[ Новые сообщения · Участники · Правила форума · Поиск · RSS ]
 
Работай из дома! 18+

Решебник по Алгебре. 10 - 11 класс. Мордкович
CSKAДата: Среда, 02.09.2015, 17:34 | Сообщение # 106
Полковник
Группа: Проверенные
Сообщений: 169
Награды: 0
Репутация: 0
Статус: Offline


 
Работай из дома! 18+
 
 


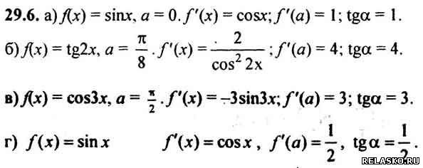
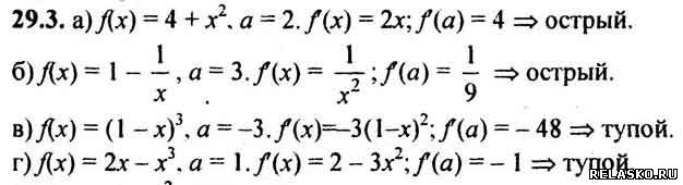
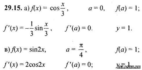
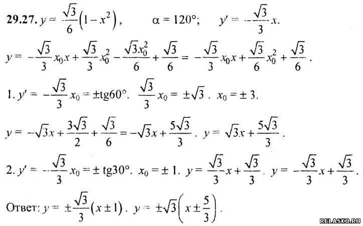
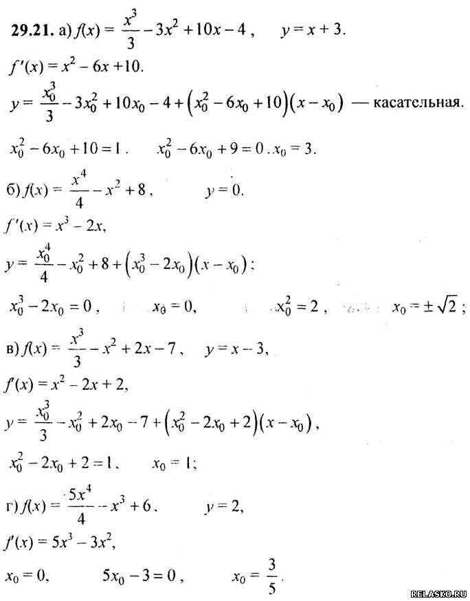
Ответы на задания из параграфа № 29. Мордкович А. Г. Алгебра 10-11 класс.

Для увеличения ответа на задачу, нажмите на картинку



---------------------------------------------------------------------



---------------------------------------------------------------------



---------------------------------------------------------------------



---------------------------------------------------------------------



---------------------------------------------------------------------

Перейти в оглавление решебника по Алгебре. Мордкович
Фото: 9406778.jpg (4.5 Kb) · 0661694.jpg (10.4 Kb) · 9342872.jpg (12.7 Kb) · 7516158.jpg (9.8 Kb) · 0578442.jpg (16.5 Kb)
 
 
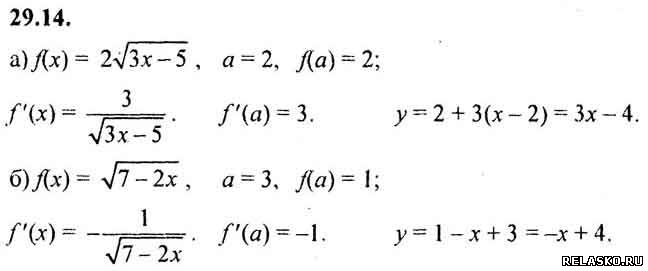
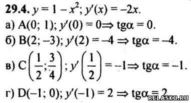
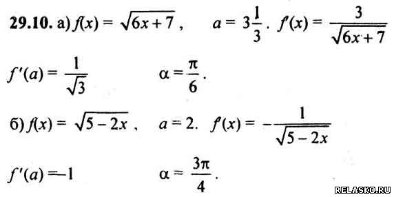
CSKAДата: Среда, 02.09.2015, 17:34 | Сообщение # 107
Полковник
Группа: Проверенные
Сообщений: 169
Награды: 0
Репутация: 0
Статус: Offline


 
Работай из дома! 18+
 
 


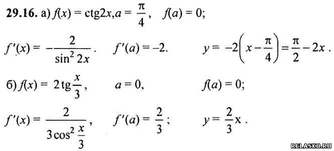
Ответы на задания из параграфа № 29. Мордкович А. Г. Алгебра 10-11 класс.

