[ Новые сообщения · Участники · Правила форума · Поиск · RSS ]
 
Работай из дома! 18+

Решебник по Алгебре. 10 - 11 класс. Мордкович
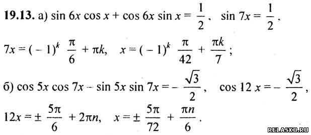
CSKAДата: Среда, 02.09.2015, 16:24 | Сообщение # 61
Полковник
Группа: Проверенные
Сообщений: 169
Награды: 0
Репутация: 0
Статус: Offline


 
Работай из дома! 18+
 
 


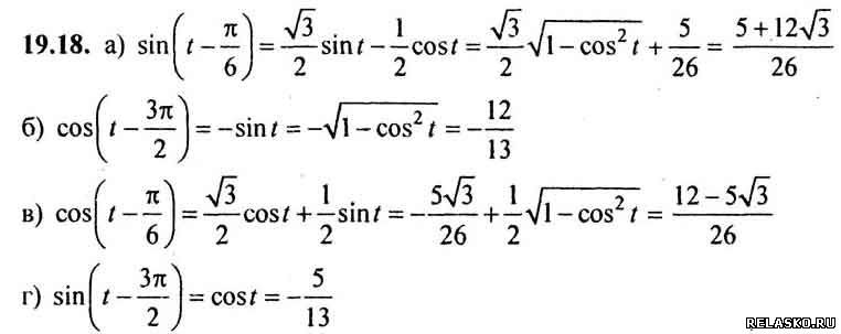
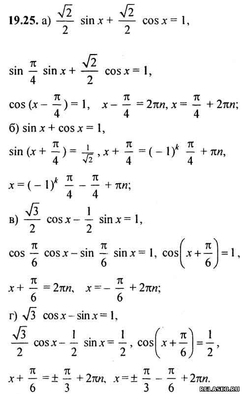
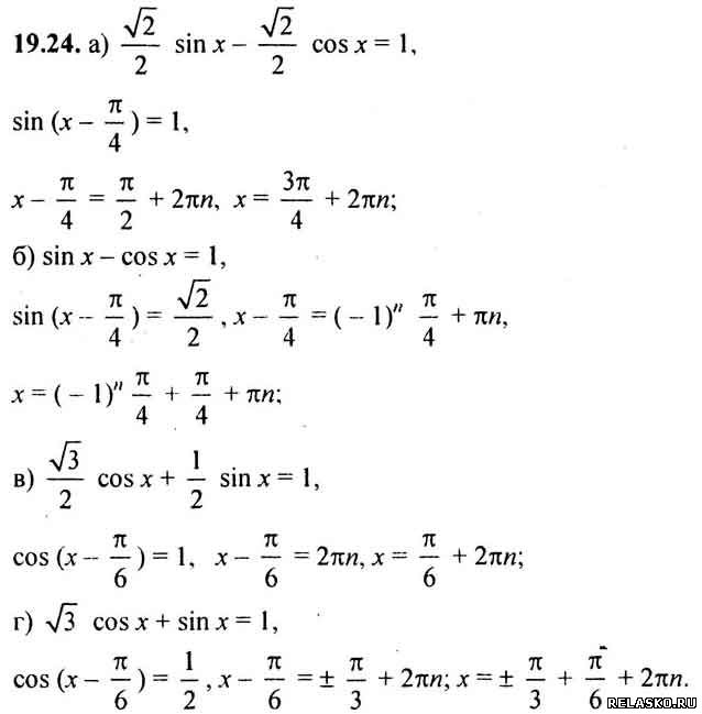
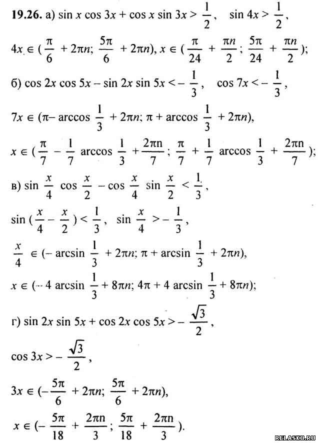
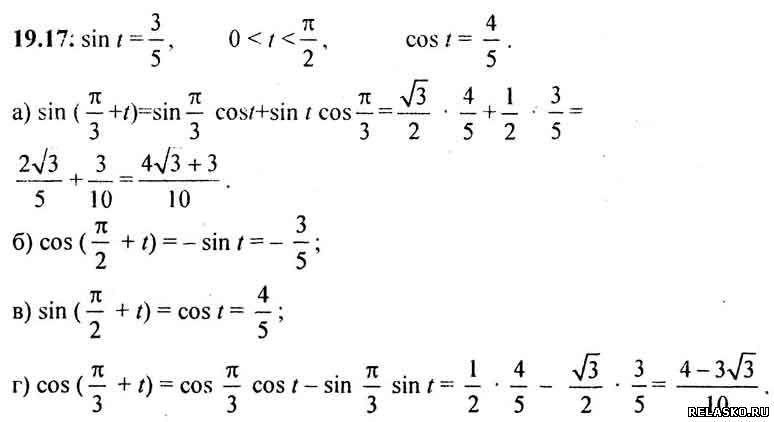
Ответы на задания из параграфа № 19. Мордкович А. Г. Алгебра 10-11 класс.

