[ Новые сообщения · Участники · Правила форума · Поиск · RSS ]
 
Работай из дома! 18+

ГДЗ по Математике. 6 класс
KADETДата: Вторник, 23.12.2014, 14:56 | Сообщение # 91
Генерал-майор
Группа: Проверенные
Сообщений: 337
Награды: 0
Репутация: 0
Статус: Offline


 
Работай из дома! 18+
 
 




Задача № 446

Ответ на задание



Задача № 447

Ответы на задание



Задача № 448

Найдите по формуле объема прямоугольного параллелепипеда V=abc значение V, если a= 4/5 дм, b = 2 1/2 дм, с=1 3/4 дм.

Ответ на задачу



Задача № 449

Найдите массу металлической детали, объем которой равен 3 1/3 дм3, если масса 1 дм3 этого металла равна 7 4/5 кг.

Ответ на задание и решение



Задача № 450

Два велосипедиста выехали одновременно из одного и того же пункта и двигались в одном и том же направлении. Скорость первого велосипедиста 12 3/4 км/ч, а скорость второго в 1 1/5 раза больше.

Какое расстояние будет между ними через 1 1/5 ч?

Ответ на задачку

Фото: 4633136.jpg (73.2 Kb) · 6348671.jpg (24.3 Kb) · 9307924.jpg (19.9 Kb) · 8766971.jpg (17.6 Kb) · 7450494.jpg (46.7 Kb)
 
 
KADETДата: Вторник, 23.12.2014, 14:59 | Сообщение # 92
Генерал-майор
Группа: Проверенные
Сообщений: 337
Награды: 0
Репутация: 0
Статус: Offline


 
Работай из дома! 18+
 
 


Задача № 451

Маша и Вера вышли из двух сел навстречу друг другу. Маша шла со скоростью 3 км/ч, и ее скорость была в 1 1/2 раза меньше скорости Веры. Через 1 1/3 ч девочки встретились.

Найдите расстояние между селами.

Ответ на задание



Задача № 452

Во дворе заливали каток с помощью двух шлангов. через первый шланг за 1 ч поступало 2 4/5 м3 воды, а через второй -2 1/5 м3. Первый шлангом каток заливали 1 1/2 ч, а вторым в 1 1/6 раза дольше.

Сколько воды израсходовали на заливку катка?

Ответы на задание



Задача № 453

С первого поля, площадь которого 57 1/2 га, собирали с 1 га по 32 1/2 ц пшеницы, а со второго поля, площадь которого в 1 1/5 раза больше площади первого поля, собирали по 36 1/4 ц пшеницы с 1 га.

Сколько всего центнеров пшеницы собрали с этих двух полей?

Ответ на задачу



Задача № 454

Ответ на задание и решение



Задача № 455

Ответ на задачку

Фото: 2126661.jpg (23.6 Kb) · 4573435.jpg (34.0 Kb) · 5985514.jpg (32.6 Kb) · 5144300.jpg (81.0 Kb) · 6224435.jpg (18.9 Kb)
 
 
KADETДата: Вторник, 23.12.2014, 15:07 | Сообщение # 93
Генерал-майор
Группа: Проверенные
Сообщений: 337
Награды: 0
Репутация: 0
Статус: Offline


 
Работай из дома! 18+
 
 


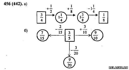
Задача № 456

Ответ на задание



Задача № 457

Сумму данных дробей сложите с их разностью. Попробуйте догадаться, как быстрее и проще получить ответ:

Ответы на задание



Задача № 458

Представьте дробь 2/3 : а) в виде разности двух дробей со знаменателем 3; 18; 21; б) в виде суммы двух дробей со знаменателем 3; 9; 12.