Для увеличения ответа на задачу, нажмите на картинку



---------------------------------------------------------------------



---------------------------------------------------------------------



---------------------------------------------------------------------



---------------------------------------------------------------------



---------------------------------------------------------------------

Перейти в оглавление решебника по Алгебре. Мордкович
Фото: 6376983.jpg (13.2 Kb) · 2081896.jpg (12.6 Kb) · 4457999.jpg (8.8 Kb) · 4494777.jpg (12.0 Kb) · 1827240.jpg (9.2 Kb)
 
 
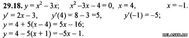
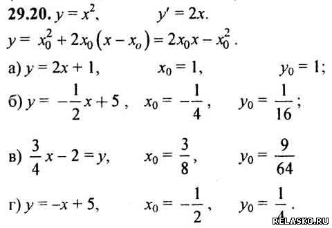
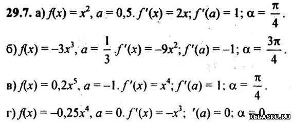
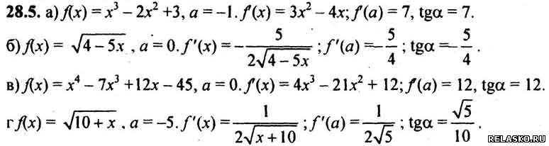
CSKAДата: Среда, 02.09.2015, 17:35 | Сообщение # 108
Полковник
Группа: Проверенные
Сообщений: 169
Награды: 0
Репутация: 0
Статус: Offline


 
Работай из дома! 18+
 
 


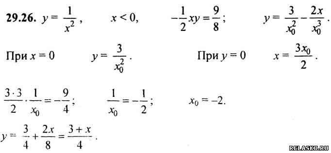
Ответы на задания из параграфа № 29. Мордкович А. Г. Алгебра 10-11 класс.

Для увеличения ответа на задачу, нажмите на картинку



---------------------------------------------------------------------



---------------------------------------------------------------------



---------------------------------------------------------------------



---------------------------------------------------------------------



---------------------------------------------------------------------

Перейти в оглавление решебника по Алгебре. Мордкович
Фото: 4066602.jpg (9.3 Kb) · 7291842.jpg (15.8 Kb) · 7144253.jpg (13.9 Kb) · 2456454.jpg (10.7 Kb) · 3280218.jpg (8.2 Kb)
 
 
CSKAДата: Среда, 02.09.2015, 17:35 | Сообщение # 109
Полковник
Группа: Проверенные
Сообщений: 169
Награды: 0
Репутация: 0
Статус: Offline


 
Работай из дома! 18+
 
 


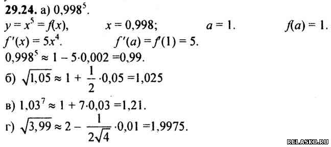
Ответы на задания из параграфа № 29. Мордкович А. Г. Алгебра 10-11 класс.

Для увеличения ответа на задачу, нажмите на картинку



---------------------------------------------------------------------



---------------------------------------------------------------------



---------------------------------------------------------------------



---------------------------------------------------------------------



---------------------------------------------------------------------

Перейти в оглавление решебника по Алгебре. Мордкович
Фото: 7117942.jpg (11.8 Kb) · 2848947.jpg (6.2 Kb) · 0115020.jpg (7.1 Kb) · 8155933.jpg (13.2 Kb) · 5092348.jpg (10.9 Kb)
 
 
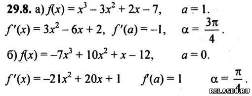
CSKAДата: Среда, 02.09.2015, 17:39 | Сообщение # 110
Полковник
Группа: Проверенные
Сообщений: 169
Награды: 0
Репутация: 0
Статус: Offline


 
Работай из дома! 18+
 
 


Ответы на задания из параграфа № 29. Мордкович А. Г. Алгебра 10-11 класс.

