[ Новые сообщения · Участники · Правила форума · Поиск · RSS ]
 
Работай из дома! 18+

ГДЗ по Математике. 5 класс
БрошкаДата: Среда, 24.12.2014, 14:39 | Сообщение # 106
Генерал-майор
Группа: Проверенные
Сообщений: 378
Награды: 0
Репутация: 0
Статус: Offline


 
Работай из дома! 18+
 
 




Задача № 526

Составьте задачу по уравнению: а) 120 - х = 45; б) 160 - 2у = 40.

Ответ на задание

$IMAGE1$

Задача № 527

Найдите значение выражения: а) (1878 - 9567 - 6413) : 68; б) (23 223 - 8354 - 8653) : 84.

Ответы на задание



Задача № 528

Поговорите со своими родителями, бабушками и дедушками, со знакомыми взрослыми и постарайтесь узнать, нужна ли им в работе, в жизни математика, можно ли стать хорошим специалистом, не зная математики.

Ответ на задачу

$IMAGE3$

Задача № 529

Масса чугунной болванки 20 кг. Сколько деталей по 18 кг можно отлить из 10 болванок? Сколько чугуна останется?

Ответ на задание



Задача № 530

На пошив одного пододеяльника требуется 6 м полотна. Сколько пододеяльников можно сшить из 200 м полотна? Сколько полотна останется?

Ответ на задачку

Фото: 8340464.jpg (25.8 Kb) · 9361803.jpg (29.6 Kb) · 8386430.jpg (26.4 Kb)
 
 
БрошкаДата: Среда, 24.12.2014, 14:42 | Сообщение # 107
Генерал-майор
Группа: Проверенные
Сообщений: 378
Награды: 0
Репутация: 0
Статус: Offline


 
Работай из дома! 18+
 
 


Задача № 531

Масса чугунной болванки 16 кг. Сколько таких болванок потребуется для отливки 41 детали, каждая из которых имеет массу 12 кг? Сколько чугуна останется?

Ответ на задание



Задача № 532

Заполните таблицу:

Ответы на задание



Задача № 533

Выполните деление с остатком: а) 458 на 9; г) 10 000 на 3; ж) 12 080 на 63; б) 247 на 4; д) 127 на 100; з) 66 500 на 3200; в) 384 на 10; е) 7978 на 89; и) 65 306 на 121.

Ответ на задачу



Задача № 534

Какие остатки могут получиться при делении различных чисел на 2; на 7; на 10; на 23; на 200?

Ответ на задание



Задача № 535

Проверьте равенство и назовите делимое, делитель, неполное частное и остаток: а) 2053 = 84 • 24 + 37; б) 4106 = 79 • 51 + 77; в) 2891 = 2 • 1000 + 891.

Ответ на задачку

Фото: 8656465.jpg (30.6 Kb) · 3617105.jpg (33.0 Kb) · 8884781.jpg (36.7 Kb) · 8325293.jpg (38.8 Kb) · 0806898.jpg (36.7 Kb)
 
 
БрошкаДата: Среда, 24.12.2014, 14:45 | Сообщение # 108
Генерал-майор
Группа: Проверенные
Сообщений: 378
Награды: 0
Репутация: 0
Статус: Offline


 
Работай из дома! 18+
 
 


Задача № 536

Придумайте число, при делении которого: а) на 15 получается остаток 5; б) на 22 получается остаток 11.

Ответ на задание



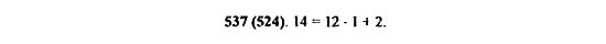
Задача № 537

Назовите наименьшее двузначное число, при делении которого на 12 получается остаток 2.

Ответы на задание



Задача № 538

Найдите делимое, если делитель 25, неполное частное 0, а остаток 12.

Ответ на задачу



Задача № 539

Восстановите цепочку вычислений:

Ответ на задание



Задача № 540

Вычислите усно:

Ответ на задачку

Фото: 2315932.jpg (23.3 Kb) · 0108578.jpg (21.9 Kb) · 3892056.jpg (22.4 Kb) · 2203169.jpg (39.2 Kb) · 7106695.jpg (30.6 Kb)
 
 
БрошкаДата: Среда, 24.12.2014, 14:55 | Сообщение # 109
Генерал-майор
Группа: Проверенные
Сообщений: 378
Награды: 0
Репутация: 0
Статус: Offline


 
Работай из дома! 18+
 
 


Задача № 541

Выполните умножение: а) 25 • 8 • 17; б) 47 • 4 • 5; в) 4 • 36 • 250; г) 13 • 50 • 6.