Ответ на задачу



Задача № 459

На координатном луче (рис. 20) отмечены дробь 2/7 и число а. Покажите, где расположены на луче точки

Ответ на задание и решение



Задача № 460

Кто быстрее? Найдите в таблице последовательно все числа от 1 до 25:

Ответ на задачку

Фото: 3340566.jpg (35.4 Kb) · 1228653.jpg (28.9 Kb) · 3547535.jpg (29.5 Kb) · 7416576.jpg (17.8 Kb) · 8751114.jpg (17.2 Kb)
 
 
KADETДата: Вторник, 23.12.2014, 15:17 | Сообщение # 94
Генерал-майор
Группа: Проверенные
Сообщений: 337
Награды: 0
Репутация: 0
Статус: Offline


 
Работай из дома! 18+
 
 


Задача № 461

В алфавите племени Аоку всего 6 букв - А, К, М, О, Р, У. Все слова в языке этого племени состоят из четырех букв. какое наибольшее число слов может быть в языке племени Аоку?

В скольких из этих слов буквы не повторяются?

Ответ на задание



Задача № 462

В алфавите племени Аоку всего 6 букв - А, К, М, О, Р, У. Все слова в языке этого племени состоят из четырех букв. какое наибольшее число слов может быть в языке племени Аоку?

В скольких из этих слов буквы не повторяются?

Ответы на задание



Задача № 463

На складе было 8 3/4 т зерна. Сколько зерна стало на складе после того, как привезли 2 1/8 т, а затем увезли 3 7/8 т?

Ответ на задачу



Задача № 464

Сколько килограммов составляют:

а) 1% центнера;
б) 7% центнера;
в) 2,5% центнера?

Ответ на задание и решение



Задача № 465

Сколько квадратных метров составляют: а) 1% гектара; в) 15% ара; б) 3,5% гектара; г) 0,07% квадратного километра?

Ответ на задачку

Фото: 2536569.jpg (79.4 Kb) · 2250075.jpg (17.5 Kb) · 6118868.jpg (17.2 Kb) · 4279830.jpg (19.0 Kb) · 5989351.jpg (22.8 Kb)
 
 
KADETДата: Вторник, 23.12.2014, 15:20 | Сообщение # 95
Генерал-майор
Группа: Проверенные
Сообщений: 337
Награды: 0
Репутация: 0
Статус: Offline


 
Работай из дома! 18+
 
 


Задача № 466

Запишите, какую часть числа составляют: 1%, 3%, 15%, 25%, 10%, 20%, 50%

Ответ на задание



Задача № 467

Запишите в виде десятичной и в виде обыкновенной дроби: 35%, 48%, 75%, 110%, 125%.

Ответы на задание



Задача № 468


Ответ на задачу



Задача № 469

Решите задачу:

1) Задание рабочие выполнили за три дня. В первый день они сделали 2/5 всей работы, во второй день 1/3 всей работы. Какую часть всей работы они выполнили в третий день?
2) Поле было засеяно за три дня. В первый день была засеяна 1/6 всего поля, во второй день 3/8 всего поля. Какая часть всего поля была засеяна в третий день?

Ответ на задание и решение



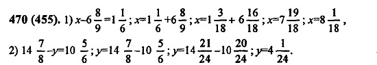
Задача № 470

Ответ на задачку

Фото: 2043018.jpg (19.0 Kb) · 8694899.jpg (26.8 Kb) · 3447713.jpg (16.7 Kb) · 8082002.jpg (40.1 Kb) · 0996502.jpg (27.7 Kb)
 
 
KADETДата: Вторник, 23.12.2014, 15:23 | Сообщение # 96
Генерал-майор
Группа: Проверенные
Сообщений: 337
Награды: 0
Репутация: 0
Статус: Offline


 
Работай из дома! 18+
 
 


Задача № 471

Ответ на задание



Задача № 472

Ответы на задание



Задача № 473


Ответ на задачу



Задача № 474

Скорость улитки 1/12 м/мин. Какое расстояние проползет улитка за?

