[ Новые сообщения · Участники · Правила форума · Поиск · RSS ]
 
Работай из дома! 18+

ГДЗ по Математике. 6 класс
KADETДата: Среда, 24.12.2014, 16:14 | Сообщение # 241
Генерал-майор
Группа: Проверенные
Сообщений: 337
Награды: 0
Репутация: 0
Статус: Offline


 
Работай из дома! 18+
 
 




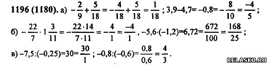
Задача № 1196

Ответ на задание



Задача № 1197

Ответы на задание



Задача № 1198

Ответ на задачу



Задача № 1199

Два мальчика идут навстречу друг другу. Сейчас между ними 12 км. Скорость одного из них составляет 2/3 скорости другого. Найдите скорость движения каждого мальчика, если известно, что они встретяться через 1,5ч.

Ответ на задание и решение



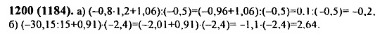
Задача № 1200

Ответ на задачку

Фото: 9993517.jpg (34.9 Kb) · 2220610.jpg (18.9 Kb) · 5598249.jpg (19.9 Kb) · 3222554.jpg (38.6 Kb) · 3077857.jpg (23.2 Kb)
 
 
KADETДата: Среда, 24.12.2014, 16:18 | Сообщение # 242
Генерал-майор
Группа: Проверенные
Сообщений: 337
Награды: 0
Репутация: 0
Статус: Offline


 
Работай из дома! 18+
 
 


Задача № 1201

Сформулируйте словами переместительное свойство сложения а+b=b+а и проверьте его при:

Ответ на задание



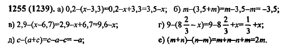
Задача № 1202

Сформулируйте словами сочетательное свойство сложения а+{b+с) = (а+b)+с и проверьте его при:

Ответы на задание



Задача № 1203

Сложив отдельно положительные и отдельно отрицательные числа, найдите значение выражения:

Ответ на задачу



Задача № 1204

Сложив сначала противоположные числа, найдите значение выражения:

Ответ на задание и решение



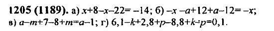
Задача № 1205

Упростите выражение:

а) x + 8 — х — 22;
в) a-m + 7-8+m;
б) —х—а + 12+а —12;
г) 6,1 —k + 2,8 + p — 8,8 + k — р.

Ответ на задачку

Фото: 4951612.jpg (23.1 Kb) · 2567231.jpg (36.3 Kb) · 1506225.jpg (39.8 Kb) · 7459247.jpg (40.0 Kb) · 1214922.jpg (23.6 Kb)
 
 
KADETДата: Среда, 24.12.2014, 16:22 | Сообщение # 243
Генерал-майор
Группа: Проверенные
Сообщений: 337
Награды: 0
Репутация: 0
Статус: Offline


 
Работай из дома! 18+
 
 


Задача № 1206

Выбрав удобный порядок вычислений, найдите значение выражения:

Ответ на задание



Задача № 1207

Сформулируйте словами переместительное свойство умножения ab = ba и проверьте его при:

Ответы на задание



Задача № 1208

Сформулируйте словами сочетательное свойство умножения a(bc)=(ab)c и проверьте его при:

Ответ на задачу



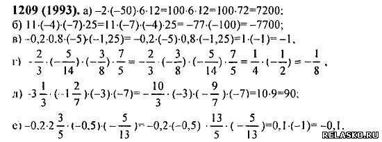
Задача № 1209

Выбирая удобный порядок вычислений, найдите значение выражения:

Ответ на задание и решение



Задача № 1210

Какое получится число (положительное или отрицательное), если перемножить:

а) одно отрицательное число и два положительных числа;
б) два отрицательных и одно положительное число;
в) 7 отрицательных и несколько положительных чисел;
г) 20 отрицательных и несколько положительных?

Сделайте вывод.

