[ Новые сообщения · Участники · Правила форума · Поиск · RSS ]
 
Работай из дома! 18+

ГДЗ по Математике. 5 класс
БрошкаДата: Среда, 24.12.2014, 12:57 | Сообщение # 91
Генерал-майор
Группа: Проверенные
Сообщений: 378
Награды: 0
Репутация: 0
Статус: Offline


 
Работай из дома! 18+
 
 




Задача № 451

Представьте в виде суммы произведение: а) 24 • 4; б) k • 8; в) (x + y)• 4: г) (2а - b) • 5

Ответ на задание



Задача № 452

В магазин привезли 250 коробок, в каждой коробке по 54 пачки печенья. Какова масса всего печенья, если масса одной пачки 150 г?

Ответы на задание



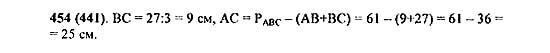
Задача № 453

В треугольнике ABC сторона АВ равна 27 см, и она больше стороны ВС в 3 раза. Найдите длину стороны АС, если периметр треугольника ABC равен 61 см.

Ответ на задачу



Задача № 454

Один станок-автомат производит 12 деталей в минуту, а другой — 15 таких же деталей. Сколько всего деталей будет изготовлено за 20 мин работы первого станка и 15 мин работы второго станка?

Ответ на задание



Задача № 455

Выполните умножение: а) 56 • 24; в) 235 • 48; д) 203 • 504; ж) 2103 • 7214; б) 37 • 85; г) 37 • 129; е) 210 • 3500; з) 5008 • 3020.

Ответ на задачку

Фото: 7112994.jpg (28.7 Kb) · 8746977.jpg (32.0 Kb) · 5107361.jpg (26.0 Kb) · 3746177.jpg (25.7 Kb) · 0975991.jpg (26.5 Kb)
 
 
БрошкаДата: Среда, 24.12.2014, 13:01 | Сообщение # 92
Генерал-майор
Группа: Проверенные
Сообщений: 378
Награды: 0
Репутация: 0
Статус: Offline


 
Работай из дома! 18+
 
 


Задача № 456

С одной и той же станции в одно и то же время вышли в противоположных направлениях два поезда. Скорость одного поезда 50 км/ч, а другого 85 км/ч. Какое расстояние будет между поездами через 3 ч?

Ответ на задание



Задача № 457

От деревни до города велосипедист ехал 4 ч со скоростью 12 км/ч. Сколько времени он потратит на обратный путь по той же дороге, если увеличит скорость на 4 км/ч?

Ответы на задание



Задача № 458

Придумайте задачу по выражению: а) 120 + 65-2; б) 168 -43-2; в) 15 • 4 + 12 • 4.

Ответ на задачу



Задача № 459

Сравните, не вычисляя, произведения (ответ запишите с помощью знака <): а) 245 • 611 и 391 • 782; б) 8976 • 1240 и 6394 • 906.

Ответ на задание



Задача № 460

Запишите в порядке возрастания произведения: 172 • 191; 85 • 91; 85 • 104; 36 • 91; 36 • 75; 172 • 104

Ответ на задачку

Фото: 7387945.jpg (34.2 Kb) · 3221071.jpg (25.3 Kb) · 0799418.jpg (27.7 Kb) · 0868721.jpg (24.6 Kb) · 1627397.jpg (24.6 Kb)
 
 
БрошкаДата: Среда, 24.12.2014, 13:05 | Сообщение # 93
Генерал-майор
Группа: Проверенные
Сообщений: 378
Награды: 0
Репутация: 0
Статус: Offline


 
Работай из дома! 18+
 
 


Задача № 461

Вычислите: а) (18 384 + 19 847) • (384 - 201 - 183); б) (2839 - 939) • (577 : 577).

Ответ на задание



Задача № 462

Решите уравнение: а) (х + 27) - 12 = 42; в) г - 35 - 64 = 16; б) 115 - (35 + у) = 39; г) 28 - t + 35 = 53.

Ответы на задание



Задача № 463

Сосчитайте, сколько четверок и сколько пятерок на рисунке 48, но только по особому правилу — считать нужно подряд и четверки, и пятерки: «Первая четверка, первая пятерка, вторая четверка, третья четверка, вторая пятерка и т. д.». Если сразу не удастся сосчитать, возвращайтесь к этому заданию еще и еще раз.

Ответ на задачу

$IMAGE3$

Задача № 464

При каких значениях буквы верно равенство: а) х • 94 = 846; б) 74 • у = 4292?

