[ Новые сообщения · Участники · Правила форума · Поиск · RSS ]
 
Работай из дома! 18+

  • Страница 1 из 1
  • 1
Лабораторная работа № 7 Изучение закона сохранения
HillaryДата: Среда, 20.12.2017, 16:45 | Сообщение # 1
Полковник
Группа: Проверенные
Сообщений: 231
Награды: 0
Репутация: 0
Статус: Offline


 
Работай из дома! 18+
 
 


Лабораторная работа № 7 «Изучение закона сохранения механической энергии»



«Физика. Физика. 9-й класс И.К. Кикоин, А.К. Кикоин. ФИПИ. ФГОС. Школа России. 21 век.

Презентация на тему: Лабораторная работа № 7 «Изучение закона сохранения механической энергии»

ГДЗ и решебник по предмету Физике. Лабораторные работы по Физике с ответами можно бесплатно скачать к себе на компьютер, телефон, планшетник или смартфон в любом формате. Потом в свое свободное время можно решать задачи онлайн или офлайн. А также проверить сразу решения и правильные ответы на задания лабораторной работы. Ответы, вывод, пояснения и решение на лабораторную работу смотрите ниже. Таблица и описание опыта можно прочитать или посмотреть по видео.



Цель работы: сравнить две величины—уменьшение потенциальной энергии прикрепленного к пружине тела при его падении и увеличение потенциальной энергии растянутой пружины.

Средства измерения:

1) динамометр, жесткость пружины которого равна 40 Н/м; 2) линейка

измерительная; 3) груз из набора по механике; масса груза равна (0,100 ±0,002) кг.

Материалы: 1) фиксатор;

2) штатив с муфтой и лапкой.

Для работы используется установка, показанная на рисунке 180. Она представляет собой укрепленный на штативе динамометр с фиксатором 1.



Пружина динамометра заканчивается проволочным стержнем с крючком. Фиксатор (в увеличенном масштабе он показан отдельно — помечен цифрой 2) — это легкая пластинка из пробки (размерами 5 Х 7 X 1,5 мм), прорезанная ножом до ее центра. Ее насаживают на проволочный стержень динамометра. Фиксатор должен перемещаться вдоль стержня с небольшим трением, но трение все же должно быть достаточным, чтобы фиксатор сам по себе не падал вниз. В этом нужно убедиться перед началом работы. Для этого фиксатор устанавливают у нижнего края шкалы на ограничительной скобе. Затем растягивают и отпускают.

Фиксатор вместе с проволочным стержнем должен подняться вверх, отмечая этим максимальное удлинение пружины, равное расстоянию от упора до фиксатора.

Если поднять груз, висящий на крючке динамометра, так, чтобы пружина не была растянута, то потенциальная энергия груза по отношению, например, к поверхности стола равна mgH. При падении груза (опускание на расстояние x = h) потенциальная энергия груза уменьшится на



а энергия пружины при ее деформации увеличивается на



Порядок выполнения работы

1. Груз из набора по механике прочно укрепите на крючке динамометра.

2. Поднимите рукой груз, разгружая пружину, и установите фиксатор внизу у скобы.

3. Отпустите груз. Падая, груз растянет пружину. Снимите груз и по положению фиксатора измерьте линейкой максимальное удлинение х пружины.

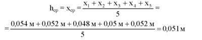
4. Повторите опыт пять раз.

5. Подсчитайте



и



6. Результаты занесите в таблицу:

Номер опыта

7. Сравните отношение



с единицей и сделайте вывод о погрешности, с которой был проверен закон сохранения энергии.

Закон сохранения механической энергии. Полная механическая энергия замкнутой системы тел, взаимодействующих силами тяготения или силами упругости, остается неизменной при любых движениях тел системы




Рассмотрим такое тело (в нашем случае рычаг). На него действуют две силы: вес грузов P и сила F (упругости пружины динамометра), чтобы рычаг находился в равновесии и моменты этих сил должны быть равны по модулю меду собой. Абсолютные значения моментов сил F и P определим соответственно:


[/b]
Фото: 1793129.png (23.5 Kb) · 8833482.png (1.1 Kb) · 4448475.png (1.2 Kb) · 9816375.png (1.4 Kb) · 6093209.png (1.4 Kb) · 5843132.png (0.4 Kb) · 3197306.png (1.1 Kb) · 4846162.png (2.3 Kb) · 0750599.png (0.9 Kb) · 2738194.png (0.8 Kb)
 
 
HillaryДата: Среда, 20.12.2017, 16:48 | Сообщение # 2
Полковник
Группа: Проверенные
Сообщений: 231
Награды: 0
Репутация: 0
Статус: Offline


 
Работай из дома! 18+
 
 


Рассмотрим груз, прикрепленный к упругой пружине таким образом, как показано на рисунке. Вначале удерживаем тело в положении 1, пружина не натянута и сила упругости, действующая на тело равна нулю. Затем отпускаем тело и оно падает под действием силы тяжести до положения 2, в котором сила тяжести полностью компенсируется силой упругости пружины при удлинении ее на h (тело покоится в этот момент времени).