Ответ на задачку

Фото: 9393775.jpg (41.9 Kb) · 1519088.jpg (26.7 Kb) · 5717490.jpg (36.7 Kb) · 1417477.jpg (51.3 Kb) · 0945767.jpg (30.0 Kb)
 
 
KADETДата: Среда, 24.12.2014, 16:25 | Сообщение # 244
Генерал-майор
Группа: Проверенные
Сообщений: 337
Награды: 0
Репутация: 0
Статус: Offline


 
Работай из дома! 18+
 
 


Задача № 1211

Определите знак произведения:

а) — 2 • (— 3) • (— 9) • (—1,3) • 14 • (— 2,7) • (— 2,9);
б) 4• ( —11) •(—12)• ( —13)• ( —15)• (—17)• 80• 90.

Ответ на задание



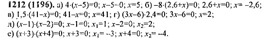
Задача № 1212

Решите уравнение, использовав свойство произведения, равного нулю:

а) 4• (x-5) = 0; в) 1,5•(41 -x)=0; д) (x-1)-(x-2) = 0;
б) -8• (2,6 + x) = 0; г) (Зх-6)• 2,4=0; е) (x + 3)• (x + 4) = 0.

Ответы на задание



Задача № 1213

Сформулируйте словами распределительное свойство умножения (a+b)• c = ac+bc и проверьте его при:

Ответ на задачу



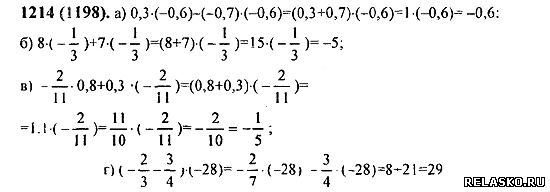
Задача № 1214

Выбирая удобный порядок вычислений, найдите значение выражения:

Ответ на задание и решение



Задача № 1215

Вычислите устно:

Ответ на задачку

Фото: 3425415.jpg (18.4 Kb) · 6910365.jpg (29.9 Kb) · 9459380.jpg (42.1 Kb) · 5078791.jpg (38.4 Kb) · 4459537.jpg (17.1 Kb)
 
 
KADETДата: Среда, 24.12.2014, 16:43 | Сообщение # 245
Генерал-майор
Группа: Проверенные
Сообщений: 337
Награды: 0
Репутация: 0
Статус: Offline


 
Работай из дома! 18+
 
 


Задача № 1216

Найдите сумму всех целых чисел:

а) от —6 до 7; б) от —18 до 17; в) от —22 до 20.

Ответ на задание



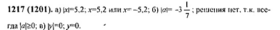
Задача № 1217

Решите уравнение:

Ответы на задание



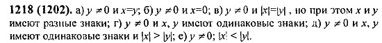
Задача № 1218

Придумайте такие значения х и y, при которых верно соотношение:

Ответ на задачу



Задача № 1219

Найдите наибольшее значение выражения:

а) -|x|; б)2-|x|; в)-|x-1|; г)-(x-1)2.

Ответ на задание и решение



Задача № 1220

Решать некоторые математические задачи помогают (мы специальные схемы, состоящие из точек и соединяющих их дуг или стрелок (рис. 91). Такие схемы называют графами, точки называют вершинами графа, а дуги — ребрами графа.

Решите с помощью графов задачу:

а) В спортивном зале собрались Витя, Коля, Петя, Сережа и Максим (рис. 91, а). Оказалось, что каждый из мальчиков знаком только с двумя другими. Кто с кем знаком? (Ребро графа означает «мы знакомы».)

б) Во дворе гуляют братья и сестры одной семьи. Кто из этих детей мальчики, а кто девочки (рис. 91, б)? (Пунктирные ребра графа означают - "я - сестра", а сплошные - "я - брат".)

Ответ на задачку

Фото: 2191332.jpg (17.3 Kb) · 1004641.jpg (18.2 Kb) · 3388853.jpg (27.6 Kb) · 4724432.jpg (19.3 Kb) · 5629711.jpg (28.6 Kb)
 
 
KADETДата: Среда, 24.12.2014, 16:46 | Сообщение # 246
Генерал-майор
Группа: Проверенные
Сообщений: 337
Награды: 0
Репутация: 0
Статус: Offline


 
Работай из дома! 18+
 
 


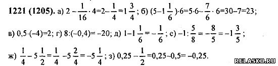
Задача № 1221

Вычислите:

Ответ на задание



Задача № 1222

Сравните:

а) 23 и 32; б) (-2)3 и (-3)2; в) 13 и 12; г) (-1)3 и (-1)2.

