[ Новые сообщения · Участники · Правила форума · Поиск · RSS ]
 
Работай из дома! 18+

  • Страница 1 из 1
  • 1
Лабораторная работа № 1. Измерение ускорения тела.
HillaryДата: Среда, 20.12.2017, 11:57 | Сообщение # 1
Полковник
Группа: Проверенные
Сообщений: 231
Награды: 0
Репутация: 0
Статус: Offline


 
Работай из дома! 18+
 
 


Лабораторная работа № 1 «Измерение ускорения тела при равноускоренном движении»



«Физика. Физика. 9-й класс И.К. Кикоин, А.К. Кикоин. ФИПИ. ФГОС. Школа России. 21 век.

Презентация на тему: Лабораторная работа № 1 «Измерение ускорения тела при равноускоренном движении»

ГДЗ и решебник по предмету Физике. Лабораторные работы по Физике с ответами можно бесплатно скачать к себе на компьютер, телефон, планшетник или смартфон в любом формате. Потом в свое свободное время можно решать задачи онлайн или офлайн. А также проверить сразу решения и правильные ответы на задания лабораторной работы. Ответы, вывод, пояснения и решение на лабораторную работу смотрите ниже. Таблица и описание опыта можно прочитать или посмотреть по видео.



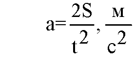
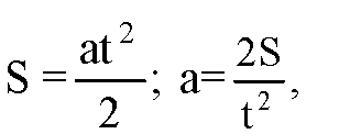
Цель работы: вычислить ускорение, с которым скатывается шарик по наклонному желобу. Для этого измеряют длину перемещения s шарика за известное время t. Так как при равноускоренном движении без начальной скорости



то, измерив s и t, можно найти ускорение шарика. Оно равно:



Никакие измерения не делаются абсолютно точно. Они всегда производятся с некоторой погрешностью, связанной с несовершенством средств измерения и другими причинами. Но и при наличии погрешностей имеется несколько способов проведения достоверных измерений. Наиболее простой из них — вычисление среднего арифметического из результатов нескольких независимых измерений одной и той же величины, если условия опыта не изменяются. Это и предлагается сделать в работе.

Средства измерения: 1) измерительная лента; 2) метроном.

Материалы: 1) желоб; 2) шарик; 3) штатив с муфтами и лапкой; 4) металлический цилиндр.

Порядок выполнения работы

1. Укрепите желоб с помощью штатива в наклонном положении под небольшим углом к горизонту (рис. 175). У нижнего конца желоба положите в него металлический цилиндр.



2. Пустив шарик (одновременно с ударом метронома) с верхнего конца желоба, подсчитайте число ударов метронома до столкновения шарика с цилиндром. Опыт удобно проводить при 120 ударах метронома в минуту.

3. Меняя угол наклона желоба к горизонту и производя небольшие передвижения металлического цилиндра, добивайтесь того, чтобы между моментом пуска шарика и моментом его столкновения с цилиндром было 4 удара метронома (3 промежутка между ударами).

4. Вычислите время движения шарика.

5. С помощью измерительной ленты определите длину перемещения s шарика. Не меняя наклона желоба (условия опыта должны оставаться неизменными), повторите опыт пять раз, добиваясь снова совпадения четвертого удара метронома с ударом шарика о металлический цилиндр (цилиндр для этого можно немного передвигать).

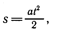
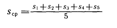
6. По формуле



найдите среднее значение модуля перемещения, а затем рассчитайте среднее значение модуля ускорения:



7. Результаты измерений и вычислений занесите в таблицу:

Номер опыта

s, м

sср, м

Число

ударов

метро

нома

t, с

aср, м/с2

При прямолинейном равноускоренном движении без начальной скорости



где S - путь, пройденный телом, t - время прохождения пути. Средства измерения: измерительная лента (линейка), метроном (секундомер).

Лабораторная установка и порядок выполнения работы подробно описаны в учебнике.

