[ Новые сообщения · Участники · Правила форума · Поиск · RSS ]
 
Работай из дома! 18+

  • Страница 1 из 1
  • 1
Лаб. работа№5 Изучение последовательного соединения проводов
HillaryДата: Четверг, 21.12.2017, 12:38 | Сообщение # 1
Полковник
Группа: Проверенные
Сообщений: 231
Награды: 0
Репутация: 0
Статус: Offline


 
Работай из дома! 18+
 
 


Лабораторная работа №5 «Изучение последовательного и параллельного соединения проводов»



«Физика. 10 класс» Г. Я Мякишев, Б. Б. Буховцев. ФИПИ. ФГОС. Школа России. 21 век.

Презентация на тему: Лабораторная работа №5 «Изучение последовательного и параллельного соединения проводов»

ГДЗ и решебник по предмету Физике. Лабораторные работы по Физике с ответами можно бесплатно скачать к себе на компьютер, телефон, планшетник или смартфон в любом формате. Потом в свое свободное время можно решать задачи онлайн или офлайн. А также проверить сразу решения и правильные ответы на задания лабораторной работы. Ответы, вывод, пояснения и решение на лабораторную работу смотрите ниже. Таблица и описание опыта можно прочитать или посмотреть по видео.



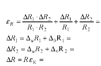
Цель работы: проверить следующие законы: 1) для последовательного соединения проводников:



2) для параллельного соединения проводников:



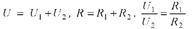
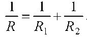
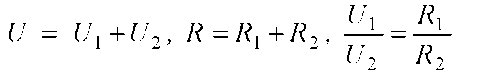
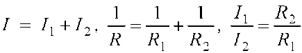
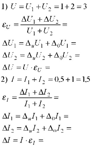
Соберем цепь для изучения последовательного соединения резисторов. Измерим напряжение на концах рассматриваемого участка и на каждом из проводников, тогда общее напряжение будет равно сумме напряжений на каждом проводнике: U = U1 + U2, а значение резистора будет равно сумме значения каждого резистора: R = R1 + R2 и отношение будет равно

отношению

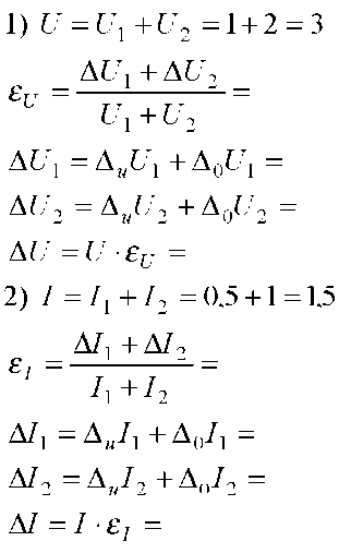
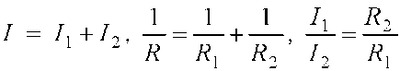
Соберем цепь для изучения параллельного соединения резисторов. Измерим силу тока в цепи. Общее значение силы тока равно сумме значения силы тока на разветвленных проводах. Величина, обратная резистору всего участка цепи, равна сумме величин, обратных резисторов проводников: . И значение отношения равно обратному отношению резисторов

Пример вычисления:



Для заполнения таблицы используем следующие формулы: расчет погрешностей можно не производить.



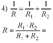
3) R = R1 + R2 = 0,1 + 0,2 = 0,3 для последовательного соединения проводников.

[/b]
Фото: 2679147.png (1.4 Kb) · 7946838.png (1.4 Kb) · 7218481.png (0.8 Kb) · 9652846.png (0.8 Kb) · 8551646.png (1.0 Kb) · 0586327.png (0.8 Kb) · 6201136.png (0.9 Kb) · 0075509.png (3.1 Kb) · 7333782.png (7.2 Kb) · 2769541.png (3.1 Kb)
 
 
HillaryДата: Четверг, 21.12.2017, 12:39 | Сообщение # 2
Полковник
Группа: Проверенные
Сообщений: 231
Награды: 0
Репутация: 0
Статус: Offline


 
Работай из дома! 18+
 
 


для параллельного соединения проводников



Вывод: законы верны и доказаны в ходе эксперимента опытным путем для последовательного и параллельного соединения проводников.

Видео. Лабораторная работа №5 «Изучение последовательного и параллельного соединения проводов»







Смотрите еще лабораторные работы из 10 класса:


Лабораторная работа №1 «Опытная проверка закона Гей-Люссака»

Лабораторная работа №2 «Измерение модуля упругости (модуля Юнга) резины»

Лабораторная работа №3 «Измерение ЭДС и внутреннего сопротивления источника тока»

Лабораторная работа №4 «Измерение удельного сопротивления проводника»

Лабораторная работа №5 «Изучение последовательного и параллельного соединения проводов»

Лабораторная работа №6 «Наблюдение действия магнитного поля на ток»

Лабораторная работа №7 «Определение заряда электрона»

Фото: 2450849.png (2.1 Kb) · 9553183.png (3.9 Kb)
 
 
  • Страница 1 из 1
  • 1
Поиск:

Работай из дома! 18+
 
 
 
 
 
 

 
Последние темы на форуме:
 
  • Новогодние праздники 2021-2022 официальные выходные
  • Показатели давления и сердцебиения у женщины 57 лет
  • Гороскоп на декабрь 2021 Женщина Телец
  • Гороскоп на январь 2022 от Павла Глоба
  • Гороскоп на декабрь 2021 от Павла Глоба
  • Гороскоп на ноябрь 2021 от Павла Глоба
  • Стенограмма судьбы - Содержание серий, актеры и роли сериала
  • Мосгаз. Западня - Содержание серий, актеры и роли 2021
  • Тобол - Содержание серий, актеры и роли сериала. 2021
  • Гороскоп для Тигра на сегодня от Павла Глоба
  • Утраченные воспоминания - Содержание серий, актеры и роли
  • Чёрно-белая любовь - Содержание серий, актеры и роли сериала
  • Забытая женщина - Содержание серий, актеры и роли сериала
  • Тайна спящей дамы - Содержание серий, актеры и роли сериала
  • Сериал Часы с кукушкой - Содержание серий, актеры и роли
  •  
     

     
    Обращаем ваше внимание на то, что данный интернет-сайт www.kinolog.do.am носит исключительно информационный характер и ни при каких условиях не является публичной офертой, определяемой положениями Статьи 437 (2) Гражданского кодекса РФ. Цена и наличие товара может отличаться от действительной. Пожалуйста, уточняйте цены и наличие товара у наших менеджеров.
    Администрация сайта не несет ответственности за действия и содержание размещаемой информации пользователей: комментарии, материалы, сообщения и темы на форуме, публикации, объявления и т.д.
    Правообладателям | Реклама | Учебники | Политика
    Отопление, водоснабжение, газоснабжение, канализация © 2003 - 2021
    Рейтинг@Mail.ru Рейтинг арматурных сайтов. ARMTORG.RU Яндекс.Метрика