Ответ на задание и решение



Задача № 475

Найдите объем прямоугольного параллелепипеда, измерения которого равны

Ответ на задачку

Фото: 1992348.jpg (24.0 Kb) · 6664915.jpg (103.6 Kb) · 4837058.jpg (45.7 Kb) · 1116011.jpg (28.6 Kb) · 4448092.jpg (19.0 Kb)
 
 
KADETДата: Вторник, 23.12.2014, 15:25 | Сообщение # 97
Генерал-майор
Группа: Проверенные
Сообщений: 337
Награды: 0
Репутация: 0
Статус: Offline


 
Работай из дома! 18+
 
 


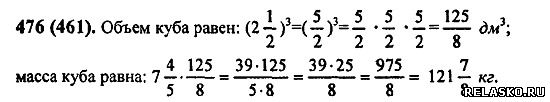
Задача № 476

Масса 1 дм3 стали равна 7 4/5 кг. Найдите массу стального куба, ребро которого 2 1/2 дм.

Ответ на задание



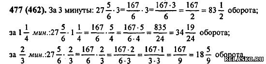
Задача № 477

Колесо делает 27 5/6 оборота в минуту. Сколько оборотов оно совершит за 3 мин; за 1 1/4 мин; за 2/3 мин?

Ответы на задание



Задача № 478


Ответ на задачу



Задача № 479

Ответ на задание и решение



Задача № 480

Ответ на задачку

Фото: 5091023.jpg (28.9 Kb) · 9735767.jpg (38.9 Kb) · 9901860.jpg (106.7 Kb) · 4433729.jpg (21.5 Kb) · 2942263.jpg (24.4 Kb)
 
 
KADETДата: Вторник, 23.12.2014, 15:29 | Сообщение # 98
Генерал-майор
Группа: Проверенные
Сообщений: 337
Награды: 0
Репутация: 0
Статус: Offline


 
Работай из дома! 18+
 
 


Задача № 481

Моторная лодка догоняет плот. Сейчас расстояние между ними 35 км. Скорость плота 2,5 км/ч, а скорость моторной лодки 9,5 км/ч. Какое расстояние будет между ними через t часов, если t =0,5; 3; 5?

Ответ на задание



Задача № 482

Ответы на задание



Задача № 483


Ответ на задачу



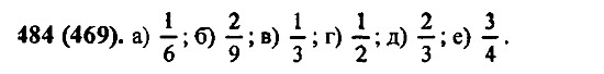
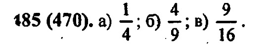
Задача № 484

На рисунке 22 изображен отрезок АВ, разделенный на 12 равных частей. Определите по рисунку, какую часть составляет:

а) отрезок AM от отрезка АВ;
г) отрезок AN от отрезка АВ;
б) отрезок AM от отрезка АС;
д) отрезок AN от отрезка АС;
в) отрезок AM от отрезка AN;
е) отрезок АС от отрезка АВ

Ответ на задание и решение



Задача № 485

На рисунке 23 изображен квадрат ABCD, разделенный на 16 равных частей. Определите по рисунку, какую часть составляет:

а) квадрат AEFP от квадрата ABCD;
б) квадрат AEFP от квадрата AMNK;
в) квадрат AMNK от квадрата ABCD.

Ответ на задачку

Фото: 9312786.jpg (36.4 Kb) · 7116108.jpg (23.2 Kb) · 3529395.jpg (19.7 Kb) · 1108877.jpg (18.8 Kb) · 0956474.jpg (21.1 Kb)
 
 
KADETДата: Вторник, 23.12.2014, 15:40 | Сообщение # 99
Генерал-майор
Группа: Проверенные
Сообщений: 337
Награды: 0
Репутация: 0
Статус: Offline


 
Работай из дома! 18+
 
 


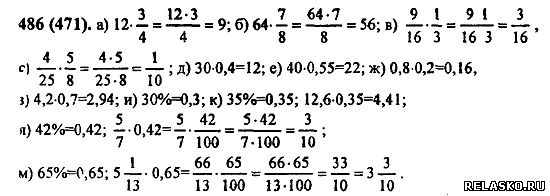
Задача № 486

Ответ на задание



Задача № 487

В книге 140 страниц. Алеша прочитал 0,8 этой книги. Сколько страниц прочитал Алеша?