Ответ на задание



Задача № 465

Найдите значение выражения: а) 0 : 27; б) 85 : 1; в) 87 : 87.

Ответ на задачку

Фото: 0698311.jpg (28.9 Kb) · 5349695.jpg (38.3 Kb) · 0634867.jpg (28.7 Kb) · 3409085.jpg (23.8 Kb)
 
 
БрошкаДата: Среда, 24.12.2014, 13:10 | Сообщение # 94
Генерал-майор
Группа: Проверенные
Сообщений: 378
Награды: 0
Репутация: 0
Статус: Offline


 
Работай из дома! 18+
 
 


Задача № 466

Существует ли такое число n, что 0 • n = 6? Можно ли разделить 6 на О?

Ответ на задание



Задача № 467

При каких значениях т верно равенство 0 • т = 0? Можно ли из этого равенства найти единственное значение т? Можно ли разделить О на О?

Ответы на задание



Задача № 468

Во время уборки урожая с первого участка собрали 612 т пшеницы, что в 4 раза больше, чем с третьего, а со второго — в 3 раза меньше, чем с первого. Сколько тонн пшеницы собрали с трех участков?

Ответ на задачу



Задача № 469

Поезд прошел 336 км за 4 ч, а автобус — 126 км за 3 ч. Во сколько раз скорость автобуса меньше скорости поезда?

Ответ на задание



Задача № 470

За 25 дней завод должен изготовить по плану 2100 станков. Ежедневно сверх плана выпускали 21 станок. За сколько дней был выполнен план?

Ответ на задачку

Фото: 6198962.jpg (25.2 Kb) · 0172066.jpg (29.5 Kb) · 1874843.jpg (25.7 Kb) · 1027027.jpg (30.1 Kb) · 3052681.jpg (33.0 Kb)
 
 
БрошкаДата: Среда, 24.12.2014, 13:13 | Сообщение # 95
Генерал-майор
Группа: Проверенные
Сообщений: 378
Награды: 0
Репутация: 0
Статус: Offline


 
Работай из дома! 18+
 
 


Задача № 471

Проверьте с помощью умножения и с помощью деления, правильно ли выполнено деление: а) 9963 : 27 = 369; б) 44 950 : 725 = 62.

Ответ на задание



Задача № 472

Выполните деление: а) 84 : 6; д) 595 000 : 100; и) 97 500 : 125; б) 216 : 12; е) 370 000 : 1000; к) 28 085 : 137; в) 180 909: 9; ж) 13 400 : 200; л) 4 645 671 : 8493; г) 45 700 : 10; з) 8517 : 17; м) 22 914 000 : 6030.

Ответы на задание



Задача № 473

Запишите частное: а) 96 и 8; г) 14 и а + 2х; б) 35 и х; д) 150 и 2х + у; в) а + 16 и 32; е) а + b и а - b.

Ответ на задачу



Задача № 474

Прочитайте следующие выражения: а) 18 : а; в) (а + b) : (х - у); б) (х + у) : 539; г) (х + у) :m.

Ответ на задание



Задача № 475

Укажите делимое и делитель в частном: а) (254 + 781) : (97 - 92); в) (х + у) : (m + 3); б) (3 - а) : m; г) х : (у - 9).

Ответ на задачку

Фото: 9461742.jpg (26.1 Kb) · 5649491.jpg (39.5 Kb) · 1989565.jpg (26.7 Kb) · 5773055.jpg (31.2 Kb) · 9711708.jpg (30.8 Kb)
 
 
БрошкаДата: Среда, 24.12.2014, 13:16 | Сообщение # 96
Генерал-майор
Группа: Проверенные
Сообщений: 378
Награды: 0
Репутация: 0
Статус: Offline


 
Работай из дома! 18+
 
 


Задача № 476

Пусть цена пары ботинок х р., а цена пары сапог у р. Что означают выражения: у : х; 8у : х; х + Зу?

Ответ на задание



Задача № 477

Пусть цена 1 кг сахара x р., а стоимость а кг сахара у р. Что означает выражение: а) у : х; б) у : а; в) х • а?

Ответы на задание



Задача № 478

Составьте задачу с величинами «скорость», «время», «путь» по выражению: а) 150 : 5; б) 65 • 4; в) 900 : 150; г) 36 : 12. По тем же выражениям составьте задачу с величинами «стоимость товара», «цена», «количество товара».