Ответ на задание



Задача № 542

Разделите 1000 на 8. Запомните результат и используйте его при вычислениях: а) 125 • 8; б) 1000 : 125; в) 100 000 : 125; г) 8 • 1250.

Ответы на задание



Задача № 543

Найдите самое маленькое пятизначное число, в записи которого все цифры различны. Попробуйте найти и самое большое такое число.

Ответ на задачу



Задача № 544

Сравните на глаз отрезки АВ и ВС. Проверьте свой вывод измерением.

Ответ на задание



Задача № 545

Расстояние от Земли до Солнца 150 млн км. Сколько времени идет до Земли свет от Солнца, если за секунду он проходит 300 тыс. км? Сколько времени понадобилось бы ракете, чтобы преодолеть такое же расстояние, если ее скорость 15 км/с?

Ответ на задачку

Фото: 6019117.jpg (29.2 Kb) · 1306910.jpg (28.6 Kb) · 8754369.jpg (32.6 Kb) · 2375131.jpg (21.6 Kb) · 0093435.jpg (33.3 Kb)
 
 
БрошкаДата: Среда, 24.12.2014, 14:59 | Сообщение # 110
Генерал-майор
Группа: Проверенные
Сообщений: 378
Награды: 0
Репутация: 0
Статус: Offline


 
Работай из дома! 18+
 
 


Задача № 546

На изготовление одной детали робот тратит 2 мин 15 с. Сколько таких деталей он может изготовить за 9 суток непрерывной работы?

Ответ на задание



Задача № 547

За одни сутки через неплотно закрытый кран со струей толщиной в спичку теряется 400 л воды. Сколько восьмилитровых ведер попусту вытекает из этого крана за 30 дней?

Ответы на задание



Задача № 548

Найдите значение выражения: 1) 675 019 + 88 892 : 284 - 98 603; 2) 308 803 - 75 152 : 176 + 79 008; 3) 709 907- 2 480 065 : 413; 4) 4 789 368 : 228 - 2466.

Ответ на задачу



Задача № 549

Отцу х лет, а сыну у лет. Отец старше сына на 30 лет. Заполните пустые клетки в таблице: Во сколько раз отец был старше сына, когда сыну было: 1 год; 5 лет; 30 лет? Во сколько раз сын был моложе отца, когда отцу было 32 года; 35 лет; 45 лет?

Ответ на задание



Задача № 550

Выполните деление с остатком: а) 139 169 на 45; в) 157 996 на 322; б) 168 627 на 54; г) 135 725 на 297.

Ответ на задачку

Фото: 7869837.jpg (27.4 Kb) · 3574736.jpg (27.7 Kb) · 1747849.jpg (38.3 Kb) · 2594692.jpg (39.4 Kb) · 8643817.jpg (29.7 Kb)
 
 
БрошкаДата: Среда, 24.12.2014, 15:02 | Сообщение # 111
Генерал-майор
Группа: Проверенные
Сообщений: 378
Награды: 0
Репутация: 0
Статус: Offline


 
Работай из дома! 18+
 
 


Задача № 551

Используя рисунок, составьте и решите уравнение:

Ответ на задание



Задача № 552

По железной дороге нужно перевезти 750 т зерна. Сколько для этого потребуется вагонов, вмещающих каждый по 60 т зерна? В скольких вагонах, вмещающих по 40 т, можно перевезти это же зерно?

Ответы на задание



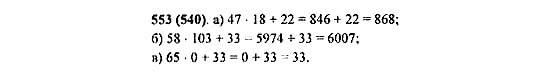
Задача № 553

Найдите делимое, если: а) неполное частное 18, делитель 47, а остаток 22; б) неполное частное 103, делитель 58, а остаток 33; в) неполное частное 0, делитель 65, а остаток 33.

Ответ на задачу



Задача № 554

Каждому выпускнику школы решили подарить по одинаковому букету цветов. Для этого купили 114 гвоздик. Когда в каждый букет добавили еще по 2 гвоздики, то в нем оказалось 5 цветков. Сколько выпускников было в школе?