Для увеличения ответа на задачу, нажмите на картинку



---------------------------------------------------------------------



---------------------------------------------------------------------



---------------------------------------------------------------------



---------------------------------------------------------------------



---------------------------------------------------------------------

Перейти в оглавление решебника по Алгебре. Мордкович
Фото: 5338331.jpg (9.3 Kb) · 3492974.jpg (11.1 Kb) · 1169237.jpg (7.4 Kb) · 2973596.jpg (6.8 Kb) · 1362588.jpg (15.2 Kb)
 
 
CSKAДата: Среда, 02.09.2015, 16:25 | Сообщение # 62
Полковник
Группа: Проверенные
Сообщений: 169
Награды: 0
Репутация: 0
Статус: Offline


 
Работай из дома! 18+
 
 


Ответы на задания из параграфа № 19. Мордкович А. Г. Алгебра 10-11 класс.

Для увеличения ответа на задачу, нажмите на картинку



---------------------------------------------------------------------



---------------------------------------------------------------------



---------------------------------------------------------------------



---------------------------------------------------------------------



---------------------------------------------------------------------

Перейти в оглавление решебника по Алгебре. Мордкович
Фото: 9748440.jpg (19.0 Kb) · 1386699.jpg (10.8 Kb) · 7859940.jpg (11.7 Kb) · 7243008.jpg (10.9 Kb) · 0980014.jpg (14.8 Kb)
 
 
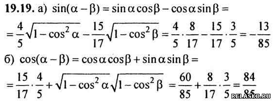
CSKAДата: Среда, 02.09.2015, 16:25 | Сообщение # 63
Полковник
Группа: Проверенные
Сообщений: 169
Награды: 0
Репутация: 0
Статус: Offline


 
Работай из дома! 18+
 
 


Ответы на задания из параграфа № 19. Мордкович А. Г. Алгебра 10-11 класс.

Для увеличения ответа на задачу, нажмите на картинку



---------------------------------------------------------------------



---------------------------------------------------------------------



---------------------------------------------------------------------



---------------------------------------------------------------------



---------------------------------------------------------------------

Перейти в оглавление решебника по Алгебре. Мордкович
Фото: 2520296.jpg (20.6 Kb) · 1112975.jpg (17.5 Kb) · 9994525.jpg (16.5 Kb) · 5431574.jpg (13.9 Kb) · 8211657.jpg (14.0 Kb)
 
 
CSKAДата: Среда, 02.09.2015, 16:25 | Сообщение # 64
Полковник
Группа: Проверенные
Сообщений: 169
Награды: 0
Репутация: 0
Статус: Offline


 
Работай из дома! 18+
 
 


Ответы на задания из параграфа № 19. Мордкович А. Г. Алгебра 10-11 класс.