Ответ на задачу



Задача № 479

Двое рабочих изготовили вместе 280 оконных рам. Один из них работал 14 дней по 7 ч в день, а другой — 7 дней по 6 ч. Сколько рам изготовил каждый из них, если они за 1 ч работы изготавливали одинаковое число рам?

Ответ на задание



Задача № 480

На мельницу привезли 9600 кг пшеницы. При размоле отходы составили 1200 кг. Муку насыпали в мешки и погрузили на 3 машины. На первую погрузили 30 мешков, на вторую — 35 мешков, а на третью — 40 мешков. Сколько килограммов муки погрузили на первую машину, если во всех мешках муки было поровну?

Ответ на задачку

Фото: 7553496.jpg (37.9 Kb) · 6159669.jpg (23.3 Kb) · 3678217.jpg (26.7 Kb) · 2563833.jpg (33.2 Kb) · 0824751.jpg (35.1 Kb)
 
 
БрошкаДата: Среда, 24.12.2014, 13:22 | Сообщение # 97
Генерал-майор
Группа: Проверенные
Сообщений: 378
Награды: 0
Репутация: 0
Статус: Offline


 
Работай из дома! 18+
 
 


Задача № 481

Найдите значение выражения: а) 7585 : 37 + 95; в) 91 793 : 307 : 23 + 77; б) (6738 - 834) : 123; г) 1092 : 39 • 25 - 15.

Ответ на задание



Задача № 482

Решите уравнение: а) 35x = 175; б) у • 127 = 1524; в) z : 35 = 18; г) 168 : v = 4.

Ответы на задание



Задача № 483

При каком значении буквы верно равенство:

Ответ на задачу



Задача № 484

Периметр восьмиугольника 24 см (рис. 49). Составьте уравнение и решите его. Что означает корень этого уравнения?

Ответ на задание



Задача № 485

Решите уравнение: а) 252 + 49 = 149; б) 13 + 10t = 163; в) 9у - 54 = 162; г) 181 - 8г = 45

Ответ на задачку

Фото: 4635786.jpg (30.4 Kb) · 2966236.jpg (31.9 Kb) · 7640923.jpg (29.3 Kb) · 0289806.jpg (24.1 Kb) · 2353622.jpg (35.9 Kb)
 
 
БрошкаДата: Среда, 24.12.2014, 13:26 | Сообщение # 98
Генерал-майор
Группа: Проверенные
Сообщений: 378
Награды: 0
Репутация: 0
Статус: Offline


 
Работай из дома! 18+
 
 


Задача № 486

Решите задачу с помощью уравнения: а) Для покраски стен потребовалось 4 одинаковые банки белил и еще 3 кг зеленой краски. Всего израсходовали 19 кг краски. Сколько килограммов белил было в каждой банке? б) Для перевозки 35 т угля выделили несколько грузовиков. На каждый грузовик погрузили по 4 т угля, после чего осталось перевезти еще 7 т угля. Сколько машин было выделено?

Ответ на задание



Задача № 487

Решите уравнение: а) (х - 12) • 8 = 56; г) 124 : (у - 5) - 31; б) 24 • (z + 9) = 288; д) 38x + 15 = 91; в) (у + 25) : 8 = 16; е) 44 : z + 9 = 20.

Ответы на задание



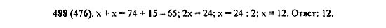
Задача № 488

Найдите значение х по рисунку 50.

Ответ на задачу



Задача № 489

Решите задачу с помощью уравнения: а) Я задумал число. Если его разделить на 4, а потом от частного отнять 2, то получится 7. Какое число я задумал? б) 40 кг белил разлили в несколько банок, а потом в каждую банку добавили 2 кг красной краски. В каждой банке оказалось 7 кг краски. Сколько было банок? в) Для отправки детей в лагерь было заказано несколько автобусов. B них поровну рассадили 270 детей. Кроме детей в каждый автобус сели по двое взрослых. Сколько было автобусов, если в каждом находилось 47 пассажиров?