Для увеличения ответа на задачу, нажмите на картинку



---------------------------------------------------------------------



---------------------------------------------------------------------



---------------------------------------------------------------------



---------------------------------------------------------------------



---------------------------------------------------------------------

Перейти в оглавление решебника по Алгебре. Мордкович
Фото: 9608911.jpg (28.7 Kb) · 0046059.jpg (15.6 Kb) · 7301927.jpg (12.5 Kb) · 2418676.jpg (13.2 Kb) · 7208519.jpg (27.1 Kb)
 
 
CSKAДата: Среда, 02.09.2015, 17:39 | Сообщение # 111
Полковник
Группа: Проверенные
Сообщений: 169
Награды: 0
Репутация: 0
Статус: Offline


 
Работай из дома! 18+
 
 


Ответы на задания из параграфа № 29. Мордкович А. Г. Алгебра 10-11 класс.

Для увеличения ответа на задачу, нажмите на картинку



---------------------------------------------------------------------



---------------------------------------------------------------------

Перейти в оглавление решебника по Алгебре. Мордкович
Фото: 9228173.jpg (10.2 Kb) · 6143574.jpg (21.7 Kb)
 
 
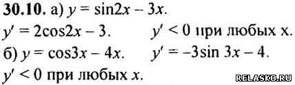
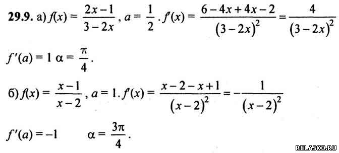
CSKAДата: Среда, 02.09.2015, 17:43 | Сообщение # 112
Полковник
Группа: Проверенные
Сообщений: 169
Награды: 0
Репутация: 0
Статус: Offline


 
Работай из дома! 18+
 
 


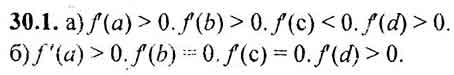
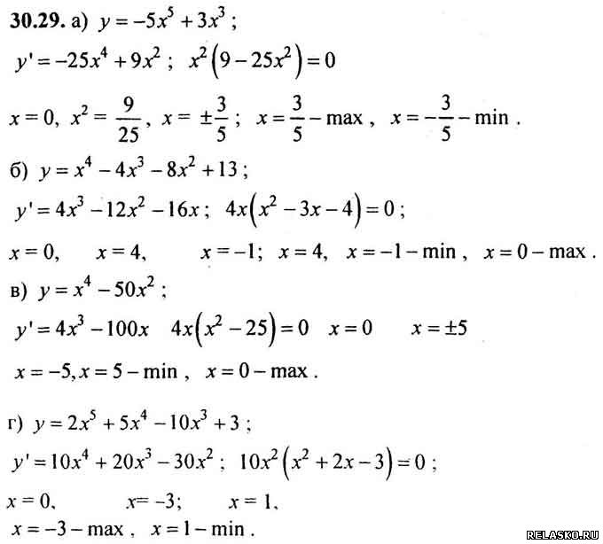
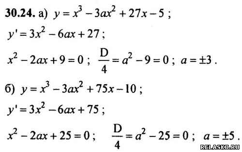
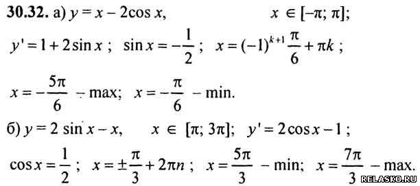
Ответы на задания из параграфа № 30. Мордкович А. Г. Алгебра 10-11 класс.

Для увеличения ответа на задачу, нажмите на картинку



---------------------------------------------------------------------



---------------------------------------------------------------------



---------------------------------------------------------------------



---------------------------------------------------------------------



---------------------------------------------------------------------

Перейти в оглавление решебника по Алгебре. Мордкович
Фото: 4537986.jpg (5.1 Kb) · 5416871.jpg (9.3 Kb) · 8740919.jpg (13.2 Kb) · 2779336.jpg (0.8 Kb) · 3099496.jpg (1.6 Kb)
 
 
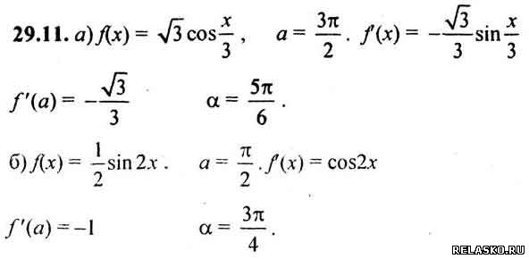
CSKAДата: Среда, 02.09.2015, 17:44 | Сообщение # 113
Полковник
Группа: Проверенные
Сообщений: 169
Награды: 0
Репутация: 0
Статус: Offline


 
Работай из дома! 18+
 
 


Ответы на задания из параграфа № 30. Мордкович А. Г. Алгебра 10-11 класс.

