[ Новые сообщения · Участники · Правила форума · Поиск · RSS ]
 
Работай из дома! 18+

  • Страница 1 из 1
  • 1
Лабораторная работа № 2 «Измерение жесткости пружины»
HillaryДата: Среда, 20.12.2017, 12:48 | Сообщение # 1
Полковник
Группа: Проверенные
Сообщений: 231
Награды: 0
Репутация: 0
Статус: Offline


 
Работай из дома! 18+
 
 


Лабораторная работа № 2 «Измерение жесткости пружины»



«Физика. Физика. 9-й класс И.К. Кикоин, А.К. Кикоин. ФИПИ. ФГОС. Школа России. 21 век.

Презентация на тему: Лабораторная работа № 2 «Измерение жесткости пружины»

ГДЗ и решебник по предмету Физике. Лабораторные работы по Физике с ответами можно бесплатно скачать к себе на компьютер, телефон, планшетник или смартфон в любом формате. Потом в свое свободное время можно решать задачи онлайн или офлайн. А также проверить сразу решения и правильные ответы на задания лабораторной работы. Ответы, вывод, пояснения и решение на лабораторную работу смотрите ниже. Таблица и описание опыта можно прочитать или посмотреть по видео.



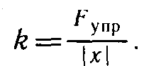
Цель работы: найти жесткость пружины из измерений удлинения пружины при различных значениях силы тяжести



уравновешивающей силу упругости на основе закона Гука:



В каждом из опытов жесткость определяется при разных значениях силы упругости и удлинения, т. е. условия опыта меняются. Поэтому для нахождения среднего значения жесткости нельзя вычислить среднее арифметическое результатов измерений. Воспользуемся графическим способом нахождения среднего значения, который может быть применен в таких случаях. По результатам нескольких опытов построим график зависимости модуля силы упругости Fупр от модуля удлинения |x|. При построении графика по результатам опыта экспериментальные точки могут не оказаться на прямой, которая соответствует формуле



Это связано с погрешностями измерения. В этом случае график надо проводить так, чтобы примерно одинаковое число точек оказалось по разные стороны от прямой. После построения графика возьмите точку на прямой (в средней части графика), определите по нему соответствующие этой точке значения силы упругости и удлинения и вычислите жесткость k. Она и будет искомым средним значением жесткости пружины kср.

Результат измерения обычно записывается в виде выражения k = = kcp±Δk, где Δk — наибольшая абсолютная погрешность измерения. Из курса алгебры (VII класс) известно, что относительная погрешность (εk) равна отношению абсолютной погрешности Δk к значению величины k:



откуда Δk — εkk. Существует правило для расчета относительной погрешности: если определяемая в опыте величина находится в результате умножения и деления приближенных величин, входящих в расчетную формулу, то относительные погрешности складываются. В данной работе



Поэтому



Средства измерения: 1) набор грузов, масса каждого равна m0 = 0,100 кг, а погрешность Δm0 = 0,002 кг; 2) линейка с миллиметровыми делениями.

Материалы: 1) штатив с муфтами и лапкой; 2) спиральная пружина.

Порядок выполнения работы

1. Закрепите на штативе конец спиральной пружины (другой конец пружины снабжен стрелкой-указате-лем и крючком — рис. 176).



2. Рядом с пружиной или за ней установите и закрепите линейку с миллиметровыми делениями.

3. Отметьте и запишите то деление линейки, против которого приходится стрелка-указатель пружины.

4. Подвесьте к пружине груз известной массы и измерьте вызванное им удлинение пружины.

5. К первому грузу добавьте второй, третий и т. д. грузы, записывая каждый раз удлинение |х| пружины. По результатам измерений заполните таблицу:

Номер

опыта

m, кг

mg1, Н

|х|, м

6. По результатам измерений постройте график зависимости силы упругости от удлинения и, пользуясь им, определите среднее значение жесткости пружины kcp.

7. Рассчитайте наибольшую относительную погрешность, с которой найдено значение kср (из опыта с одним грузом). В формуле (1)




так как погрешность при измерении удлинения Δx=1 мм, то

[/b]
Фото: 8794872.png (1.0 Kb) · 1599179.png (1.1 Kb) · 9233402.png (1.1 Kb) · 3459618.png (1.0 Kb) · 6218664.png (1.1 Kb) · 3168943.png (1.7 Kb) · 8222609.png (18.6 Kb) · 3845380.png (2.9 Kb) · 3388339.png (3.1 Kb) · 3064713.png (2.3 Kb)
 
 
HillaryДата: Среда, 20.12.2017, 12:59 | Сообщение # 2
Полковник
Группа: Проверенные
Сообщений: 231
Награды: 0
Репутация: 0
Статус: Offline


 
Работай из дома! 18+
 
 


8. Найдите



и запишите ответ в виде:



1 Принять g≈10 м/с2.

Закон Гука: «Сила упругости, возникающая при деформации тела, пропорциональна его удлинению и направлена противоположно направлению перемещения частиц тела при деформации».