Ответ на задание



Задача № 490

Зная, что произведение 126 и 35 равно 4410, выполните деление или решите уравнение: а) 4410 : 126; г) 126у = 4410; ж) 4410 : k = 126; б) 4410 : 35; д) m : 35 = 126; з) 4410 : t = 35. в) 35x = 4410; е) р : 126 = 35;

Ответ на задачку

Фото: 3168656.jpg (43.5 Kb) · 5416325.jpg (45.6 Kb) · 6416662.jpg (24.1 Kb) · 4591362.jpg (44.8 Kb) · 3200732.jpg (37.6 Kb)
 
 
БрошкаДата: Среда, 24.12.2014, 13:31 | Сообщение # 99
Генерал-майор
Группа: Проверенные
Сообщений: 378
Награды: 0
Репутация: 0
Статус: Offline


 
Работай из дома! 18+
 
 


Задача № 491

Зная, что 11 172 : 98 = 114, выполните действие или решите уравнение: а) 11 172 : 114; д) 11 172 : с = 98; б) 98 • 114; е) 11 172 : m = 114; в) а : 114 - 98; ж) 114z - 11 172; г) b : 98 - 114; з) 98k - 11 172.

Ответ на задание



Задача № 492

Составьте равенство по тексту задачи:

а) У Люды было т слив, у Нади — на 6 слив больше, а у Степы — на 9 слив меньше, чем у Нади. Когда сложили сливы и поделили поровну, каждому досталось по 14 слив. б) В одном классе п учеников, в другом — на 8 учеников больше, чем в первом, а в третьем — на 4 ученика меньше, чем во втором. Все ученики этих трех классов поехали на экскурсию в трех автобусах, причем в каждый автобус сели по 42 ученика.

Ответы на задание



Задача № 493

Вычислите

Ответ на задачу



Задача № 494

Подумайте, как проще выполнить умножение, и вычислите: а) 19 • 2 • 5; б) 4 • 27 • 25; в) 13 • 6 • 50

Ответ на задание



Задача № 495

Найдите произведение наименьшего четырехзначного числа и десяти. Найдите частное этих же чисел.

Ответ на задачку

Фото: 3790315.jpg (37.7 Kb) · 0397530.jpg (24.7 Kb) · 9969743.jpg (30.7 Kb) · 4719733.jpg (26.9 Kb) · 9943785.jpg (27.6 Kb)
 
 
БрошкаДата: Среда, 24.12.2014, 13:34 | Сообщение # 100
Генерал-майор
Группа: Проверенные
Сообщений: 378
Награды: 0
Репутация: 0
Статус: Offline


 
Работай из дома! 18+
 
 


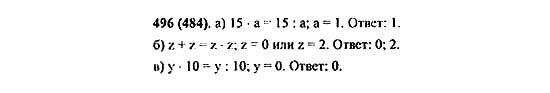
Задача № 496

Угадайте корни уравнения: а) 15 • а = 15 : а; б) z + z = z • z в) у • 10 = у : 10.

Ответ на задание



Задача № 497

И сумма, и произведение трех натуральных чисел равны 6. Какие это числа?

Ответы на задание



Задача № 498

Во дворе гуляют куры, петухи и утки — всего 21 птица. Петухов в 10 раз меньше, чем кур. Сколько во дворе уток?

Ответ на задачу



Задача № 499

Представьте в виде суммы произведение: а) (а + b) • 3; б) (2а - m) • 5; в) (5х + 2у) • 6.

Ответ на задание



Задача № 500

Запишите произведение: а) 7x и За + 11; б) 2m + bn и За - 125.

Ответ на задачку

Фото: 2268057.jpg (27.9 Kb) · 6080818.jpg (23.1 Kb) · 9743302.jpg (30.7 Kb) · 2099605.jpg (33.4 Kb) · 0291926.jpg (23.7 Kb)
 
 
БрошкаДата: Среда, 24.12.2014, 14:15 | Сообщение # 101
Генерал-майор
Группа: Проверенные
Сообщений: 378
Награды: 0
Репутация: 0
Статус: Offline


 
Работай из дома! 18+
 
 


Задача № 501

Подчеркните множители в произведении: а) (х + Зу) • (5а + b); в) 4ах(у + Зb); б) {b - Зх) • (х - bу) г) 7mnk

Ответ на задание



Задача № 502

Заполните таблицу:

Ответы на задание



Задача № 503

На машину погрузили т ящиков. В каждом ящике было 70 коробок, а в каждой коробке п цветных карандашей. Сколько всего карандашей погрузили в машину? Составьте выражение и найдите его значение при: а) m = 15, n = 6; б) m= 12, n = 24.

Ответ на задачу



Задача № 504

Решите уравнение: а) (х + 155) - 35 = 145; в) (853 + у) - 53 = 900; б) 168 - (98 + z) = 65; г) (s + 275) - 275 = 384.

Ответ на задание



Задача № 505

Запишите в виде равенства предложение и узнайте, при каком значении буквы оно будет верным: 1) сумма х и 408 больше числа 312 на 501; 2) число 700 больше суммы 45 и у на 398; 3) разность 145 и т меньше числа 650 на 533; 4) число 661 меньше разности 800 и п на 89.