Рассмотрим изменение потенциальной энергии системы при переходе тела из положения 1 в положение 2. При переходе из положения 1 в положение 2 потенциальная энергия тела уменьшается на величину mgh, а потенциальная энергия пружины возрастает на величину



Целью работы является сравнение этих двух величин. Средства измерения: динамометр с известной заранее жесткостью пружины 40 Н/м, линейка, груз из набора по механике.

Выполнение работы:

№ опыта

1

0,054

2

0,052

3

0,048

0,051

0,050

0,052

0,96

4

0,050

5

0,052

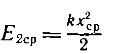
Вычисления:





Оценим погрешности:





Отношение потенциальных энергий запишем как:



откуда видно, что полученное отклонение от единицы лежит в пределах погрешности измерений.

Видео. Лабораторная работа № 7 «Изучение закона сохранения механической энергии»







Смотрите также лабораторки на другие темы:


Лабораторная работа № 1 «Измерение ускорения тела при равноускоренном движении»

Лабораторная работа № 2 «Измерение жесткости пружины»

Лабораторная работа № 3 «Измерение коэффициента трения скольжения»

Лабораторная работа № 4 «Изучение движения тела, брошенного горизонтально»

Лабораторная работа № 5 «Изучение движения тела по окружности под действием сил упругости и тяжести»

Лабораторная работа № 6 «Изучение равновесия тел под действием нескольких сил»

Лабораторная работа № 7 «Изучение закона сохранения механической энергии»

Лабораторная работа № 8 «Измерение ускорения свободного падения с помощью маятника»

Фото: 4006040.png (0.3 Kb) · 5532614.png (5.6 Kb) · 1470096.png (3.3 Kb) · 9361983.png (4.3 Kb) · 9178891.png (2.5 Kb) · 8334478.png (4.8 Kb) · 3152848.png (2.5 Kb) · 3669425.png (1.7 Kb)
 
 
  • Страница 1 из 1
  • 1
Поиск:

Работай из дома! 18+
 
 
 
 
 
 

 
Последние темы на форуме:
 
  • Новогодние праздники 2021-2022 официальные выходные
  • Показатели давления и сердцебиения у женщины 57 лет
  • Гороскоп на декабрь 2021 Женщина Телец
  • Гороскоп на январь 2022 от Павла Глоба
  • Гороскоп на декабрь 2021 от Павла Глоба
  • Гороскоп на ноябрь 2021 от Павла Глоба
  • Стенограмма судьбы - Содержание серий, актеры и роли сериала
  • Мосгаз. Западня - Содержание серий, актеры и роли 2021
  • Тобол - Содержание серий, актеры и роли сериала. 2021
  • Гороскоп для Тигра на сегодня от Павла Глоба
  • Утраченные воспоминания - Содержание серий, актеры и роли
  • Чёрно-белая любовь - Содержание серий, актеры и роли сериала
  • Забытая женщина - Содержание серий, актеры и роли сериала
  • Тайна спящей дамы - Содержание серий, актеры и роли сериала
  • Сериал Часы с кукушкой - Содержание серий, актеры и роли
  •  
     

     
    Обращаем ваше внимание на то, что данный интернет-сайт www.kinolog.do.am носит исключительно информационный характер и ни при каких условиях не является публичной офертой, определяемой положениями Статьи 437 (2) Гражданского кодекса РФ. Цена и наличие товара может отличаться от действительной. Пожалуйста, уточняйте цены и наличие товара у наших менеджеров.
    Администрация сайта не несет ответственности за действия и содержание размещаемой информации пользователей: комментарии, материалы, сообщения и темы на форуме, публикации, объявления и т.д.
    Правообладателям | Реклама | Учебники | Политика
    Отопление, водоснабжение, газоснабжение, канализация © 2003 - 2021
    Рейтинг@Mail.ru Рейтинг арматурных сайтов. ARMTORG.RU Яндекс.Метрика