[ Новые сообщения · Участники · Правила форума · Поиск · RSS ]
 
Работай из дома! 18+

  • Страница 1 из 1
  • 1
Лабораторная работа №1 «Опытная проверка закона Гей-Люссака»
HillaryДата: Четверг, 21.12.2017, 11:19 | Сообщение # 1
Полковник
Группа: Проверенные
Сообщений: 231
Награды: 0
Репутация: 0
Статус: Offline


 
Работай из дома! 18+
 
 


Лабораторная работа №1 «Опытная проверка закона Гей-Люссака»



«Физика. 10 класс» Г. Я Мякишев, Б. Б. Буховцев. ФИПИ. ФГОС. Школа России. 21 век.

Презентация на тему: Лабораторная работа №1 «Опытная проверка закона Гей-Люссака»

ГДЗ и решебник по предмету Физике. Лабораторные работы по Физике с ответами можно бесплатно скачать к себе на компьютер, телефон, планшетник или смартфон в любом формате. Потом в свое свободное время можно решать задачи онлайн или офлайн. А также проверить сразу решения и правильные ответы на задания лабораторной работы. Ответы, вывод, пояснения и решение на лабораторную работу смотрите ниже. Таблица и описание опыта можно прочитать или посмотреть по видео.



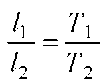
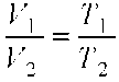
Цель работы: Экспериментальным путем проверить верность закона Гей-Люссака Для газа данной массы отношение объема к температуре постоянно, если давление газа не меняется. = сот1 при р = сот1. Следовательно, объем газа линейно зависит от температуры при постоянном давлении: V = сот1.Т. Чтобы проверить закон Гей-Люссака, необходимо измерить объем и температуру газа в двух состояниях при постоянном давлении и проверить верность равенства: . Это можно осуществить, используя воздух при атмосферном давлении. Первое состояние: стеклянная трубка открытым концом вверх помещается на 3-5 мин в цилиндрический сосуд с горячей водой (рис. а). В этом случае объем воздуха У1 равен объему стеклянной трубки, а температура - температуре горячей воды Т1. Чтобы при переходе воздуха в следующее состояние его количество не изменилось, открытый конец стеклянной трубки, находящейся в горячей воде, замазывают пластилином. После следует вынуть трубку из сосуда с горячей водой и замазанный конец быстро опускают в стакан с водой комнатной температуры (рис. б). Затем прямо под водой снимают пластилин. По мере охлаждения воздуха в трубке вода в ней будет подниматься. После прекращения подъема воды в трубке (рис. в) объем воздуха будет У2<У1 давление р = ратм - рдП. Чтобы давление воздуха стало равным атмосферному надо погружать трубку в стакан до тех пор, пока уровень воды в трубке и стакане не выровняются (рис. г). Это второе состояние при Т2 окружающего воздуха. Отношение объемов необходимо заменить отношением высот воздушных столбов в трубке, если

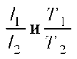
сечение постоянно по всей длине В работе
следует сравнить

Необходимые инструменты для

измерения: линейка, термометр.



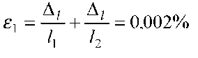
Используя ученическую линейку мы делаем замер длины 11 и 12 . С помощью термометра мы замеряем температуру окружающего воздуха Т2. Для дальнейшего заполнения таблицы проведем следующие вычисления: 1) А01 - абсолютная погрешность отсчета А01 = 0,5. 2) Максимальная абсолютная погрешность находится по формуле: А1 = А и I+ А 01 = 1 + 0,5 = 1,5. 3) Т, = 273 + I, = 273 + 60= 333.



Относительная погрешность

[/b]
Фото: 0172072.png (0.8 Kb) · 0454818.png (0.9 Kb) · 2318553.png (1.2 Kb) · 2540257.png (1.5 Kb) · 9761943.jpg (39.5 Kb) · 6738354.png (0.9 Kb) · 5223248.png (3.6 Kb) · 5677217.png (1.3 Kb) · 2249783.png (1.0 Kb) · 2033282.png (0.9 Kb)
 
 
HillaryДата: Четверг, 21.12.2017, 11:20 | Сообщение # 2
Полковник
Группа: Проверенные
Сообщений: 231
Награды: 0
Репутация: 0
Статус: Offline


 
Работай из дома! 18+
 
 




Вывод: Исходя из проведенных выше опытов становится ясно, что закон Гей-Люссака, выраженный равенством в данном случае



является верным. Что мы и доказали этой лабораторной

работой.

Видео. Лабораторная работа №1 «Опытная проверка закона Гей-Люссака»






Смотрите еще лабораторные работы из 10 класса:


Лабораторная работа №1 «Опытная проверка закона Гей-Люссака»

Лабораторная работа №2 «Измерение модуля упругости (модуля Юнга) резины»

Лабораторная работа №3 «Измерение ЭДС и внутреннего сопротивления источника тока»

Лабораторная работа №4 «Измерение удельного сопротивления проводника»

Лабораторная работа №5 «Изучение последовательного и параллельного соединения проводов»

Лабораторная работа №6 «Наблюдение действия магнитного поля на ток»

Лабораторная работа №7 «Определение заряда электрона»

Фото: 1973913.png (1.8 Kb) · 3785868.png (1.4 Kb) · 4033333.png (0.9 Kb)
 
 
  • Страница 1 из 1
  • 1
Поиск:

Работай из дома! 18+
 
 
 
 
 
 

 
Последние темы на форуме:
 
  • Новогодние праздники 2021-2022 официальные выходные
  • Показатели давления и сердцебиения у женщины 57 лет
  • Гороскоп на декабрь 2021 Женщина Телец
  • Гороскоп на январь 2022 от Павла Глоба
  • Гороскоп на декабрь 2021 от Павла Глоба
  • Гороскоп на ноябрь 2021 от Павла Глоба
  • Стенограмма судьбы - Содержание серий, актеры и роли сериала
  • Мосгаз. Западня - Содержание серий, актеры и роли 2021
  • Тобол - Содержание серий, актеры и роли сериала. 2021
  • Гороскоп для Тигра на сегодня от Павла Глоба
  • Утраченные воспоминания - Содержание серий, актеры и роли
  • Чёрно-белая любовь - Содержание серий, актеры и роли сериала
  • Забытая женщина - Содержание серий, актеры и роли сериала
  • Тайна спящей дамы - Содержание серий, актеры и роли сериала
  • Сериал Часы с кукушкой - Содержание серий, актеры и роли
  •  
     

     
    Обращаем ваше внимание на то, что данный интернет-сайт www.kinolog.do.am носит исключительно информационный характер и ни при каких условиях не является публичной офертой, определяемой положениями Статьи 437 (2) Гражданского кодекса РФ. Цена и наличие товара может отличаться от действительной. Пожалуйста, уточняйте цены и наличие товара у наших менеджеров.
    Администрация сайта не несет ответственности за действия и содержание размещаемой информации пользователей: комментарии, материалы, сообщения и темы на форуме, публикации, объявления и т.д.
    Правообладателям | Реклама | Учебники | Политика
    Отопление, водоснабжение, газоснабжение, канализация © 2003 - 2021
    Рейтинг@Mail.ru Рейтинг арматурных сайтов. ARMTORG.RU Яндекс.Метрика