Найдите высоту шкафа. Найдите значение выражения при х = 28; 33. б) За один рейс автомашина МАЗ-25 перевозит 25 т груза. Сколько груза она перевезет за k рейсов? Найдите значение выражения при k = 10; 5; 0.

Ответ на задание



Задача № 430

Цена одного волейбольного мяча х р., а баскетбольного мяча у р. Что означают выражения: Зх; 4у; bх + 2у; 15x - 2у; 4(х + у)?

Ответ на задачку

Фото: 4026749.jpg (37.6 Kb) · 3195779.jpg (34.4 Kb) · 9949297.jpg (31.6 Kb) · 9461476.jpg (34.6 Kb) · 6002844.jpg (37.7 Kb)
 
 
БрошкаДата: Среда, 24.12.2014, 12:13 | Сообщение # 87
Генерал-майор
Группа: Проверенные
Сообщений: 378
Награды: 0
Репутация: 0
Статус: Offline


 
Работай из дома! 18+
 
 


Задача № 431

Составьте задачу по выражению: а) (80 + 60) -7; в) 28 • 4 + 35 • 5; б) (65 - 40) -4; г) 96 • 5 - 82 • 3.

Ответ на задание

$IMAGE1$

Задача № 432

На вершину холма ведут пять тропинок. Сколько существует способов подняться на холм и спуститься с него, если подниматься и спускаться по разным тропинкам?

Ответы на задание



Задача № 433

Какое из произведений больше: 67 • 2 или 67 • 3? Объясните, почему это так. Объясните, почему 190 • 8 < 195 • 12. Сделайте вывод.

Ответ на задачу



Задача № 434

Расставьте, не выполняя умножения, в порядке возрастания произведения: 56 • 24; 56 • 49; 13 • 24; 13 • 11; 74 • 49; 7 • 11.

Ответ на задание



Задача № 435

Докажите, что: а) 20 • 30 < 23 • 35 < 30 • 40; б) 600 • 800 < 645 • 871 < 700 • 900; в) 1200 < 36 • 42 < 2000; г) 45 000 < 94 • 563 < 60 000.

Ответ на задачку

Фото: 0105067.jpg (30.0 Kb) · 9112787.jpg (44.1 Kb) · 3341501.jpg (24.0 Kb) · 9860222.jpg (33.6 Kb)
 
 
БрошкаДата: Среда, 24.12.2014, 12:47 | Сообщение # 88
Генерал-майор
Группа: Проверенные
Сообщений: 378
Награды: 0
Репутация: 0
Статус: Offline


 
Работай из дома! 18+
 
 


Задача № 436

Вычислите устно:

Ответ на задание



Задача № 437

Какое число пропущено?

Ответы на задание



Задача № 438

Восстановите цепочку вычислений:

Ответ на задачу



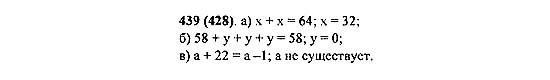
Задача № 439

Угадайте корни уравнения: а) х + х = 64; б) 58 + у + у + у = 58; в) а + 2 = а - 1.

Ответ на задание



Задача № 440

Придумайте задачу, которая решалась бы с помощью уравнения: а) х+ 15 = 45; б) у - 12 = 18.

Ответ на задачку

$IMAGE5$
Фото: 1473858.jpg (30.9 Kb) · 7689651.jpg (37.6 Kb) · 6112756.jpg (36.9 Kb) · 3270944.jpg (27.0 Kb)
 
 
БрошкаДата: Среда, 24.12.2014, 12:50 | Сообщение # 89
Генерал-майор
Группа: Проверенные
Сообщений: 378
Награды: 0
Репутация: 0
Статус: Offline


 
Работай из дома! 18+
 
 


Задача № 441

Сколько четырехзначных чисел можно составить из нечетных цифр, ели цифры в записи числа не повторяются?

Ответ на задание



Задача № 442

Среди чисел 1, 0, 5, 11,9 найдите корни уравнения: а) х + 19 = 30; в) 30 + х = 32 - х б) 27 - х = 27 + х; г) 10 + х + 2 = 15 + х - 3.

Ответы на задание



Задача № 443

Назовите несколько свойств луча. Какие из этих свойств есть у прямой?