Для увеличения ответа на задачу, нажмите на картинку



---------------------------------------------------------------------



---------------------------------------------------------------------



---------------------------------------------------------------------



---------------------------------------------------------------------



---------------------------------------------------------------------

Перейти в оглавление решебника по Алгебре. Мордкович
Фото: 4789425.jpg (12.9 Kb) · 7056707.jpg (21.7 Kb) · 2201851.jpg (13.1 Kb) · 0020116.jpg (21.0 Kb) · 1088893.jpg (25.3 Kb)
 
 
CSKAДата: Среда, 02.09.2015, 16:26 | Сообщение # 65
Полковник
Группа: Проверенные
Сообщений: 169
Награды: 0
Репутация: 0
Статус: Offline


 
Работай из дома! 18+
 
 


Ответы на задания из параграфа № 19. Мордкович А. Г. Алгебра 10-11 класс.

Для увеличения ответа на задачу, нажмите на картинку



---------------------------------------------------------------------

Перейти в оглавление решебника по Алгебре. Мордкович
Фото: 7085858.jpg (36.3 Kb)
 
 
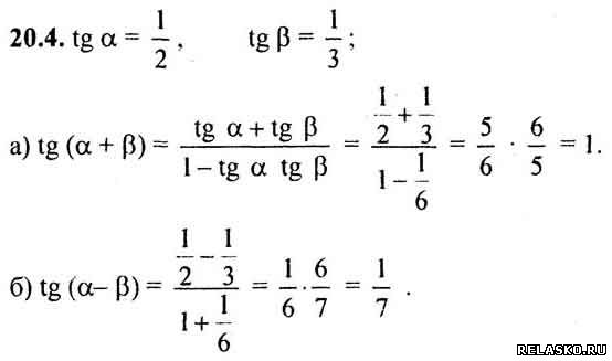
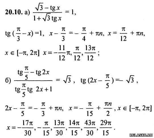
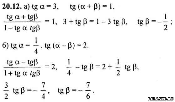
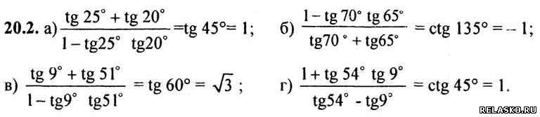
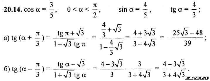
CSKAДата: Среда, 02.09.2015, 16:28 | Сообщение # 66
Полковник
Группа: Проверенные
Сообщений: 169
Награды: 0
Репутация: 0
Статус: Offline


 
Работай из дома! 18+
 
 


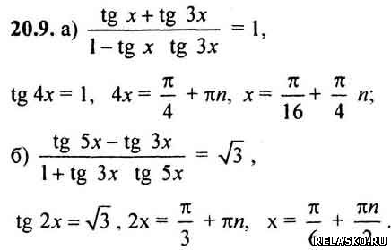
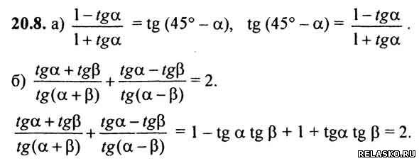
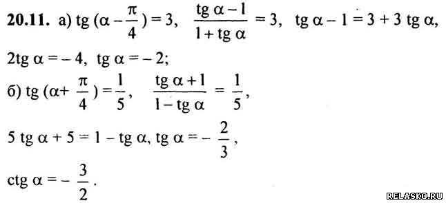
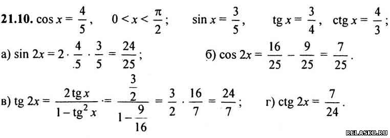
Ответы на задания из параграфа № 20. Мордкович А. Г. Алгебра 10-11 класс.

Для увеличения ответа на задачу, нажмите на картинку



---------------------------------------------------------------------



---------------------------------------------------------------------



---------------------------------------------------------------------



---------------------------------------------------------------------



---------------------------------------------------------------------

Перейти в оглавление решебника по Алгебре. Мордкович
Фото: 0575271.jpg (19.0 Kb) · 6927359.jpg (12.0 Kb) · 7699610.jpg (20.0 Kb) · 7358156.jpg (9.4 Kb) · 2888607.jpg (13.6 Kb)
 
 
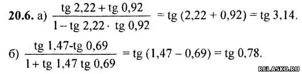
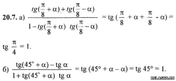
CSKAДата: Среда, 02.09.2015, 16:29 | Сообщение # 67
Полковник
Группа: Проверенные
Сообщений: 169
Награды: 0
Репутация: 0
Статус: Offline


 
Работай из дома! 18+
 
 


Ответы на задания из параграфа № 20. Мордкович А. Г. Алгебра 10-11 класс.