Ответы на задание



Задача № 1223

Округлите 5,2853 до тысячных; до сотых; до десятых; до единиц.

Ответ на задачу



Задача № 1224

Решите задачу:

1) Мотоциклист догоняет велосипедиста. Сейчас между ними 23,4 км. Скорость мотоциклиста в 3,6 раза больше скорости велосипедиста. Найдите скорости велосипедиста и мотоциклиста, если известно, что мотоциклист догонит велосипедиста через ч.

2) Легковая автомашина догоняет автобус. Сейчас между ними 18 км. Скорость автобуса составляет скорости легковой автомашины. Найдите скорости автобуса и легковой автомашины, если известно, что легковая автомашина догонит автобус через ч.

Ответ на задание и решение



Задача № 1225

Найдите значение выражения:

1) (0,7245:0,23 - 2,45) • 0,18 + 0,07 4;
2) (0,8925:0,17 - 4,65) • 0,17+0,098;
3) (-2,8 + 3,7 -4,8) • 1,5:0,9;
4) (5,7-6,6-1,9) • 2,1:(—0,49).

Проверьте ваши вычисления с помощью микрокалькулятора.

Ответ на задачку

Фото: 7199827.jpg (32.6 Kb) · 3851708.jpg (21.1 Kb) · 4264283.jpg (19.8 Kb) · 5478974.jpg (83.5 Kb) · 7605330.jpg (42.1 Kb)
 
 
KADETДата: Среда, 24.12.2014, 16:51 | Сообщение # 247
Генерал-майор
Группа: Проверенные
Сообщений: 337
Награды: 0
Репутация: 0
Статус: Offline


 
Работай из дома! 18+
 
 


Задача № 1226

Выбрав удобный порядок вычислений, найдите значение выражения:

Ответ на задание



Задача № 1227

Упростите выражение:

Ответы на задание



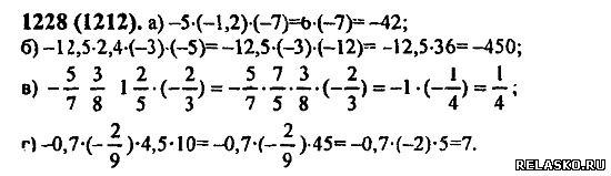
Задача № 1228

Найдите значение выражения:

Ответ на задачу



Задача № 1229

Выполните действия:

Ответ на задание и решение



Задача № 1230

По плану метростроевцы должны были проложить 2,5 км тоннелей. Они проложили 3,2 км тоннелей. На сколько процентов они выполнили план и на сколько процентов они перевыполнили план?

Аналогичная задача: Ученикам дали задание собрать 2,5 т металлолома. Они собрали 3,2 т металлолома. На сколько процентов учащиеся выполнили задание и на сколько процентов они перевыполнили задание?

Ответ на задачку

Фото: 6712908.jpg (50.6 Kb) · 3775450.jpg (27.1 Kb) · 7917940.jpg (41.2 Kb) · 5797712.jpg (59.5 Kb) · 9790126.jpg (24.6 Kb)
 
 
KADETДата: Среда, 24.12.2014, 17:00 | Сообщение # 248
Генерал-майор
Группа: Проверенные
Сообщений: 337
Награды: 0
Репутация: 0
Статус: Offline


 
Работай из дома! 18+
 
 


Задача № 1231

Автомашина прошла 240 км. Из них 180 км она шла по проселочной дороге, а остальной путь — по шоссе. Расход бензина на каждые 10 км проселочной дороги составил 1,6 л, а по шоссе — на 25% меньше. Сколько литров бензина в среднем расходовалось на каждые 10 км пути?

Ответ на задание



Задача № 1232

Выезжая из села, велосипедист заметил на мосту пешехода, идущего в том же направлении, и догнал его через 12 мин. Найдите скорость пешехода, если скорость велосипедиста 15 км/ч, а расстояние от села до моста 1 км 800 м?

Ответы на задание



Задача № 1233

Выполните действия:

а) - 4,8 • 3,7 - 2,9 • 8,7 - 2,6 • 5,3 + 6,2 • 1,9;
б) -14,31:5,3 - 27,81:2,7 + 2,565:3,42+4,1 • 0,8;
в) 3,5 • 0,23 - 3,5 •( - 0,64) + 0,87 • (- 2,5).