№ опыта
t, с

S, м

1

6

0,5

0,028

2

5,5

0,5

0,033

3

5

0,49

0,039

4

5,5

0,49

0,032

5

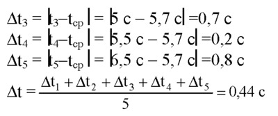
6,5

0,51

0,024

среднее значение

5,7

0,5

0,031

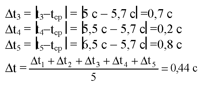
Вычисления:





Фото: 7723561.png (1.0 Kb) · 7972817.png (1.0 Kb) · 6655926.png (86.4 Kb) · 8830762.png (2.1 Kb) · 3144344.png (1.3 Kb) · 1925215.png (1.7 Kb) · 2525236.png (1.5 Kb) · 6693105.png (13.1 Kb) · 0041103.png (3.5 Kb) · 5309837.png (2.7 Kb)
 
 
HillaryДата: Среда, 20.12.2017, 12:01 | Сообщение # 2
Полковник
Группа: Проверенные
Сообщений: 231
Награды: 0
Репутация: 0
Статус: Offline


 
Работай из дома! 18+
 
 




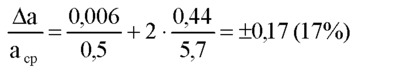
Вычисление погрешностей

Точность приборов: Измерительная лента:



Секундомер:



Вычислим абсолютные погрешности:






Вычислим относительную погрешность:


Абсолютная погрешность косвенного измерения:



Найденное в результате работы ускорение можно записать так:



Видео. Лабораторная работа № 1 «Измерение ускорения тела при равноускоренном движении»







Смотрите также лабораторки на другие темы:


Лабораторная работа № 1 «Измерение ускорения тела при равноускоренном движении»

Лабораторная работа № 2 «Измерение жесткости пружины»

Лабораторная работа № 3 «Измерение коэффициента трения скольжения»

Лабораторная работа № 4 «Изучение движения тела, брошенного горизонтально»

Лабораторная работа № 5 «Изучение движения тела по окружности под действием сил упругости и тяжести»

Лабораторная работа № 6 «Изучение равновесия тел под действием нескольких сил»

Лабораторная работа № 7 «Изучение закона сохранения механической энергии»

Лабораторная работа № 8 «Измерение ускорения свободного падения с помощью маятника»

Фото: 6741818.png (6.3 Kb) · 7930217.png (1.2 Kb) · 2083547.png (1.0 Kb) · 0197247.png (10.0 Kb) · 3451762.png (2.9 Kb) · 6594067.png (3.9 Kb) · 1635930.png (8.0 Kb) · 8747301.png (1.9 Kb) · 0815964.png (3.4 Kb) · 3734305.png (3.6 Kb)
 
 
  • Страница 1 из 1
  • 1
Поиск:

Работай из дома! 18+
 
 
 
 
 
 

 
Последние темы на форуме:
 
  • Новогодние праздники 2021-2022 официальные выходные
  • Показатели давления и сердцебиения у женщины 57 лет
  • Гороскоп на декабрь 2021 Женщина Телец
  • Гороскоп на январь 2022 от Павла Глоба
  • Гороскоп на декабрь 2021 от Павла Глоба
  • Гороскоп на ноябрь 2021 от Павла Глоба
  • Стенограмма судьбы - Содержание серий, актеры и роли сериала
  • Мосгаз. Западня - Содержание серий, актеры и роли 2021
  • Тобол - Содержание серий, актеры и роли сериала. 2021
  • Гороскоп для Тигра на сегодня от Павла Глоба
  • Утраченные воспоминания - Содержание серий, актеры и роли
  • Чёрно-белая любовь - Содержание серий, актеры и роли сериала
  • Забытая женщина - Содержание серий, актеры и роли сериала
  • Тайна спящей дамы - Содержание серий, актеры и роли сериала
  • Сериал Часы с кукушкой - Содержание серий, актеры и роли
  •  
     

     
    Обращаем ваше внимание на то, что данный интернет-сайт www.kinolog.do.am носит исключительно информационный характер и ни при каких условиях не является публичной офертой, определяемой положениями Статьи 437 (2) Гражданского кодекса РФ. Цена и наличие товара может отличаться от действительной. Пожалуйста, уточняйте цены и наличие товара у наших менеджеров.
    Администрация сайта не несет ответственности за действия и содержание размещаемой информации пользователей: комментарии, материалы, сообщения и темы на форуме, публикации, объявления и т.д.
    Правообладателям | Реклама | Учебники | Политика
    Отопление, водоснабжение, газоснабжение, канализация © 2003 - 2021
    Рейтинг@Mail.ru Рейтинг арматурных сайтов. ARMTORG.RU Яндекс.Метрика