Ответ на задание



Задача № 555

Запишите выражение: а) разность 8m + 6 и 2n + 5; б) сумма 9а - 6 и 116 - 3; в) произведение Зу и bх + 11; г) частное 7z - 1 и z + 3.

Ответ на задачку

Фото: 9151643.jpg (41.2 Kb) · 5866088.jpg (39.1 Kb) · 9815501.jpg (27.5 Kb) · 2994721.jpg (24.0 Kb) · 2992026.jpg (26.8 Kb)
 
 
БрошкаДата: Среда, 24.12.2014, 15:06 | Сообщение # 112
Генерал-майор
Группа: Проверенные
Сообщений: 378
Награды: 0
Репутация: 0
Статус: Offline


 
Работай из дома! 18+
 
 


Задача № 556

Выполните действия: а) 130 536 : 444 - 5829 : 87 + 58 606; б) 14 • (3600 • 18 - 239 200 : 46).

Ответ на задание



Задача № 557

Масса чашки 140 г, а масса блюдца 180 г. Купили 12 чашек с блюдцами. Сколько весит эта покупка? На сколько купленные чашки легче купленных блюдец?

Ответы на задание



Задача № 558

За 1 ч работы двигатель расходует 8 л дизельного топлива. До полудня двигатель работал 5 ч, а после полудня 3 ч. Сколько литров дизельного топлива израсходовали за все это время? На сколько больше израсходовали топлива в первой половине дня, чем во второй?

Ответ на задачу



Задача № 559

Найдите значение произведения с помощью распределительного свойства умножения: а) 91 • 8; б) 7 • 59 ; в) 6 • 52; г) 198 • 4; д) 202 • 3; е) 397 • 5; ж)24 • 11; з) 35 • 12; и) 4 • 505; к) 25 • 399.

Ответ на задание



Задача № 560

Найдите значение выражения: а) 69 • 27 + 31 • 27; г) 263 б) 202 • 87 - 102 • 87; д) 438 в) 977 • 49 + 49 • 23; е) 603

Ответ на задачку

Фото: 1363510.jpg (30.9 Kb) · 5588040.jpg (30.6 Kb) · 8852129.jpg (33.5 Kb) · 2662769.jpg (58.1 Kb) · 9611290.jpg (44.6 Kb)
 
 
БрошкаДата: Среда, 24.12.2014, 15:12 | Сообщение # 113
Генерал-майор
Группа: Проверенные
Сообщений: 378
Награды: 0
Репутация: 0
Статус: Offline


 
Работай из дома! 18+
 
 


Задача № 561

Примените распределительное свойство умножения: а) (68 + а) • 2; в) 17(14 - х); б) (b - 7) • 5; г) 13(2 + у).

Ответ на задание



Задача № 562

При каких значениях х верно равенство: а) 3(х + 5) = Зх + 15; г) (х + 2) • 4 = 2 • 4 + 2 б) (3 + b)х = Зх + 5х; д) (5 - 3)х = 5х - Зх; в) (7 + х) • 5 = 7 • 5 + 8 • 5; е) (5 - 3)х =bх - 3 • 2?

Ответы на задание



Задача № 563

Представьте в виде произведения выражение: а) 23а + 37а; в) 48x + х; д) 27р - 17р; ж) 32l - l; б) 4у + 26у; г) у 4- 56y; е) 84b - 80b; з) 1000k - k.

Ответ на задачу



Задача № 564

Пусть цена 1 кг муки а р., а цена 1 кг сахара b р. Что означает выражение: а) 9а + 9b; б) 9(а + b); в) 10b - 10а?

Ответ на задание



Задача № 565

Расстояние между двумя селами 18 км. Из них выехали в противоположные стороны два велосипедиста. Один проезжает в час т км, а другой — п км. Какое расстояние будет между ними через 4 ч?

Ответ на задачку

Фото: 5350173.jpg (32.0 Kb) · 3559972.jpg (42.4 Kb) · 6494861.jpg (31.4 Kb) · 5919740.jpg (35.9 Kb) · 6322087.jpg (27.1 Kb)
 
 
БрошкаДата: Среда, 24.12.2014, 15:14 | Сообщение # 114
Генерал-майор
Группа: Проверенные
Сообщений: 378
Награды: 0
Репутация: 0
Статус: Offline


 
Работай из дома! 18+
 
 


Задача № 566

Найдите значение выражения: а) 38а + 62а при а = 238; 489; б) 375b - 175b при b = 48; 517.