Для увеличения ответа на задачу, нажмите на картинку



---------------------------------------------------------------------



---------------------------------------------------------------------



---------------------------------------------------------------------



---------------------------------------------------------------------



---------------------------------------------------------------------

Перейти в оглавление решебника по Алгебре. Мордкович
Фото: 9979557.jpg (1.6 Kb) · 3294073.jpg (3.1 Kb) · 7359193.jpg (15.2 Kb) · 8196407.jpg (13.1 Kb) · 2344382.jpg (6.3 Kb)
 
 
CSKAДата: Среда, 02.09.2015, 17:44 | Сообщение # 114
Полковник
Группа: Проверенные
Сообщений: 169
Награды: 0
Репутация: 0
Статус: Offline


 
Работай из дома! 18+
 
 


Ответы на задания из параграфа № 30. Мордкович А. Г. Алгебра 10-11 класс.

Для увеличения ответа на задачу, нажмите на картинку



---------------------------------------------------------------------



---------------------------------------------------------------------



---------------------------------------------------------------------



---------------------------------------------------------------------



---------------------------------------------------------------------

Перейти в оглавление решебника по Алгебре. Мордкович
Фото: 4709758.jpg (11.5 Kb) · 9117522.jpg (20.4 Kb) · 1723420.jpg (19.9 Kb) · 2408463.jpg (17.3 Kb) · 5714966.jpg (21.5 Kb)
 
 
CSKAДата: Среда, 02.09.2015, 17:45 | Сообщение # 115
Полковник
Группа: Проверенные
Сообщений: 169
Награды: 0
Репутация: 0
Статус: Offline


 
Работай из дома! 18+
 
 


Ответы на задания из параграфа № 30. Мордкович А. Г. Алгебра 10-11 класс.

Для увеличения ответа на задачу, нажмите на картинку



---------------------------------------------------------------------



---------------------------------------------------------------------



---------------------------------------------------------------------



---------------------------------------------------------------------



---------------------------------------------------------------------

Перейти в оглавление решебника по Алгебре. Мордкович
Фото: 4015773.jpg (23.5 Kb) · 5509398.jpg (6.5 Kb) · 8980194.jpg (2.6 Kb) · 5511064.jpg (2.0 Kb) · 7864169.jpg (1.9 Kb)
 
 
CSKAДата: Среда, 02.09.2015, 17:45 | Сообщение # 116
Полковник
Группа: Проверенные
Сообщений: 169
Награды: 0
Репутация: 0
Статус: Offline


 
Работай из дома! 18+
 
 


Ответы на задания из параграфа № 30. Мордкович А. Г. Алгебра 10-11 класс.

Для увеличения ответа на задачу, нажмите на картинку



---------------------------------------------------------------------



---------------------------------------------------------------------



---------------------------------------------------------------------



---------------------------------------------------------------------



---------------------------------------------------------------------

Перейти в оглавление решебника по Алгебре. Мордкович
Фото: 6061387.jpg (3.1 Kb) · 4498351.jpg (15.1 Kb) · 4387276.jpg (2.2 Kb) · 9585584.jpg (11.0 Kb) · 9034479.jpg (2.4 Kb)
 
 
CSKAДата: Среда, 02.09.2015, 17:46 | Сообщение # 117
Полковник
Группа: Проверенные
Сообщений: 169
Награды: 0
Репутация: 0
Статус: Offline


 
Работай из дома! 18+
 
 


Ответы на задания из параграфа № 30. Мордкович А. Г. Алгебра 10-11 класс.

Для увеличения ответа на задачу, нажмите на картинку



---------------------------------------------------------------------



---------------------------------------------------------------------



---------------------------------------------------------------------



---------------------------------------------------------------------



---------------------------------------------------------------------

Перейти в оглавление решебника по Алгебре. Мордкович
Фото: 5751564.jpg (13.4 Kb) · 2414141.jpg (11.3 Kb) · 9134600.jpg (20.2 Kb) · 6344962.jpg (24.7 Kb) · 1474249.jpg (8.2 Kb)
 
 
CSKAДата: Среда, 02.09.2015, 17:46 | Сообщение # 118
Полковник
Группа: Проверенные
Сообщений: 169
Награды: 0
Репутация: 0
Статус: Offline


 
Работай из дома! 18+
 
 


Ответы на задания из параграфа № 30. Мордкович А. Г. Алгебра 10-11 класс.