Ответ на задачу



Задача № 1234

Раскройте скобки:

а) 3,4+(2,6+ 8,3); в) m+(n-k);
б) 4,57+(2,6 — 4,57); г) с+(-a + b).

Ответ на задание и решение



Задача № 1235

Найдите значение выражения:

Ответ на задачку

Фото: 4597630.jpg (37.7 Kb) · 2460196.jpg (35.2 Kb) · 9575483.jpg (35.7 Kb) · 3321638.jpg (20.7 Kb) · 5151659.jpg (23.4 Kb)
 
 
KADETДата: Среда, 24.12.2014, 17:07 | Сообщение # 249
Генерал-майор
Группа: Проверенные
Сообщений: 337
Награды: 0
Репутация: 0
Статус: Offline


 
Работай из дома! 18+
 
 


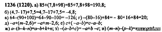
Задача № 1236

Раскройте скобки:

а) 85+(7,8+ 98); г) -(80-16) + 84; ж) a-(b-k-n);
б) (4,7 —17)+7,5; д) -а + (m-2,6); з) -(а-b + с);
в) 64—(90 + 100); е) с+(— а-b); и) (m-n)—(p-k).

Ответ на задание



Задача № 1237

Раскройте скобки и найдите значение выражения:

Ответы на задание



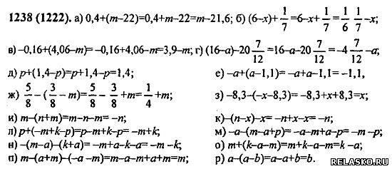
Задача № 1238

Упростите выражение:

Ответ на задачу



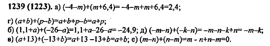
Задача № 1239

Напишите сумму двух выражений и упростите ее:

а) — 4 — m и m + 6,4; г) а+b и р — b
б) 1,1+а и —26—а; д) — m + n и —k — n;
в) а + 13 и —13 + b; е)m — n и n — m.

Ответ на задание и решение



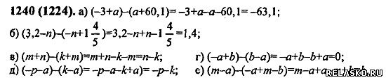
Задача № 1240

Напишите разность двух выражений и упростите ее:

Ответ на задачку

Фото: 4729523.jpg (37.9 Kb) · 8439902.jpg (104.7 Kb) · 9724486.jpg (64.1 Kb) · 6642136.jpg (30.7 Kb) · 7288507.jpg (32.8 Kb)
 
 
KADETДата: Среда, 24.12.2014, 17:29 | Сообщение # 250
Генерал-майор
Группа: Проверенные
Сообщений: 337
Награды: 0
Репутация: 0
Статус: Offline


 
Работай из дома! 18+
 
 


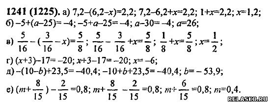
Задача № 1241

Решите уравнение:

Ответ на задание



Задача № 1242

Решите с помощью уравнения задачу:

а) На одной полке 42 книги, а на другой 34. Со второй полки сняли несколько книг, а с первой — столько, сколько осталось на второй. После этого на первой полке осталось 12 книг. Сколько книг сняли со второй полки?

б) В первом классе 42 ученика, во втором на 3 ученика меньше, чем в третьем. Сколько учеников в третьем классе, если всего в этих трех классах 125 учеников?

Ответы на задание



Задача № 1243

Найдите значение выражения:

Ответ на задачу



Задача № 1244

Вычислите устно:

Ответ на задание и решение



Задача № 1245

Найдите наибольшее значение выражения:

Ответ на задачку

Фото: 1614643.jpg (55.1 Kb) · 4318615.jpg (55.6 Kb) · 3060090.jpg (107.8 Kb) · 5189959.jpg (17.7 Kb) · 1067278.jpg (77.0 Kb)
 
 
KADETДата: Среда, 24.12.2014, 17:32 | Сообщение # 251
Генерал-майор
Группа: Проверенные
Сообщений: 337
Награды: 0
Репутация: 0
Статус: Offline


 
Работай из дома! 18+
 
 


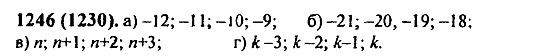
Задача № 1246

Укажите 4 последовательных целых числа, если:

а) меньшее из них равно —12;
в) меньшее из них равно n;
б) большее из них равно —18;
г) большее из них равно k.