Ответ на задание



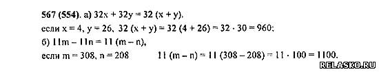
Задача № 567

Найдите значение выражения: а) 32x + 32y, если х = 4, у = 26; б) 11m - 11n, если m = 308, n = 208.

Ответы на задание



Задача № 568

Решите уравнение: а) 4х + 4х = 424; в) 9z -z = 500; д) 4l + 5l + l = 1200 б) 15y - 8у = 714; г) 10k - k = 702; е) 6t + 3t +t = 6400

Ответ на задачу



Задача № 569

Найдите, при каком значении буквы: а) выражение 7х больше 4х на 51; б) выражение 6р меньше 23p? на 102; в) сумма 8а и За равна 4466; г) разность 25с и 5с равна 6060.

Ответ на задание



Задача № 570

Запишите предложение в виде равенства и выясните, при каких значениях буквы это равенство верно: а) сумма Зх и bх равна 96; б) разность 11у и 2у равна 99; в) Зz больше, чем z, на 48; г) 27m на 12 меньше, чем 201; д) 8n вдвое меньше, чем 208; е) 380 в 19 раз больше 10р.

Ответ на задачку

Фото: 2180053.jpg (34.5 Kb) · 0952483.jpg (33.8 Kb) · 7322923.jpg (40.0 Kb) · 7700178.jpg (33.6 Kb) · 1076122.jpg (38.2 Kb)
 
 
БрошкаДата: Среда, 24.12.2014, 15:18 | Сообщение # 115
Генерал-майор
Группа: Проверенные
Сообщений: 378
Награды: 0
Репутация: 0
Статус: Offline


 
Работай из дома! 18+
 
 


Задача № 571

Составьте по рисунку 54 уравнение и решите его.

Ответ на задание



Задача № 572

Чему равны стороны прямоугольника на рисунке 55, если его периметр равен 240 см?

Ответы на задание



Задача № 573

Упростите выражение: а) За + 17 + За + 14; б) k + 35 4- 4k + 26.

Ответ на задачу



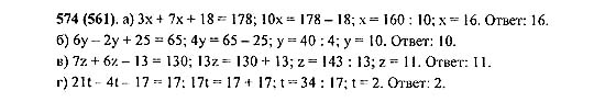
Задача № 574

Решите уравнение: а) Зх 4- 7х + 18 = 178; б) 6у - 2у + 25 = 65; в) 7z + 62 - 13 = 130; г) 21t - 4t - 17 = 17.

Ответ на задание



Задача № 575

Упростите выражение: а) 6 • 3 • k; б) 8 • р •21; в) r • 14 • 17

Ответ на задачку

Фото: 9856695.jpg (33.0 Kb) · 1185775.jpg (28.6 Kb) · 3371152.jpg (25.4 Kb) · 9494920.jpg (37.2 Kb) · 1801292.jpg (26.2 Kb)
 
 
БрошкаДата: Среда, 24.12.2014, 15:25 | Сообщение # 116
Генерал-майор
Группа: Проверенные
Сообщений: 378
Награды: 0
Репутация: 0
Статус: Offline


 
Работай из дома! 18+
 
 


Задача № 576

Решите уравнение: а) 4 • 25 • х = 800; б) у • 5 • 20 = 500; в) 21 • 8 • р = 168; г) m • 3 • 33 = 990.

Ответ на задание



Задача № 577

Я задумал число. Если его увеличить на 15, а результат умножить на 8, то получится 160. Какое число я задумал?

Ответы на задание



Задача № 578

В книге напечатаны рассказ и повесть, которые вместе занимают 70 страниц. Повесть занимает в 4 раза больше страниц, чем рассказ. Сколько страниц занимает рассказ и сколько повесть? Решение. Пусть рассказ занимает х страниц, тогда повесть занимает 4x страниц. По условию задачи, рассказ и повесть вместе занимают 70 страниц. Получаем уравнение: 4х + х = 70. Отсюда bх = 70, х = 70 : 5, х = 14. Значит, рассказ занимает 14 страниц, а повесть — 56 страниц (14 • 4 = 56). Проверка корня уравнения: 14 + 56 = 70.