Для увеличения ответа на задачу, нажмите на картинку



---------------------------------------------------------------------



---------------------------------------------------------------------

Перейти в оглавление решебника по Алгебре. Мордкович
Фото: 6974314.jpg (8.5 Kb) · 2636757.jpg (12.3 Kb)
 
 
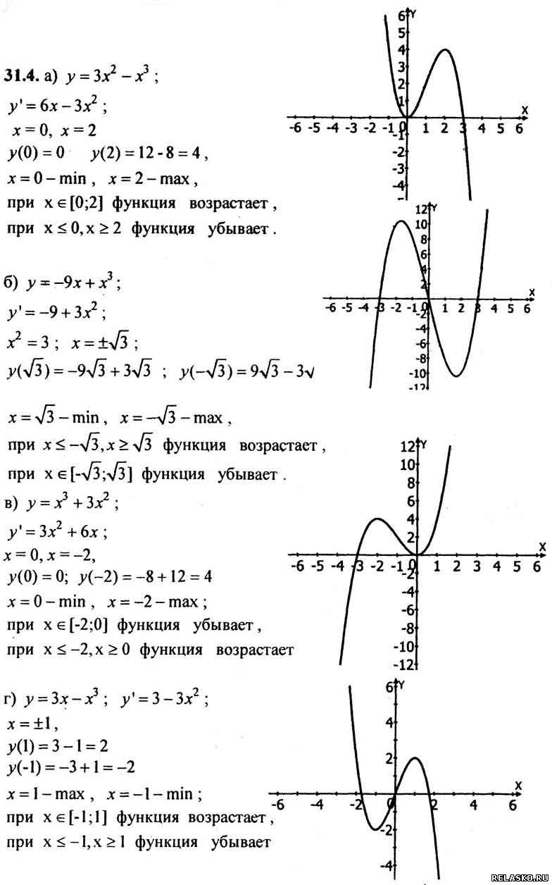
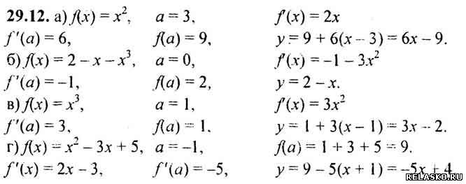
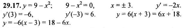
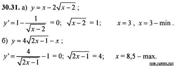
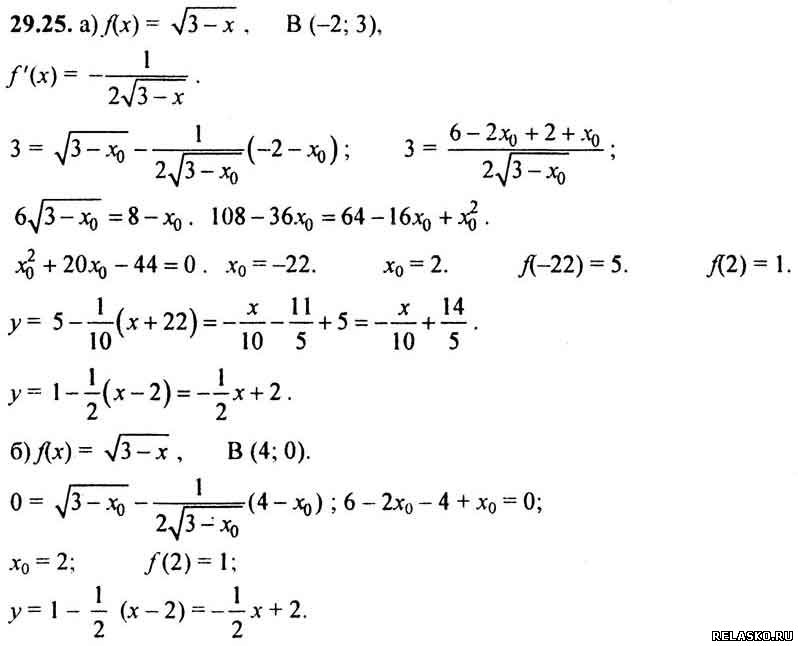
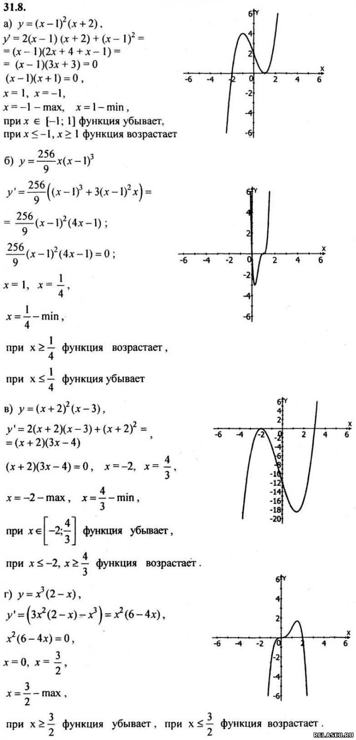
CSKAДата: Среда, 02.09.2015, 17:48 | Сообщение # 119
Полковник
Группа: Проверенные
Сообщений: 169
Награды: 0
Репутация: 0
Статус: Offline