Для увеличения ответа на задачу, нажмите на картинку



---------------------------------------------------------------------



---------------------------------------------------------------------



---------------------------------------------------------------------



---------------------------------------------------------------------



---------------------------------------------------------------------

Перейти в оглавление решебника по Алгебре. Мордкович
Фото: 0601429.jpg (9.1 Kb) · 4005690.jpg (10.9 Kb) · 1473573.jpg (11.9 Kb) · 6297467.jpg (9.8 Kb) · 6688053.jpg (17.8 Kb)
 
 
CSKAДата: Среда, 02.09.2015, 16:29 | Сообщение # 68
Полковник
Группа: Проверенные
Сообщений: 169
Награды: 0
Репутация: 0
Статус: Offline


 
Работай из дома! 18+
 
 


Ответы на задания из параграфа № 20. Мордкович А. Г. Алгебра 10-11 класс.

Для увеличения ответа на задачу, нажмите на картинку



---------------------------------------------------------------------



---------------------------------------------------------------------



---------------------------------------------------------------------



---------------------------------------------------------------------



---------------------------------------------------------------------

Перейти в оглавление решебника по Алгебре. Мордкович
Фото: 2701208.jpg (10.6 Kb) · 7914942.jpg (12.0 Kb) · 8364881.jpg (13.3 Kb) · 2172483.jpg (15.0 Kb) · 8085911.jpg (11.8 Kb)
 
 
CSKAДата: Среда, 02.09.2015, 16:30 | Сообщение # 69
Полковник
Группа: Проверенные
Сообщений: 169
Награды: 0
Репутация: 0
Статус: Offline


 
Работай из дома! 18+
 
 


Ответы на задания из параграфа № 20. Мордкович А. Г. Алгебра 10-11 класс.

Для увеличения ответа на задачу, нажмите на картинку



---------------------------------------------------------------------

Перейти в оглавление решебника по Алгебре. Мордкович
Фото: 0442693.jpg (12.7 Kb)
 