Ответ на задание



Задача № 1247

Найдите координаты середины отрезка, если координаты его концов равны:

Ответы на задание



Задача № 1248

Каким числом будет значение выражения x + y, если:

а) x>0, у>0;
в) x>0, ус0;
д) x>0, у=0;
б) x<0, у<0;
г) x=0, у<0;
е) x=0, у=0?

Ответ на задачу



Задача № 1249

Решите с помощью графа задачу: «Вера, Нина, Оля и Люба надели платья разных цветов (красное, синее, белое, голубое). На вопрос, кто из них в каком платье, три девочки ответили: 1) Оля — в синем, Люба — в белом; 2) Оля — в красном, Нина — в синем; 3) Вера — в синем, Люба в голубом.

В каждом ответе только одна часть верна, а остальные нет. Какого цвета платье надела каждая девочка?

Ответ на задание и решение



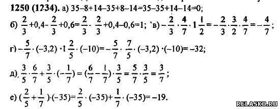
Задача № 1250

Найдите значение выражения:

Ответ на задачку

Фото: 3763680.jpg (19.4 Kb) · 8863378.jpg (17.9 Kb) · 2274391.jpg (19.1 Kb) · 1836631.jpg (72.7 Kb) · 8925101.jpg (47.1 Kb)
 
 
KADETДата: Среда, 24.12.2014, 17:39 | Сообщение # 252
Генерал-майор
Группа: Проверенные
Сообщений: 337
Награды: 0
Репутация: 0
Статус: Offline


 
Работай из дома! 18+
 
 


Задача № 1251

Представьте:

а) в виде десятичных дробей:
б) в виде обыкновенных дробей: 1,2; 3,25; 0,75; 1,125.

Ответ на задание



Задача № 1252

Найдите неизвестный член пропорции:

Ответы на задание



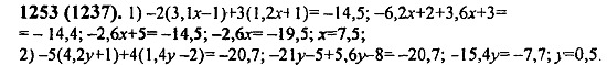
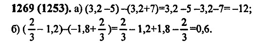
Задача № 1253

Раскройте скобки и найдите значение выражения:

Ответ на задачу



Задача № 1254

Упростите выражение:

Ответ на задание и решение



Задача № 1255

Решите уравнение:

Ответ на задачку

Фото: 9001342.jpg (19.4 Kb) · 2126968.jpg (27.8 Kb) · 8264644.jpg (27.7 Kb) · 0658078.jpg (49.5 Kb) · 4489965.jpg (28.8 Kb)
 
 
KADETДата: Среда, 24.12.2014, 17:49 | Сообщение # 253
Генерал-майор
Группа: Проверенные
Сообщений: 337
Награды: 0
Репутация: 0
Статус: Offline


 
Работай из дома! 18+
 
 


Задача № 1256

Решите уравнение:

Ответ на задание



Задача № 1257

Найдите значение выражения:

Ответы на задание



Задача № 1258

Решите задачу, составив пропорцию:

а) Затрачивая на изготовление каждой детали ч, бригада выпускала за смену 540 деталей. Сколько деталей будет выпускать за смену бригада, если на изготовление каждой детали будут затрачивать ч? На сколько процентов повысится при этом производительность труда?

б) Масса 15 л керосина 12,3 кг. Какова масса 35 л керосина?

в) Из 0,3 т свежих яблок получается 57 кг сушеных. Сколько сушеных яблок получится из 5,5 т свежих?

Ответ на задачу



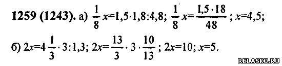
Задача № 1259

Решите уравнение:

Ответ на задание и решение



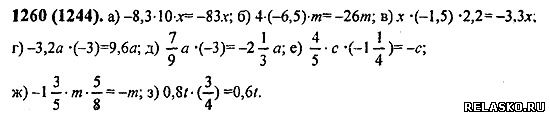
Задача № 1260

Упростите выражение:

Ответ на задачку

Фото: 2631522.jpg (47.9 Kb) · 4163907.jpg (47.7 Kb) · 1242056.jpg (180.8 Kb) · 9585847.jpg (28.3 Kb) · 3558124.jpg (28.3 Kb)
 