Ответ на задачку

Фото: 4034821.jpg (26.1 Kb) · 5983752.jpg (27.9 Kb) · 6289428.jpg (34.0 Kb) · 1192028.jpg (36.9 Kb) · 4520618.jpg (33.3 Kb)
 
 
БрошкаДата: Среда, 24.12.2014, 14:22 | Сообщение # 102
Генерал-майор
Группа: Проверенные
Сообщений: 378
Награды: 0
Репутация: 0
Статус: Offline


 
Работай из дома! 18+
 
 


Задача № 506

Масса слона на 24 т 700 кг меньше массы кита. Какова масса кита, если масса слона 5 т 800 кг?

Ответ на задание



Задача № 507

На заводе за один месяц выпустили 2120 велосипедов, а за следующий — на 250 больше. Сколько велосипедов выпустили за два месяца?

Ответы на задание



Задача № 508

Найдите периметр треугольника ABC, если ВС вдвое длиннее, чем АС, АВ = 2 см 8 мм, АС на 9 мм короче, чем АВ.

Ответ на задачу



Задача № 509

Длина беговой дорожки вокруг поля стадиона 400 м. За 6 мин 40 с Андрей пробежал 4 круга, а Николай — 5 кругов. На сколько метров в секунду скорость Николая больше скорости Андрея?

Ответ на задание



Задача № 510

У Бориса до тренировки по плаванию оставалось время, и он решил съездить в зоопарк. От дома до зоопарка Борис может доехать на метро, трамваем или автобусом, а от зоопарка до бассейна — автобусом, троллейбусом или на метро. Сколькими способами Борис может доехать от дома до бассейна, посетив зоопарк?

Ответ на задачку

Фото: 0300569.jpg (26.6 Kb) · 4362089.jpg (26.5 Kb) · 2124531.jpg (27.2 Kb) · 6183091.jpg (32.7 Kb) · 8803960.jpg (26.5 Kb)
 
 
БрошкаДата: Среда, 24.12.2014, 14:27 | Сообщение # 103
Генерал-майор
Группа: Проверенные
Сообщений: 378
Награды: 0
Репутация: 0
Статус: Offline


 
Работай из дома! 18+
 
 


Задача № 511

Патрульный милицейский вертолет во время наблюдения за движением транспорта летел вдоль шоссе 16 мин, а затем увеличил скорость и летел еще 34 мин в том же направлении. Какой дпины участок шоссе облетел за это время вертолет, если его скорость вначале была 1200 м/мин, а затем 1500 м/мин?

Ответ на задание



Задача № 512
Решите с помощью уравнения задачу: 1) Длина линии ABCD (рис. 51) равна 3 дм 5 см. Каждый из отрезков АВ и CD имеет длину 1 дм 2 см. Чему равна длина отрезка ВС? 2) Длина линии ABCD (рис. 51) равна 7 дм 2 см. Каждый из отрезков АВ и CD имеет длину 2 дм 3 см. Найдите длину отрезка ВС.

Ответы на задание



Задача № 513

Выполните действия: 1) 203 • 26 - (3292 + 2579) : 57; 2) 2072 : 37 + (2626 - 2419) • 27.

Ответ на задачу



Задача № 514

За 12 ч поезд прошел 648 км. С какой скоростью шел поезд?

Ответ на задание



Задача № 515

Шесть одинаковых по длительности сеансов радиосвязи продолжались 1 ч 12 мин. Какова длительность одного сеанса?

Ответ на задачку

Фото: 6829006.jpg (25.9 Kb) · 0198226.jpg (30.5 Kb) · 8258353.jpg (30.3 Kb) · 2346411.jpg (23.2 Kb) · 1700457.jpg (24.0 Kb)
 
 
БрошкаДата: Среда, 24.12.2014, 14:30 | Сообщение # 104
Генерал-майор
Группа: Проверенные
Сообщений: 378
Награды: 0
Репутация: 0
Статус: Offline


 
Работай из дома! 18+
 
 


Задача № 516

Один завод выпускает 132 наименования изделий, а другой — на 88 меньше. Во сколько раз больше наименований изделий выпускает первый завод по сравнению со вторым?

Ответ на задание



Задача № 517

Выполните деление: а) 30 970 : 38; в) 5 154 324 : 903; б) 142 593 : 33; г) 745 500 000 : 3500.