 
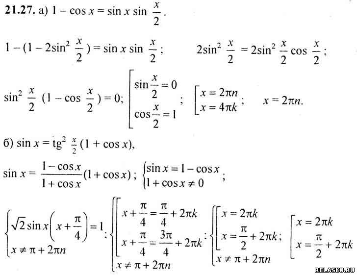
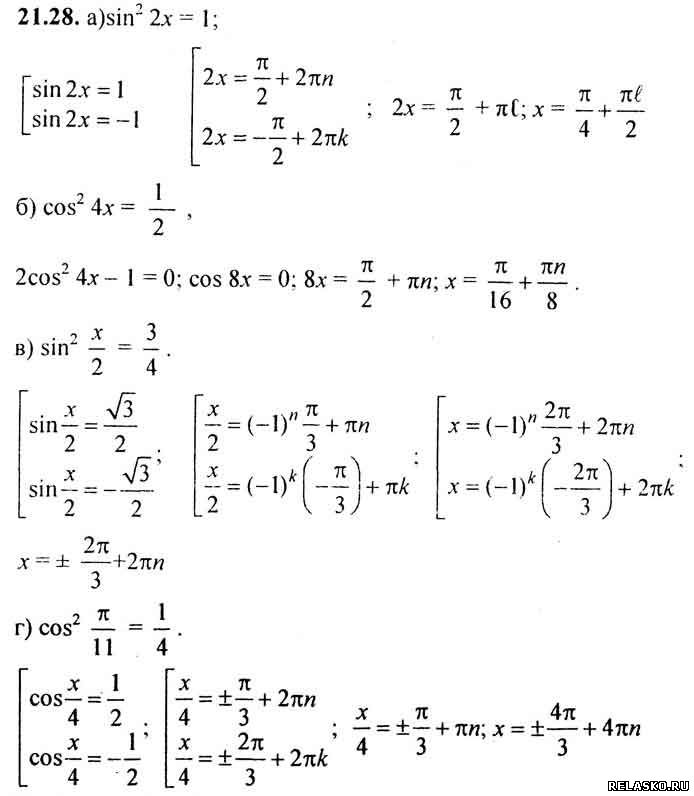
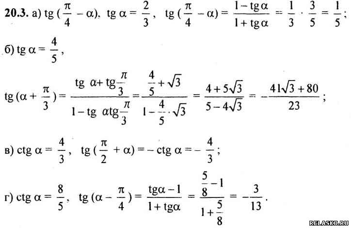
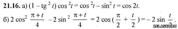
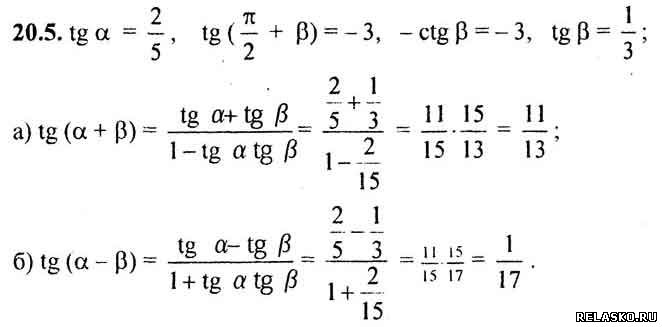
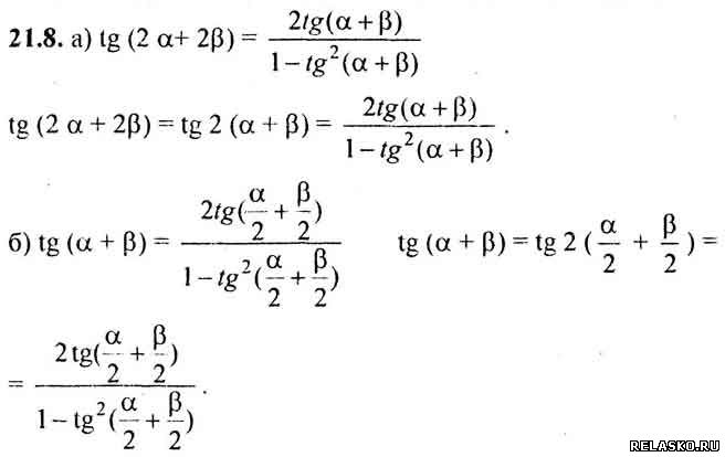
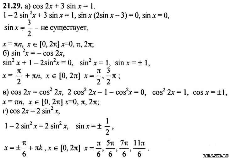
CSKAДата: Среда, 02.09.2015, 16:41 | Сообщение # 70
Полковник
Группа: Проверенные
Сообщений: 169
Награды: 0
Репутация: 0
Статус: Offline


 
Работай из дома! 18+
 
 


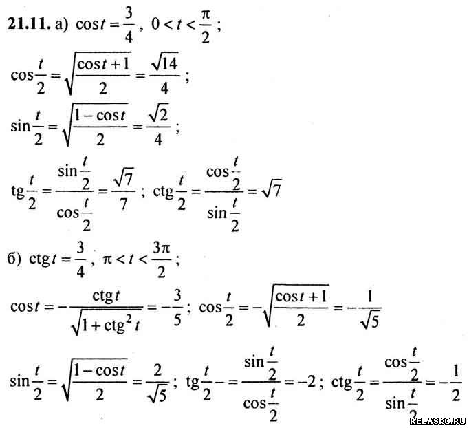
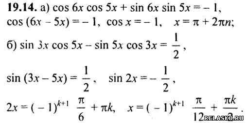
Ответы на задания из параграфа № 21. Мордкович А. Г. Алгебра 10-11 класс.