 
KADETДата: Среда, 24.12.2014, 17:52 | Сообщение # 254
Генерал-майор
Группа: Проверенные
Сообщений: 337
Награды: 0
Репутация: 0
Статус: Offline


 
Работай из дома! 18+
 
 


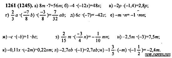
Задача № 1261

Найдите коэффициент произведения:

Ответ на задание



Задача № 1262

Определите знак коэффициента:

Ответы на задание



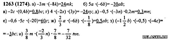
Задача № 1263

Упростите выражение и подчеркните коэффициент:

Ответ на задачу



Задача № 1264

Вычислите устно:

Ответ на задание и решение



Задача № 1265

На координатной прямой (рис. 92) отмечены числа а и b. Определите знак произведения аb.

Ответ на задачку

Фото: 4690825.jpg (38.5 Kb) · 5700191.jpg (20.0 Kb) · 2002877.jpg (36.0 Kb) · 9665419.jpg (19.1 Kb) · 1912826.jpg (18.3 Kb)
 
 
KADETДата: Среда, 24.12.2014, 17:56 | Сообщение # 255
Генерал-майор
Группа: Проверенные
Сообщений: 337
Награды: 0
Репутация: 0
Статус: Offline


 
Работай из дома! 18+
 
 


Задача № 1266

Найдите произведение всех целых чисел:

а) от —6 до —1;
в) модуль которых меньше 10;
б) от —12 до 1;
г) модуль которых больше 3 и меньше 5,6.

Ответ на задание



Задача № 1267

Каким числом будет произведение ху, если:

а) x>0, y>0;
в) x>0, y<0;
д) x<0, y=0;
б) x<0, у<0;
г) х=0, у<0;
е) x=0, у=0?

Ответы на задание



Задача № 1268

Найдите наименьшее целое положительное и наибольшее целое отрицательное решение неравенства:

Ответ на задачу



Задача № 1269

Найдите значение выражения:

Ответ на задание и решение



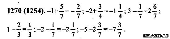
Задача № 1270

Вычислите:

Ответ на задачку




Продолжение решебника по Математике ...
Фото: 4680560.jpg (31.8 Kb) · 0839085.jpg (15.9 Kb) · 2258687.jpg (16.4 Kb) · 0913570.jpg (26.7 Kb) · 3905159.jpg (27.0 Kb)
 
 
Поиск:

Работай из дома! 18+
 
 
 
 
 
 

 
Последние темы на форуме:
 
  • Новогодние праздники 2021-2022 официальные выходные
  • Показатели давления и сердцебиения у женщины 57 лет
  • Гороскоп на декабрь 2021 Женщина Телец
  • Гороскоп на январь 2022 от Павла Глоба
  • Гороскоп на декабрь 2021 от Павла Глоба
  • Гороскоп на ноябрь 2021 от Павла Глоба
  • Стенограмма судьбы - Содержание серий, актеры и роли сериала
  • Мосгаз. Западня - Содержание серий, актеры и роли 2021
  • Тобол - Содержание серий, актеры и роли сериала. 2021
  • Гороскоп для Тигра на сегодня от Павла Глоба
  • Утраченные воспоминания - Содержание серий, актеры и роли
  • Чёрно-белая любовь - Содержание серий, актеры и роли сериала
  • Забытая женщина - Содержание серий, актеры и роли сериала
  • Тайна спящей дамы - Содержание серий, актеры и роли сериала
  • Сериал Часы с кукушкой - Содержание серий, актеры и роли
  •  
     

     
    Обращаем ваше внимание на то, что данный интернет-сайт www.kinolog.do.am носит исключительно информационный характер и ни при каких условиях не является публичной офертой, определяемой положениями Статьи 437 (2) Гражданского кодекса РФ. Цена и наличие товара может отличаться от действительной. Пожалуйста, уточняйте цены и наличие товара у наших менеджеров.
    Администрация сайта не несет ответственности за действия и содержание размещаемой информации пользователей: комментарии, материалы, сообщения и темы на форуме, публикации, объявления и т.д.
    Правообладателям | Реклама | Учебники | Политика
    Отопление, водоснабжение, газоснабжение, канализация © 2003 - 2021
    Рейтинг@Mail.ru Рейтинг арматурных сайтов. ARMTORG.RU Яндекс.Метрика