[ Новые сообщения · Участники · Правила форума · Поиск · RSS ]
 
Работай из дома! 18+

  • Страница 1 из 1
  • 1
Лабораторная работа №7 «Определение заряда электрона»
HillaryДата: Четверг, 21.12.2017, 12:59 | Сообщение # 1
Полковник
Группа: Проверенные
Сообщений: 231
Награды: 0
Репутация: 0
Статус: Offline


 
Работай из дома! 18+
 
 


Лабораторная работа №7 «Определение заряда электрона»



«Физика. 10 класс» Г. Я Мякишев, Б. Б. Буховцев. ФИПИ. ФГОС. Школа России. 21 век.

Презентация на тему: Лабораторная работа №7 «Определение заряда электрона»

ГДЗ и решебник по предмету Физике. Лабораторные работы по Физике с ответами можно бесплатно скачать к себе на компьютер, телефон, планшетник или смартфон в любом формате. Потом в свое свободное время можно решать задачи онлайн или офлайн. А также проверить сразу решения и правильные ответы на задания лабораторной работы. Ответы, вывод, пояснения и решение на лабораторную работу смотрите ниже. Таблица и описание опыта можно прочитать или посмотреть по видео.



Цель работы: научиться определять заряд электрона экспериментальным путем.

Схема измерительной установки показана на рисунке.

Для проведения эксперимента можно использовать водный раствор сульфата меди (CuSO4), а в качестве электродов - медные пластины. Заряд электрона может быть определен по формуле:



полученной из закона Фарадея для электролиза. Здесь m - масса выделившегося на электроде вещества, М - молярная масса вещества, n - валентность этого вещества, NA - постоянная Авогадро, I - сила тока, прошедшего через раствор электролита, t -время прохождения тока.

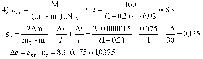
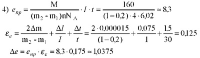
Масса выделившейся на катоде меди определяется путем взвешивания катода до и после проведения опыта. Поэтому m=m2+m1, и формула для определения заряда электрона примет вид:



Для измерения силы тока используют школьный амперметр, время измеряется часами. Реостат в цепи необходим для регулирования силы тока.



Пример выполнения



Используем следующие формулы для заполнения таблицы:

1) Δиm - абсолютная погрешность

Δиm = 0,00001 кг

Δ0m - абсолютная погрешность отсчета

Δ0m = 0,000005 кг

Δm - максимальная абсолютная погрешность

Δm = Δиm + Δ0m = 0,00001 + 0,000005 = 0,000015 кг

2) Δиt = 1

Δ0t = 0,5

Δt = Δиt + Δ0t = 1 + 0,5 = 1,5

3) ΔиI = 0,05

Δ0I = 0,025

ΔI = ΔиI + Δ0I = 0,05 + 0,025 = 0,075



Вывод: на опыте с помощью приборов и инструментов удалось экспериментально вычислить заряд электрона.

Видео. Лабораторная работа №7 «Определение заряда электрона»








Смотрите еще лабораторные работы из 10 класса:


Лабораторная работа №1 «Опытная проверка закона Гей-Люссака»

Лабораторная работа №2 «Измерение модуля упругости (модуля Юнга) резины»

Лабораторная работа №3 «Измерение ЭДС и внутреннего сопротивления источника тока»

Лабораторная работа №4 «Измерение удельного сопротивления проводника»

Лабораторная работа №5 «Изучение последовательного и параллельного соединения проводов»

Лабораторная работа №6 «Наблюдение действия магнитного поля на ток»

Лабораторная работа №7 «Определение заряда электрона»
Фото: 0259176.png (1.0 Kb) · 8323188.png (1.2 Kb) · 1302056.jpg (6.3 Kb) · 9543692.png (4.8 Kb) · 2752744.png (4.9 Kb)
 
 
  • Страница 1 из 1
  • 1
Поиск:

Работай из дома! 18+
 
 
 
 
 
 

 
Последние темы на форуме:
 
  • Новогодние праздники 2021-2022 официальные выходные
  • Показатели давления и сердцебиения у женщины 57 лет
  • Гороскоп на декабрь 2021 Женщина Телец
  • Гороскоп на январь 2022 от Павла Глоба
  • Гороскоп на декабрь 2021 от Павла Глоба
  • Гороскоп на ноябрь 2021 от Павла Глоба
  • Стенограмма судьбы - Содержание серий, актеры и роли сериала
  • Мосгаз. Западня - Содержание серий, актеры и роли 2021
  • Тобол - Содержание серий, актеры и роли сериала. 2021
  • Гороскоп для Тигра на сегодня от Павла Глоба
  • Утраченные воспоминания - Содержание серий, актеры и роли
  • Чёрно-белая любовь - Содержание серий, актеры и роли сериала
  • Забытая женщина - Содержание серий, актеры и роли сериала
  • Тайна спящей дамы - Содержание серий, актеры и роли сериала
  • Сериал Часы с кукушкой - Содержание серий, актеры и роли
  •  
     

     
    Обращаем ваше внимание на то, что данный интернет-сайт www.kinolog.do.am носит исключительно информационный характер и ни при каких условиях не является публичной офертой, определяемой положениями Статьи 437 (2) Гражданского кодекса РФ. Цена и наличие товара может отличаться от действительной. Пожалуйста, уточняйте цены и наличие товара у наших менеджеров.
    Администрация сайта не несет ответственности за действия и содержание размещаемой информации пользователей: комментарии, материалы, сообщения и темы на форуме, публикации, объявления и т.д.
    Правообладателям | Реклама | Учебники | Политика
    Отопление, водоснабжение, газоснабжение, канализация © 2003 - 2021
    Рейтинг@Mail.ru Рейтинг арматурных сайтов. ARMTORG.RU Яндекс.Метрика