Ответы на задание



Задача № 518

Запишите выражение: а) произведение числа 9 и суммы а и 11; б) частное от деления числа 114 на разность тип; в) частное от деления суммы 8 и с на разность 76d и 4.

Ответ на задачу



Задача № 519

За 3 ч работы один экскаватор вынул 555 м3 земли. Сколько кубических метров земли вынет второй экскаватор за 4 ч, если в час он вынимает на 15 м3 больше, чем первый?

Ответ на задание



Задача № 520

Две бригады, работая вместе, заготовили 1320 т силоса. Ежедневно одна бригада заготовляла 20 т силоса, а другая — 35 т. Сколько силоса заготовила каждая бригада?

Ответ на задачку

Фото: 7929886.jpg (26.6 Kb) · 7043457.jpg (28.3 Kb) · 6843452.jpg (23.9 Kb) · 6821594.jpg (30.9 Kb) · 2820682.jpg (31.9 Kb)
 
 
БрошкаДата: Среда, 24.12.2014, 14:34 | Сообщение # 105
Генерал-майор
Группа: Проверенные
Сообщений: 378
Награды: 0
Репутация: 0
Статус: Offline


 
Работай из дома! 18+
 
 


Задача № 521

Один рабочий работал 3 дня, по 7 ч в день, а другой — 2 дня, по 8 ч в день. Вместе они изготовили 481 деталь. Сколько деталей изготовил каждый рабочий, если за час они изготовляли деталей поровну?

Ответ на задание



Задача № 522

Периметр треугольника ABC равен 62 см. ВС =17 см, АВ = СА. Найдите длину стороны АВ.

Ответы на задание



Задача № 523

Найдите значение выражения k : 19 - 95 при k = 5719. Является ли число 5719 корнем уравнения k : 19 - 95 = 206?

Ответ на задачу



Задача № 524

Решите уравнение: а) 37x = 259; б) 252 : у = 21; в) z : 18 = 6; г) (38 + b) • 12 = 840; д) 14(р - 30) = 630; е) (43 - s) • 17 = 289

Ответ на задание



Задача № 525

Составьте уравнение по рисунку 52 (масса гирь дана в килограммах) и найдите массу каждого пакета.

Ответ на задачку




Продолжение решебника по Математике

Фото: 8265618.jpg (32.0 Kb) · 7177205.jpg (25.8 Kb) · 2455002.jpg (28.3 Kb) · 0085687.jpg (42.1 Kb) · 0467812.jpg (29.1 Kb)
 
 
Поиск:

Работай из дома! 18+
 
 
 
 
 
 

 
Последние темы на форуме:
 
  • Новогодние праздники 2021-2022 официальные выходные
  • Показатели давления и сердцебиения у женщины 57 лет
  • Гороскоп на декабрь 2021 Женщина Телец
  • Гороскоп на январь 2022 от Павла Глоба
  • Гороскоп на декабрь 2021 от Павла Глоба
  • Гороскоп на ноябрь 2021 от Павла Глоба
  • Стенограмма судьбы - Содержание серий, актеры и роли сериала
  • Мосгаз. Западня - Содержание серий, актеры и роли 2021
  • Тобол - Содержание серий, актеры и роли сериала. 2021
  • Гороскоп для Тигра на сегодня от Павла Глоба
  • Утраченные воспоминания - Содержание серий, актеры и роли
  • Чёрно-белая любовь - Содержание серий, актеры и роли сериала
  • Забытая женщина - Содержание серий, актеры и роли сериала
  • Тайна спящей дамы - Содержание серий, актеры и роли сериала
  • Сериал Часы с кукушкой - Содержание серий, актеры и роли
  •  
     

     
    Обращаем ваше внимание на то, что данный интернет-сайт www.kinolog.do.am носит исключительно информационный характер и ни при каких условиях не является публичной офертой, определяемой положениями Статьи 437 (2) Гражданского кодекса РФ. Цена и наличие товара может отличаться от действительной. Пожалуйста, уточняйте цены и наличие товара у наших менеджеров.
    Администрация сайта не несет ответственности за действия и содержание размещаемой информации пользователей: комментарии, материалы, сообщения и темы на форуме, публикации, объявления и т.д.
    Правообладателям | Реклама | Учебники | Политика
    Отопление, водоснабжение, газоснабжение, канализация © 2003 - 2021
    Рейтинг@Mail.ru Рейтинг арматурных сайтов. ARMTORG.RU Яндекс.Метрика