Ответ на задачу

$IMAGE3$

Задача № 579

На уборке картофеля собрали 1650 кг за день. После обеда собрали в 2 раза меньше, чем до обеда. Сколько картофеля собрали после обеда?

Ответ на задание



Задача № 580

Для школы купили 220 столов и стульев, причем стульев — в 9 раз больше, чем столов. Сколько столов и сколько стульев купили?

Ответ на задачку

Фото: 1499401.jpg (31.3 Kb) · 8354306.jpg (35.5 Kb) · 8203238.jpg (33.4 Kb) · 6498072.jpg (35.4 Kb)
 
 
БрошкаДата: Среда, 24.12.2014, 15:30 | Сообщение # 117
Генерал-майор
Группа: Проверенные
Сообщений: 378
Награды: 0
Репутация: 0
Статус: Offline


 
Работай из дома! 18+
 
 


Задача № 581

Площадь кухни в 3 раза меньше площади комнаты, поэтому для ремонта пола кухни потребовалось на 24 м2 линолеума меньше, чем для комнаты. Какова площадь кухни?

Ответ на задание



Задача № 582

Точка М делит отрезок АВ на два отрезка: AM и MB. Отрезок AM длиннее отрезка MB в 5 раз, а отрезок MB короче отрезка AM на 24 мм. Найдите длину отрезка AM, длину отрезка MB и длину отрезка АВ.

Ответы на задание



Задача № 583

Для приготовления напитка берут 2 части вишневого сиропа и 5 частей воды. Сколько надо взять сиропа, чтобы получить 700 г напитка?

Ответ на задачу

$IMAGE3$

Задача № 584

При помоле ржи получается б частей муки и 2 части отрубей. Сколько получится муки, если смолоть 1 т ржи?

Ответ на задание



Задача № 585

Чтобы приготовить состав для полировки медных изделий, берут 10 частей воды, 5 частей нашатырного спирта и 2 части мела (по массе). Сколько граммов каждого вещества надо взять, чтобы приготовить 340 г состава?

Ответ на задачку

Фото: 8122537.jpg (31.2 Kb) · 0061840.jpg (42.5 Kb) · 9252318.jpg (35.5 Kb) · 6166719.jpg (43.5 Kb)
 
 
БрошкаДата: Среда, 24.12.2014, 15:33 | Сообщение # 118
Генерал-майор
Группа: Проверенные
Сообщений: 378
Награды: 0
Репутация: 0
Статус: Offline


 
Работай из дома! 18+
 
 


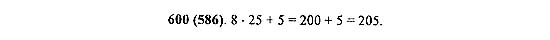
Задача № 586

Для приготовления бутылочного стекла берут 25 частей песка, 9 частей соды и 5 частей извести (по массе). Сколько потребуется соды, чтобы изготовить 390 кг стекла?

Ответ на задание



Задача № 587

Мороженое содержит 7 частей воды, 2 части молочного жира и 2 части сахара (по массе). Сколько потребуется сахара для приготовления 4400 кг мороженого?

Ответы на задание



Задача № 588

На одной стороне улицы вдвое больше домов, чем на другой. Когда на улице построили еще 12 домов, то всего стало 99 домов. Сколько домов было на каждой стороне улицы?

Ответ на задачу



Задача № 589

По числовому равенству 3*12 + 4*12 + 15*12 = 264 составьте уравнение, имеющее корень 12 и содержащее три раза букву х. Придумайте задачу по этому уравнению.

Ответ на задание



Задача № 590

Вычислите устно:

Ответ на задачку

Фото: 2266033.jpg (38.8 Kb) · 8766112.jpg (40.1 Kb) · 6347662.jpg (41.5 Kb) · 2455354.jpg (24.6 Kb) · 5799685.jpg (31.5 Kb)
 
 
БрошкаДата: Среда, 24.12.2014, 15:37 | Сообщение # 119
Генерал-майор
Группа: Проверенные
Сообщений: 378
Награды: 0
Репутация: 0
Статус: Offline


 
Работай из дома! 18+
 
 


Задача № 591

Найдите значение выражения наиболее удобным способом: а) 125 • 23 • 8; б) 11 • 16 • 125; в) 19 + 78 + 845 + 81 + 155.

