[ Новые сообщения · Участники · Правила форума · Поиск · RSS ]
 
Работай из дома! 18+

  • Страница 1 из 1
  • 1
Лаб. работа № 8 Измерение ускорения свободного падения
HillaryДата: Среда, 20.12.2017, 16:59 | Сообщение # 1
Полковник
Группа: Проверенные
Сообщений: 231
Награды: 0
Репутация: 0
Статус: Offline


 
Работай из дома! 18+
 
 


Лабораторная работа № 8 «Измерение ускорения свободного падения с помощью маятника»



«Физика. Физика. 9-й класс И.К. Кикоин, А.К. Кикоин. ФИПИ. ФГОС. Школа России. 21 век.

Презентация на тему: Лабораторная работа № 8 «Измерение ускорения свободного падения с помощью маятника»

ГДЗ и решебник по предмету Физике. Лабораторные работы по Физике с ответами можно бесплатно скачать к себе на компьютер, телефон, планшетник или смартфон в любом формате. Потом в свое свободное время можно решать задачи онлайн или офлайн. А также проверить сразу решения и правильные ответы на задания лабораторной работы. Ответы, вывод, пояснения и решение на лабораторную работу смотрите ниже. Таблица и описание опыта можно прочитать или посмотреть по видео.



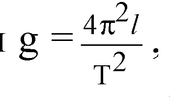
Цель работы: вычислить ускорение свободного падения из формулы для периода колебаний математического маятника:



Для этого необходимо измерить период колебания и длину подвеса маятника. Тогда из формулы (1) можно вычислить ускорение свободного падения:



Средства измерения:

1) часы с секундной стрелкой;

2) измерительная лента (Δл = 0,5 см).

Материалы: 1) шарик с отверстием; 2) нить; 3) штатив с муфтой и кольцом.

Порядок выполнения работы

1. Установите на краю стола штатив. У его верхнего конца укрепите при помощи муфты кольцо и подвесьте к нему шарик на нити. Шарик должен висеть на расстоянии 3—5 см от пола.

2. Отклоните маятник от положения равновесия на 5—8 см и отпустите его.

3. Измерьте длину подвеса мерной лентой.

4. Измерьте время Δt 40 полных колебаний (N).

5. Повторите измерения Δt (не изменяя условий опыта) и найдите среднее значение Δtср.

6. Вычислите среднее значение периода колебаний Tср по среднему значению Δtср.

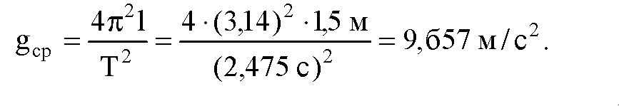
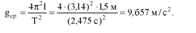
7. Вычислите значение gcp по формуле:



8. Полученные результаты занесите в таблицу:

Номер

опыта

l, м

N

Δt, с

Δtср, с

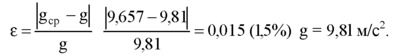
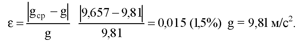
9. Сравните полученное среднее значение для gcp со значением g = 9,8 м/с2 и рассчитайте относительную погрешность измерения по формуле:



Изучая курс физики вам часто приходилось использовать в решении задач и других расчетах значение ускорения свободного падения на поверхности земли. Вы принимали значение g = 9,81 м/с2, то есть с той точностью, которой вполне достаточно для производимых вами расчетов.

Целью данной лабораторной работы является экспериментальное установление ускорения свободного падения с помощью маятника. Зная формулу периода колебания математического маятника Т =



можно выразить значение g через величины, доступные простому установлению путем эксперимента и рассчитать g с некоторой точностью. Выразим



где l - длина подвеса, а Т - период колебаний маятника. Период колебаний маятника Т легко определить, измерив время t, необходимое для совершения некоторого количества N полных колебаний маятника



Математическим маятником называют груз, подвешенный к тонкой нерастяжимой нити, размеры которого много меньше длины нити, а масса - много больше массы нити. Отклонение этого груза от вертикали происходит на бесконечно малый угол, а трение отсутствует. В реальных условиях формула



имеет приблизительный характер.