Ответ на задачу

$IMAGE3$

Задача № 444

Придумайте способ, с помощью которого можно быстро и просто вычислить значение выражения: 39 - 37 + 35 - 33 + 31 - 29 + 27 - 25 + ... + 11 - 9 + 7 - 5 + 3 - 1.

Ответ на задание



Задача № 445

Решите уравнение: а) 127 + у = 357 - 85; в) 144 - у - 54 = 37; б) 125 + у - 85 = 65; г). 52 + у + 87 = 159

Ответ на задачку

Фото: 7529662.jpg (34.0 Kb) · 3836571.jpg (27.5 Kb) · 6774188.jpg (31.2 Kb) · 7748010.jpg (37.4 Kb)
 
 
БрошкаДата: Среда, 24.12.2014, 12:54 | Сообщение # 90
Генерал-майор
Группа: Проверенные
Сообщений: 378
Награды: 0
Репутация: 0
Статус: Offline


 
Работай из дома! 18+
 
 


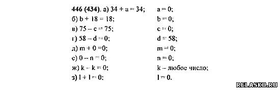
Задача № 446

При каком значении буквы верно равенство: а) 34 + а = 34; г) 58 - d = 0; ж) k - k = 0; б) b + 18 = 18; д) m + 0 = 0; з) l + I = 0? в) 75 - с = 75; е) 0 - n = 0;

Ответ на задание



Задача № 447

Решите задачу:

а) В корзине несколько грибов. После того как из нее вынули 10 грибов, а затем в нее положили 14 грибов, в ней стало 85 грибов. Сколько грибов было в корзине первоначально? б) У мальчика было 16 почтовых марок. Он купил еще несколько марок, после этого подарил младшему брату 23 марки, и у него осталось 19 марок. Сколько марок купил мальчик?

Ответы на задание

$IMAGE2$

Задача № 448

Упростите выражение:

1) (138 + m) - 95; 3) (х - 39) + 65; 2) (198 + n) - 36; 4) (у - 56) + 114.

Ответ на задачу



Задача № 449

Найдите значение выражения: 1) 7480 - 6480 : 120 + 80; 2) 1110 + 6890 : 130 - 130.

Ответ на задание



Задача № 450

Найдите значение выражения: а) 704 + 704 + 704 + 704; б) 542 + 542 + 542 + 618 + 618.

Ответ на задачку




Продолжение решебника по Математике

Фото: 5775120.jpg (32.8 Kb) · 8004752.jpg (33.9 Kb) · 9750528.jpg (30.7 Kb) · 1643952.jpg (26.9 Kb)
 
 
Поиск:

Работай из дома! 18+
 
 
 
 
 
 

 
Последние темы на форуме:
 
  • Новогодние праздники 2021-2022 официальные выходные
  • Показатели давления и сердцебиения у женщины 57 лет
  • Гороскоп на декабрь 2021 Женщина Телец
  • Гороскоп на январь 2022 от Павла Глоба
  • Гороскоп на декабрь 2021 от Павла Глоба
  • Гороскоп на ноябрь 2021 от Павла Глоба
  • Стенограмма судьбы - Содержание серий, актеры и роли сериала
  • Мосгаз. Западня - Содержание серий, актеры и роли 2021
  • Тобол - Содержание серий, актеры и роли сериала. 2021
  • Гороскоп для Тигра на сегодня от Павла Глоба
  • Утраченные воспоминания - Содержание серий, актеры и роли
  • Чёрно-белая любовь - Содержание серий, актеры и роли сериала
  • Забытая женщина - Содержание серий, актеры и роли сериала
  • Тайна спящей дамы - Содержание серий, актеры и роли сериала
  • Сериал Часы с кукушкой - Содержание серий, актеры и роли
  •  
     

     
    Обращаем ваше внимание на то, что данный интернет-сайт www.kinolog.do.am носит исключительно информационный характер и ни при каких условиях не является публичной офертой, определяемой положениями Статьи 437 (2) Гражданского кодекса РФ. Цена и наличие товара может отличаться от действительной. Пожалуйста, уточняйте цены и наличие товара у наших менеджеров.
    Администрация сайта не несет ответственности за действия и содержание размещаемой информации пользователей: комментарии, материалы, сообщения и темы на форуме, публикации, объявления и т.д.
    Правообладателям | Реклама | Учебники | Политика
    Отопление, водоснабжение, газоснабжение, канализация © 2003 - 2021
    Рейтинг@Mail.ru Рейтинг арматурных сайтов. ARMTORG.RU Яндекс.Метрика