Ответ на задание



Задача № 592

Найдите корень уравнения: а) 45 = 45 + у в) у - 45 = 45; б) 45 - у = 45; г) 0 = 45 - х.

Ответы на задание



Задача № 593

Угадайте корни уравнения: а) х- 197 = 2945 - 197; б) у : 89 = 1068 : 89; в) 365а = 53 • 365.

Ответ на задачу



Задача № 594

Придумайте задачу по уравнению: а) За + 2а = 75; б) с + с + с = 46 + с; в) m + 5m = 90.

Ответ на задание

$IMAGE4$

Задача № 595

При сложении каких чисел может получиться 0? Подумайте, в каких случаях получится число 0 при вычитании, при умножении, при делении.

Ответ на задачку

Фото: 7980774.jpg (32.5 Kb) · 2170979.jpg (32.4 Kb) · 0558543.jpg (30.5 Kb) · 4610643.jpg (39.2 Kb)
 
 
БрошкаДата: Среда, 24.12.2014, 15:40 | Сообщение # 120
Генерал-майор
Группа: Проверенные
Сообщений: 378
Награды: 0
Репутация: 0
Статус: Offline


 
Работай из дома! 18+
 
 


Задача № 596

Сумма пяти натуральных чисел равна произведению этих чисел. Какие это числа?

Ответ на задание



Задача № 597

Саша любит решать трудные задачи. Он рассказал, что за 4 дня смог решить 23 задачи. В каждый следующий день он решал больше задач, чем в предыдущий, и в четвертый день решил вчетверо больше, чем в первый. Сколько задач решил Саша в каждый из этих четырех дней?

Ответы на задание



Задача № 598

Код для открывания сейфа состоит из четырех цифр. Сколько существует различных вариантов кода для этого сейфа?

Ответ на задачу



Задача № 599

Выполните деление с остатком: 978 : 13; 780 : 24; 4295 : 126.

Ответ на задание



Задача № 600

Найдите делимое, если неполное частное 25, делитель 8, остаток 5.

Ответ на задачку




Продолжение решебника по Математике

Фото: 4589129.jpg (29.6 Kb) · 6488258.jpg (33.4 Kb) · 5708136.jpg (26.7 Kb) · 4566648.jpg (25.1 Kb) · 2870779.jpg (23.1 Kb)
 
 
Поиск:

Работай из дома! 18+
 
 
 
 
 
 

 
Последние темы на форуме:
 
  • Новогодние праздники 2021-2022 официальные выходные
  • Показатели давления и сердцебиения у женщины 57 лет
  • Гороскоп на декабрь 2021 Женщина Телец
  • Гороскоп на январь 2022 от Павла Глоба
  • Гороскоп на декабрь 2021 от Павла Глоба
  • Гороскоп на ноябрь 2021 от Павла Глоба
  • Стенограмма судьбы - Содержание серий, актеры и роли сериала
  • Мосгаз. Западня - Содержание серий, актеры и роли 2021
  • Тобол - Содержание серий, актеры и роли сериала. 2021
  • Гороскоп для Тигра на сегодня от Павла Глоба
  • Утраченные воспоминания - Содержание серий, актеры и роли
  • Чёрно-белая любовь - Содержание серий, актеры и роли сериала
  • Забытая женщина - Содержание серий, актеры и роли сериала
  • Тайна спящей дамы - Содержание серий, актеры и роли сериала
  • Сериал Часы с кукушкой - Содержание серий, актеры и роли
  •  
     

     
    Обращаем ваше внимание на то, что данный интернет-сайт www.kinolog.do.am носит исключительно информационный характер и ни при каких условиях не является публичной офертой, определяемой положениями Статьи 437 (2) Гражданского кодекса РФ. Цена и наличие товара может отличаться от действительной. Пожалуйста, уточняйте цены и наличие товара у наших менеджеров.
    Администрация сайта не несет ответственности за действия и содержание размещаемой информации пользователей: комментарии, материалы, сообщения и темы на форуме, публикации, объявления и т.д.
    Правообладателям | Реклама | Учебники | Политика
    Отопление, водоснабжение, газоснабжение, канализация © 2003 - 2021
    Рейтинг@Mail.ru Рейтинг арматурных сайтов. ARMTORG.RU Яндекс.Метрика