Для увеличения ответа на задачу, нажмите на картинку



---------------------------------------------------------------------



---------------------------------------------------------------------



---------------------------------------------------------------------



---------------------------------------------------------------------



---------------------------------------------------------------------

Перейти в оглавление решебника по Алгебре. Мордкович
Фото: 5549869.jpg (12.0 Kb) · 7504667.jpg (10.9 Kb) · 1291952.jpg (11.8 Kb) · 4603144.jpg (11.4 Kb) · 4944285.jpg (6.8 Kb)
 
 
CSKAДата: Среда, 02.09.2015, 16:42 | Сообщение # 71
Полковник
Группа: Проверенные
Сообщений: 169
Награды: 0
Репутация: 0
Статус: Offline


 
Работай из дома! 18+
 
 


Ответы на задания из параграфа № 21. Мордкович А. Г. Алгебра 10-11 класс.

Для увеличения ответа на задачу, нажмите на картинку



---------------------------------------------------------------------



---------------------------------------------------------------------



---------------------------------------------------------------------



---------------------------------------------------------------------



---------------------------------------------------------------------

Перейти в оглавление решебника по Алгебре. Мордкович
Фото: 2352716.jpg (13.5 Kb) · 1205472.jpg (11.8 Kb) · 0981225.jpg (15.1 Kb) · 6273762.jpg (17.7 Kb) · 3433556.jpg (13.1 Kb)
 
 
CSKAДата: Среда, 02.09.2015, 16:42 | Сообщение # 72
Полковник
Группа: Проверенные
Сообщений: 169
Награды: 0
Репутация: 0
Статус: Offline


 
Работай из дома! 18+
 
 


Ответы на задания из параграфа № 21. Мордкович А. Г. Алгебра 10-11 класс.

Для увеличения ответа на задачу, нажмите на картинку



---------------------------------------------------------------------



---------------------------------------------------------------------



---------------------------------------------------------------------



---------------------------------------------------------------------



---------------------------------------------------------------------

Перейти в оглавление решебника по Алгебре. Мордкович
Фото: 7296372.jpg (22.8 Kb) · 8452350.jpg (22.6 Kb) · 3406350.jpg (18.4 Kb) · 3233493.jpg (14.4 Kb) · 7669580.jpg (7.1 Kb)
 
 
CSKAДата: Среда, 02.09.2015, 16:42 | Сообщение # 73
Полковник
Группа: Проверенные
Сообщений: 169
Награды: 0
Репутация: 0
Статус: Offline


 
Работай из дома! 18+
 
 


Ответы на задания из параграфа № 21. Мордкович А. Г. Алгебра 10-11 класс.

Для увеличения ответа на задачу, нажмите на картинку



---------------------------------------------------------------------



---------------------------------------------------------------------



---------------------------------------------------------------------



---------------------------------------------------------------------



---------------------------------------------------------------------

Перейти в оглавление решебника по Алгебре. Мордкович
Фото: 5794913.jpg (6.1 Kb) · 3093200.jpg (14.9 Kb) · 6682890.jpg (13.3 Kb) · 2328368.jpg (14.7 Kb) · 3086755.jpg (15.7 Kb)
 
 
CSKAДата: Среда, 02.09.2015, 16:43 | Сообщение # 74
Полковник
Группа: Проверенные
Сообщений: 169
Награды: 0
Репутация: 0
Статус: Offline


 
Работай из дома! 18+
 
 


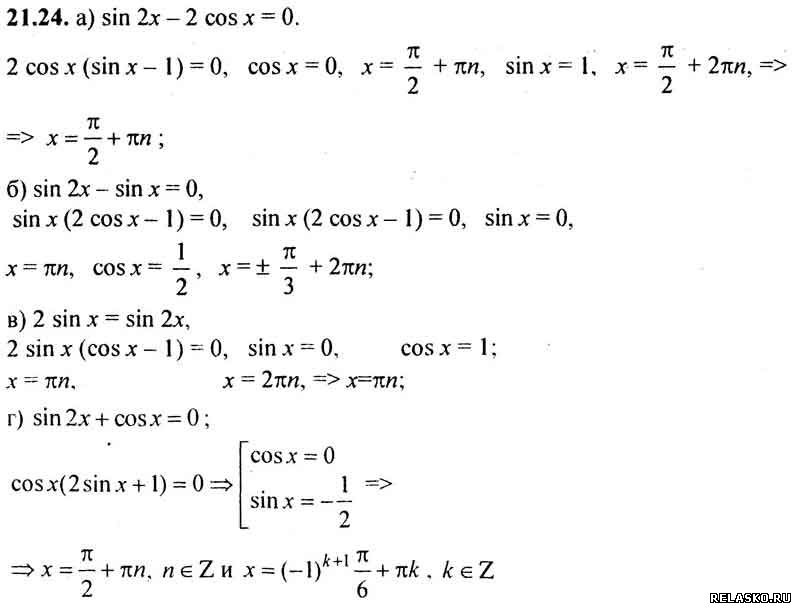
Ответы на задания из параграфа № 21. Мордкович А. Г. Алгебра 10-11 класс.