Закон Гука

Жесткостью называют коэффициент пропорциональности между силой упругости и изменением длины пружины под действием приложенной к ней силы. Согласно третьему закону Ньютона, приложенная к пружине сила по модулю равна возникшей в ней силе упругости. Таким образом жесткость пружины можно выразить как:



где F - приложенная к пружине сила, а х - изменение длины пружины под ее действием. Средства измерения: набор грузов, масса каждого равна m0 = (0,1±0,002) кг.

Линейка с миллиметровыми делениями (Δх = ±0,5 мм). Порядок выполнения работы описан в учебнике и комментариев не требует.

№ опыта

масса, кг

удлинение |х|,

К, Н/м

м

1

0,1

1

0,036

27,78

2

0,2

2

0,074

27,03

3

0,3

3

0,112

26,79

4

0,4

4

0,155

25,81

* Ускорение свободного падения примем равным 10 м/с2.

Вычисления:





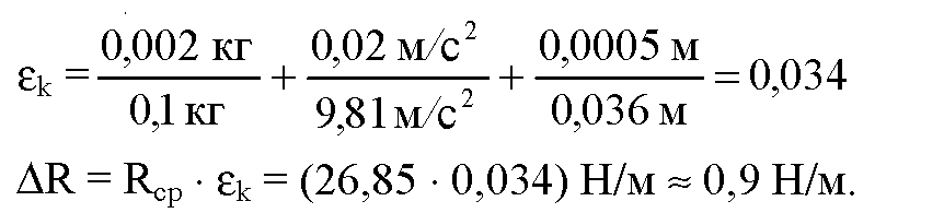
Вычисление погрешности измерения:



εх максимально когда х - наименьшее, т.е., в нашем случае, для опыта с одним грузом



Можно записать результат измерений как:

Фото: 9369881.png (1.1 Kb) · 8274471.png (1.2 Kb) · 6807384.png (1.3 Kb) · 6073097.png (0.9 Kb) · 3030079.png (1.2 Kb) · 3543467.png (7.5 Kb) · 4155702.png (5.0 Kb) · 3495245.png (4.9 Kb) · 7542392.png (7.3 Kb) · 1641040.png (1.8 Kb)
 
 
HillaryДата: Среда, 20.12.2017, 13:00 | Сообщение # 3
Полковник
Группа: Проверенные
Сообщений: 231
Награды: 0
Репутация: 0
Статус: Offline


 
Работай из дома! 18+
 
 


или округляя:



т.к. в нашем случае отклонения вычисленных R1; R2; R3; R4 от Rср велики из-за разности условий опытов принимаем











Смотрите также лабораторки на другие темы:


Лабораторная работа № 1 «Измерение ускорения тела при равноускоренном движении»

Лабораторная работа № 2 «Измерение жесткости пружины»

Лабораторная работа № 3 «Измерение коэффициента трения скольжения»

Лабораторная работа № 4 «Изучение движения тела, брошенного горизонтально»

Лабораторная работа № 5 «Изучение движения тела по окружности под действием сил упругости и тяжести»

Лабораторная работа № 6 «Изучение равновесия тел под действием нескольких сил»

Лабораторная работа № 7 «Изучение закона сохранения механической энергии»

Лабораторная работа № 8 «Измерение ускорения свободного падения с помощью маятника»

Фото: 1473100.png (2.6 Kb) · 4848839.png (1.2 Kb)
 
 
  • Страница 1 из 1
  • 1
Поиск:

Работай из дома! 18+
 
 
 
 
 
 

 
Последние темы на форуме:
 
  • Новогодние праздники 2021-2022 официальные выходные
  • Показатели давления и сердцебиения у женщины 57 лет
  • Гороскоп на декабрь 2021 Женщина Телец
  • Гороскоп на январь 2022 от Павла Глоба
  • Гороскоп на декабрь 2021 от Павла Глоба
  • Гороскоп на ноябрь 2021 от Павла Глоба
  • Стенограмма судьбы - Содержание серий, актеры и роли сериала
  • Мосгаз. Западня - Содержание серий, актеры и роли 2021
  • Тобол - Содержание серий, актеры и роли сериала. 2021
  • Гороскоп для Тигра на сегодня от Павла Глоба
  • Утраченные воспоминания - Содержание серий, актеры и роли
  • Чёрно-белая любовь - Содержание серий, актеры и роли сериала
  • Забытая женщина - Содержание серий, актеры и роли сериала
  • Тайна спящей дамы - Содержание серий, актеры и роли сериала
  • Сериал Часы с кукушкой - Содержание серий, актеры и роли
  •  
     

     
    Обращаем ваше внимание на то, что данный интернет-сайт www.kinolog.do.am носит исключительно информационный характер и ни при каких условиях не является публичной офертой, определяемой положениями Статьи 437 (2) Гражданского кодекса РФ. Цена и наличие товара может отличаться от действительной. Пожалуйста, уточняйте цены и наличие товара у наших менеджеров.
    Администрация сайта не несет ответственности за действия и содержание размещаемой информации пользователей: комментарии, материалы, сообщения и темы на форуме, публикации, объявления и т.д.
    Правообладателям | Реклама | Учебники | Политика
    Отопление, водоснабжение, газоснабжение, канализация © 2003 - 2021
    Рейтинг@Mail.ru Рейтинг арматурных сайтов. ARMTORG.RU Яндекс.Метрика