 
Работай из дома! 18+
 
 


Ответы на задания из параграфа № 31. Мордкович А. Г. Алгебра 10-11 класс.

Для увеличения ответа на задачу, нажмите на картинку



---------------------------------------------------------------------



---------------------------------------------------------------------



---------------------------------------------------------------------



---------------------------------------------------------------------



---------------------------------------------------------------------

Продолжение ответов из задачника по Алгебре. Мордкович
Фото: 3166005.jpg (6.9 Kb) · 2405834.jpg (7.5 Kb) · 6609861.jpg (90.9 Kb) · 3520167.jpg (62.7 Kb) · 1749640.jpg (54.4 Kb)
 
 
CSKAДата: Среда, 02.09.2015, 17:49 | Сообщение # 120
Полковник
Группа: Проверенные
Сообщений: 169
Награды: 0
Репутация: 0
Статус: Offline


 
Работай из дома! 18+
 
 




Ответы на задания из параграфа № 31. Мордкович А. Г. Алгебра 10-11 класс.

Для увеличения ответа на задачу, нажмите на картинку



---------------------------------------------------------------------



---------------------------------------------------------------------



---------------------------------------------------------------------



---------------------------------------------------------------------



---------------------------------------------------------------------

Перейти в оглавление решебника по Алгебре. Мордкович
Фото: 5171661.jpg (57.0 Kb) · 4058379.jpg (90.6 Kb) · 6226316.jpg (89.4 Kb) · 5262216.jpg (36.8 Kb) · 3759890.jpg (23.7 Kb)
 
 
Поиск:

Работай из дома! 18+
 
 
 
 
 
 

 
Последние темы на форуме:
 
  • Новогодние праздники 2021-2022 официальные выходные
  • Показатели давления и сердцебиения у женщины 57 лет
  • Гороскоп на декабрь 2021 Женщина Телец
  • Гороскоп на январь 2022 от Павла Глоба
  • Гороскоп на декабрь 2021 от Павла Глоба
  • Гороскоп на ноябрь 2021 от Павла Глоба
  • Стенограмма судьбы - Содержание серий, актеры и роли сериала
  • Мосгаз. Западня - Содержание серий, актеры и роли 2021
  • Тобол - Содержание серий, актеры и роли сериала. 2021
  • Гороскоп для Тигра на сегодня от Павла Глоба
  • Утраченные воспоминания - Содержание серий, актеры и роли
  • Чёрно-белая любовь - Содержание серий, актеры и роли сериала
  • Забытая женщина - Содержание серий, актеры и роли сериала
  • Тайна спящей дамы - Содержание серий, актеры и роли сериала
  • Сериал Часы с кукушкой - Содержание серий, актеры и роли
  •  
     

     
    Обращаем ваше внимание на то, что данный интернет-сайт www.kinolog.do.am носит исключительно информационный характер и ни при каких условиях не является публичной офертой, определяемой положениями Статьи 437 (2) Гражданского кодекса РФ. Цена и наличие товара может отличаться от действительной. Пожалуйста, уточняйте цены и наличие товара у наших менеджеров.
    Администрация сайта не несет ответственности за действия и содержание размещаемой информации пользователей: комментарии, материалы, сообщения и темы на форуме, публикации, объявления и т.д.
    Правообладателям | Реклама | Учебники | Политика
    Отопление, водоснабжение, газоснабжение, канализация © 2003 - 2021
    Рейтинг@Mail.ru Рейтинг арматурных сайтов. ARMTORG.RU Яндекс.Метрика