Рассмотрим такое тело (в нашем случае рычаг). На него действуют две силы: вес грузов P и сила F (упругости пружины динамометра), чтобы рычаг находился в равновесии и моменты этих сил должны быть равны по модулю меду собой. Абсолютные значения моментов сил F и P определим соответственно:

[/b]
Фото: 2864551.png (2.1 Kb) · 4661281.png (1.8 Kb) · 0517647.png (2.2 Kb) · 3487633.png (1.6 Kb) · 0462323.png (1.8 Kb) · 6428602.png (2.1 Kb) · 3092796.png (1.1 Kb) · 9702749.png (2.1 Kb) · 7906242.png (8.5 Kb) · 4073016.png (2.4 Kb)
 
 
HillaryДата: Среда, 20.12.2017, 17:00 | Сообщение # 2
Полковник
Группа: Проверенные
Сообщений: 231
Награды: 0
Репутация: 0
Статус: Offline


 
Работай из дома! 18+
 
 


В лабораторных условиях для измерения с некоторой степенью точности можно использовать небольшой, но массивный металлический шарик, подвешенный на нити длиной 1-1,5 м (или большей, если есть возможность такой подвес разместить) и отклонять его на небольшой угол. Ход работы целиком понятен из описания ее в учебнике.

Средства измерения: секундомер (Δt = ±0,5 с); линейка или измерительная лента (Δl = ±0,5 см)

Выполнение работы:



опыта

1, м

N

t, с

tср, с

Тср

gср, м/с2

1

1,5

40

100

2

1,5

40

98

99

2,475

9,657

3

1,5

40

99

Вычисления:





Погрешность:



Видео. Лабораторная работа № 8 «Измерение ускорения свободного падения с помощью маятника»









Смотрите также лабораторки на другие темы:


Лабораторная работа № 1 «Измерение ускорения тела при равноускоренном движении»

Лабораторная работа № 2 «Измерение жесткости пружины»

Лабораторная работа № 3 «Измерение коэффициента трения скольжения»

Лабораторная работа № 4 «Изучение движения тела, брошенного горизонтально»

Лабораторная работа № 5 «Изучение движения тела по окружности под действием сил упругости и тяжести»

Лабораторная работа № 6 «Изучение равновесия тел под действием нескольких сил»

Лабораторная работа № 7 «Изучение закона сохранения механической энергии»

Лабораторная работа № 8 «Измерение ускорения свободного падения с помощью маятника»

Фото: 6495169.png (3.0 Kb) · 1513032.png (2.0 Kb) · 4539210.png (4.4 Kb) · 2391719.png (4.8 Kb)
 
 
  • Страница 1 из 1
  • 1
Поиск:

Работай из дома! 18+
 
 
 
 
 
 

 
Последние темы на форуме:
 
  • Новогодние праздники 2021-2022 официальные выходные
  • Показатели давления и сердцебиения у женщины 57 лет
  • Гороскоп на декабрь 2021 Женщина Телец
  • Гороскоп на январь 2022 от Павла Глоба
  • Гороскоп на декабрь 2021 от Павла Глоба
  • Гороскоп на ноябрь 2021 от Павла Глоба
  • Стенограмма судьбы - Содержание серий, актеры и роли сериала
  • Мосгаз. Западня - Содержание серий, актеры и роли 2021
  • Тобол - Содержание серий, актеры и роли сериала. 2021
  • Гороскоп для Тигра на сегодня от Павла Глоба
  • Утраченные воспоминания - Содержание серий, актеры и роли
  • Чёрно-белая любовь - Содержание серий, актеры и роли сериала
  • Забытая женщина - Содержание серий, актеры и роли сериала
  • Тайна спящей дамы - Содержание серий, актеры и роли сериала
  • Сериал Часы с кукушкой - Содержание серий, актеры и роли
  •  
     

     
    Обращаем ваше внимание на то, что данный интернет-сайт www.kinolog.do.am носит исключительно информационный характер и ни при каких условиях не является публичной офертой, определяемой положениями Статьи 437 (2) Гражданского кодекса РФ. Цена и наличие товара может отличаться от действительной. Пожалуйста, уточняйте цены и наличие товара у наших менеджеров.
    Администрация сайта не несет ответственности за действия и содержание размещаемой информации пользователей: комментарии, материалы, сообщения и темы на форуме, публикации, объявления и т.д.
    Правообладателям | Реклама | Учебники | Политика
    Отопление, водоснабжение, газоснабжение, канализация © 2003 - 2021
    Рейтинг@Mail.ru Рейтинг арматурных сайтов. ARMTORG.RU Яндекс.Метрика