[ Новые сообщения · Участники · Правила форума · Поиск · RSS ]
 
Работай из дома! 18+

  • Страница 1 из 1
  • 1
Лабораторная работа № 4 «Изучение движения тела, брошенного
HillaryДата: Среда, 20.12.2017, 13:28 | Сообщение # 1
Полковник
Группа: Проверенные
Сообщений: 231
Награды: 0
Репутация: 0
Статус: Offline


 
Работай из дома! 18+
 
 


Лабораторная работа № 4 «Изучение движения тела, брошенного горизонтально»



«Физика. Физика. 9-й класс И.К. Кикоин, А.К. Кикоин. ФИПИ. ФГОС. Школа России. 21 век.

<a class="link" href="/forum/66-16526-1" rel="nofollow" target="_blank">Презентация на тему: Лабораторная работа № 4 «Изучение движения тела, брошенного горизонтально»

ГДЗ и решебник по предмету Физике. Лабораторные работы по Физике с ответами можно бесплатно скачать к себе на компьютер, телефон, планшетник или смартфон в любом формате. Потом в свое свободное время можно решать задачи онлайн или офлайн. А также проверить сразу решения и правильные ответы на задания лабораторной работы. Ответы, вывод, пояснения и решение на лабораторную работу смотрите ниже. Таблица и описание опыта можно прочитать или посмотреть по видео.



Цель работы: измерить начальную скорость, сообщенную телу в горизонтальном направлении при его движении под действием силы тяжести.

Если шарик брошен горизонтально, то он движется по параболе. За начало координат примем начальное положение шарика. Направим ось X горизонтально, а ось Y — вертикально вниз. Тогда в любой момент времени t



а

У =



Дальность полета l — это

значение координаты х, которое она будет иметь, если вместо t подставить время падения тела с высоты h. Поэтому можно записать:



Отсюда легко найти

время падения t и начальную скорость V0:



Если несколько раз пускать шарик в неизменных условиях опыта (рис. 177), то значения дальности полета будут иметь некоторый разброс из-за влияния различных причин, которые невозможно учесть.



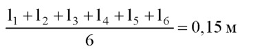
В таких случаях за значение измеряемой величины принимается среднее арифметическое результатов, полученных в нескольких опытах.

Средства измерения: линейка с миллиметровыми делениями.

Материалы: 1) штатив с муфтой и лапкой; 2) лоток для пуска шарика; 3) фанерная доска; 4) шарик; 5) бумага; 6) кнопки; 7) копировальная бумага.

Порядок выполнения работы

1. С помощью штатива укрепите фанерную доску вертикально. При этом той же лапкой зажмите выступ лотка. Загнутый конец лотка должен быть горизонтальным (см. рис. 177).

2. Прикрепите к фанере кнопками лист бумаги шириной не менее 20 см и у основания установки на полоску белой бумаги положите копировальную бумагу.

3. Повторите опыт пять раз, пуская шарик из одного и того же места лотка, уберите копировальную бумагу.

4. Измерьте высоту h и дальность полета l. Результаты измерения занесите в таблицу:

Номер

опыта

h, м

l, м

lср, м

v0ср, м/с

5. Рассчитайте среднее значение начальной скорости по формуле



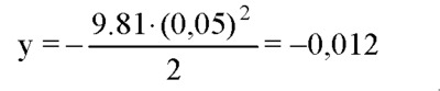
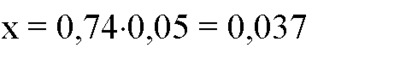
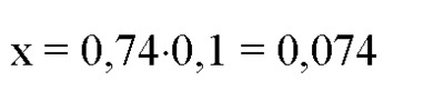
6. Пользуясь формулами х =



найдите координату

х тела (координата у уже подсчитана) через каждые 0,05 с и постройте траекторию движения на листе бумаги, прикрепленном к фанерной доске:

t, с

0

0,05

0,10

0,15

0,2

x, м

0

y, М

0

0,012

0,049

0,110

0,190

7. Пустите шарик по желобу и убедитесь в том, что его траектория близка к построенной параболе.