Для увеличения ответа на задачу, нажмите на картинку



---------------------------------------------------------------------



---------------------------------------------------------------------



---------------------------------------------------------------------



---------------------------------------------------------------------



---------------------------------------------------------------------

Продолжение ответов из задачника по Алгебре. Мордкович
Фото: 2876607.jpg (19.4 Kb) · 8781468.jpg (18.6 Kb) · 0510372.jpg (14.0 Kb) · 3797085.jpg (25.2 Kb) · 9578414.jpg (18.5 Kb)
 
 
CSKAДата: Среда, 02.09.2015, 16:43 | Сообщение # 75
Полковник
Группа: Проверенные
Сообщений: 169
Награды: 0
Репутация: 0
Статус: Offline


 
Работай из дома! 18+
 
 




Ответы на задания из параграфа № 21. Мордкович А. Г. Алгебра 10-11 класс.

Для увеличения ответа на задачу, нажмите на картинку



---------------------------------------------------------------------



---------------------------------------------------------------------



---------------------------------------------------------------------



---------------------------------------------------------------------



---------------------------------------------------------------------

Перейти в оглавление решебника по Алгебре. Мордкович
Фото: 3579982.jpg (19.3 Kb) · 2493064.jpg (25.3 Kb) · 7759332.jpg (29.1 Kb) · 7419519.jpg (25.9 Kb) · 0919553.jpg (10.6 Kb)
 
 
Поиск:

Работай из дома! 18+
 
 
 
 
 
 

 
Последние темы на форуме:
 
  • Новогодние праздники 2021-2022 официальные выходные
  • Показатели давления и сердцебиения у женщины 57 лет
  • Гороскоп на декабрь 2021 Женщина Телец
  • Гороскоп на январь 2022 от Павла Глоба
  • Гороскоп на декабрь 2021 от Павла Глоба
  • Гороскоп на ноябрь 2021 от Павла Глоба
  • Стенограмма судьбы - Содержание серий, актеры и роли сериала
  • Мосгаз. Западня - Содержание серий, актеры и роли 2021
  • Тобол - Содержание серий, актеры и роли сериала. 2021
  • Гороскоп для Тигра на сегодня от Павла Глоба
  • Утраченные воспоминания - Содержание серий, актеры и роли
  • Чёрно-белая любовь - Содержание серий, актеры и роли сериала
  • Забытая женщина - Содержание серий, актеры и роли сериала
  • Тайна спящей дамы - Содержание серий, актеры и роли сериала
  • Сериал Часы с кукушкой - Содержание серий, актеры и роли
  •  
     

     
    Обращаем ваше внимание на то, что данный интернет-сайт www.kinolog.do.am носит исключительно информационный характер и ни при каких условиях не является публичной офертой, определяемой положениями Статьи 437 (2) Гражданского кодекса РФ. Цена и наличие товара может отличаться от действительной. Пожалуйста, уточняйте цены и наличие товара у наших менеджеров.
    Администрация сайта не несет ответственности за действия и содержание размещаемой информации пользователей: комментарии, материалы, сообщения и темы на форуме, публикации, объявления и т.д.
    Правообладателям | Реклама | Учебники | Политика
    Отопление, водоснабжение, газоснабжение, канализация © 2003 - 2021
    Рейтинг@Mail.ru Рейтинг арматурных сайтов. ARMTORG.RU Яндекс.Метрика