Первой целью работы является измерение начальной скорости, сообщенной телу в горизонтальном направлении при его движении под действием силы тяжести. Измерение производится при помощи установки описанной и изображенной в учебнике. Если не принимать в расчет сопротивление воздуха, то тело, брошенное горизонтально, движется по параболической траектории. Если выбрать за начало координат точку начала полета шарика, то координаты его с течением времени изменяются следующим образом: х=V0t, a

[/b]
Фото: 9855042.png (0.8 Kb) · 3464923.png (0.8 Kb) · 6224088.png (1.6 Kb) · 5480380.png (3.7 Kb) · 1663698.png (123.0 Kb) · 9405095.png (1.9 Kb) · 7291644.png (1.8 Kb) · 5205100.png (1.0 Kb) · 2675875.png (1.1 Kb) · 0435926.png (0.8 Kb)
 
 
HillaryДата: Среда, 20.12.2017, 13:35 | Сообщение # 2
Полковник
Группа: Проверенные
Сообщений: 231
Награды: 0
Репутация: 0
Статус: Offline


 
Работай из дома! 18+
 
 


Расстояние, которое шарик пролетает до момента падения (l), это значение координаты х в момент, когда y = —h, где h - высота падения, отсюда можно получить в момент падения





Выполнение работы:

1. Определение начальной скорости:

№ опыта

h, м

l, м

lср, м

V0 м/с

V0cp м/с

1

0,2

0,16

0,15

0,79

0,74

2

0,2

0,14

0,69

3

0,2

0,15

0,74

4

0,2

0,135

0,67

5

0,2

0,165

0,82

6

0,2

0,145

0,71

Вычисления:









Фото: 3326194.png (1.1 Kb) · 3588505.png (0.8 Kb) · 2721055.png (1.3 Kb) · 6179230.png (1.5 Kb) · 8377896.png (2.0 Kb) · 3081262.png (4.0 Kb) · 5948265.png (1.7 Kb) · 6501798.png (1.5 Kb) · 1187527.png (2.3 Kb) · 5880970.png (1.4 Kb)
 
 
HillaryДата: Среда, 20.12.2017, 13:36 | Сообщение # 3
Полковник
Группа: Проверенные
Сообщений: 231
Награды: 0
Репутация: 0
Статус: Offline


 
Работай из дома! 18+
 
 


Построение траектории:



Траектория, построенная вами, несколько отличается от реальной, которую вы можете наблюдать во время опытов, так как не учитывает сопротивления воздуха.

Видео. Лабораторная работа № 4 «Изучение движения тела, брошенного горизонтально»









Смотрите также лабораторки на другие темы:


Лабораторная работа № 1 «Измерение ускорения тела при равноускоренном движении»

Лабораторная работа № 2 «Измерение жесткости пружины»

Лабораторная работа № 3 «Измерение коэффициента трения скольжения»

Лабораторная работа № 4 «Изучение движения тела, брошенного горизонтально»

Лабораторная работа № 5 «Изучение движения тела по окружности под действием сил упругости и тяжести»

Лабораторная работа № 6 «Изучение равновесия тел под действием нескольких сил»

Лабораторная работа № 7 «Изучение закона сохранения механической энергии»

Лабораторная работа № 8 «Измерение ускорения свободного падения с помощью маятника»

Фото: 7625969.png (16.6 Kb)
 
 
  • Страница 1 из 1
  • 1
Поиск:

Работай из дома! 18+
 
 
 
 
 
 

 
Последние темы на форуме:
 
  • Новогодние праздники 2021-2022 официальные выходные
  • Показатели давления и сердцебиения у женщины 57 лет
  • Гороскоп на декабрь 2021 Женщина Телец
  • Гороскоп на январь 2022 от Павла Глоба
  • Гороскоп на декабрь 2021 от Павла Глоба
  • Гороскоп на ноябрь 2021 от Павла Глоба
  • Стенограмма судьбы - Содержание серий, актеры и роли сериала
  • Мосгаз. Западня - Содержание серий, актеры и роли 2021
  • Тобол - Содержание серий, актеры и роли сериала. 2021
  • Гороскоп для Тигра на сегодня от Павла Глоба
  • Утраченные воспоминания - Содержание серий, актеры и роли
  • Чёрно-белая любовь - Содержание серий, актеры и роли сериала
  • Забытая женщина - Содержание серий, актеры и роли сериала
  • Тайна спящей дамы - Содержание серий, актеры и роли сериала
  • Сериал Часы с кукушкой - Содержание серий, актеры и роли
  •  
     

     
    Обращаем ваше внимание на то, что данный интернет-сайт www.kinolog.do.am носит исключительно информационный характер и ни при каких условиях не является публичной офертой, определяемой положениями Статьи 437 (2) Гражданского кодекса РФ. Цена и наличие товара может отличаться от действительной. Пожалуйста, уточняйте цены и наличие товара у наших менеджеров.
    Администрация сайта не несет ответственности за действия и содержание размещаемой информации пользователей: комментарии, материалы, сообщения и темы на форуме, публикации, объявления и т.д.
    Правообладателям | Реклама | Учебники | Политика
    Отопление, водоснабжение, газоснабжение, канализация © 2003 - 2021
    Рейтинг@Mail.ru Рейтинг арматурных сайтов. ARMTORG.RU Яндекс.Метрика