Ответы на задание



Задача № 488

В книге 140 страниц. Володя прочитал 4/5 этой книги. Сколько страниц прочитал Володя?

Ответ на задачу



Задача № 489

В книге 140 страниц. Максим прочитал 80% этой книги. Сколько страниц прочитал Максим?

Ответ на задание и решение



Задача № 490

Площадь одной комнаты 21 м, а площадь второй комнаты составляет 3/7 площади первой комнаты. Найдите площадь двух комнат.

Ответ на задачку

Фото: 5730160.jpg (51.3 Kb) · 2759087.jpg (19.7 Kb) · 3824238.jpg (19.2 Kb) · 5250026.jpg (17.8 Kb) · 3965891.jpg (18.5 Kb)
 
 
KADETДата: Вторник, 23.12.2014, 15:42 | Сообщение # 100
Генерал-майор
Группа: Проверенные
Сообщений: 337
Награды: 0
Репутация: 0
Статус: Offline


 
Работай из дома! 18+
 
 


Задача № 491

У брата и сестры 90 марок. Сколько марок у сестры, если у брата 0,3 всех марок?

Ответ на задание



Задача № 492

Масса овцы 86,5 кг. Масса одного ягненка составляет 0,2 массы овцы. Какова масса овцы с шестью одинаковыми ягнятами?

Ответы на задание



Задача № 493

На школьной выставке 72 рисунка. Выполнены акварелью 5/6 всех рисунков, а 0,25 остальных карандашами. Сколько карандашных рисунков на выставке?

Ответ на задачу



Задача № 494

Проложено 75% газопровода, длина которого будет 102,8 км. Сколько километров газопровода осталось проложить?

Ответ на задание и решение



Задача № 495

Длина комнаты 6 м. Ширина составляет 2/3 длины, высота составляет 0,6 ширины. Найдите площадь и объем этой комнаты.

Ответ на задачку

Фото: 4943332.jpg (15.4 Kb) · 2590279.jpg (19.9 Kb) · 1507996.jpg (20.9 Kb) · 2467973.jpg (17.4 Kb) · 1638636.jpg (25.4 Kb)
 
 
KADETДата: Вторник, 23.12.2014, 15:53 | Сообщение # 101
Генерал-майор
Группа: Проверенные
Сообщений: 337
Награды: 0
Репутация: 0
Статус: Offline


 
Работай из дома! 18+
 
 


Задача № 496

Площадь огорода 0,04 га. Капустой засажено 0,8 огорода, а остальная часть — другими овощами. Сколько гектаров было засажено другими овощами?

Ответ на задание



Задача № 497

Число жителей города 750 тыс. человек. Ежегодно население в нем увеличивается на 2%.

Сколько жителей будет в городе через год? Через два года?

Ответы на задание



Задача № 498

По норме рабочий должен изготовить 45 деталей. Он выполнил норму на 120%. Сколько деталей изготовил рабочий?

Ответ на задачу



Задача № 499

Глубина горного озера к началу лета была 60 м

Ответ на задание и решение



Задача № 500

В первый день Ира прочитала 1/3 всей книги, во второй 1/4 оставшейся части.

Какую часть всей книги Ира прочитала во второй день? Какую часть книги Ира прочитала за два дня?

Ответ на задачку

Фото: 5269564.jpg (17.4 Kb) · 5865078.jpg (31.9 Kb) · 9146014.jpg (15.3 Kb) · 5922148.jpg (31.6 Kb) · 3079432.jpg (31.7 Kb)
 
 
KADETДата: Вторник, 23.12.2014, 15:56 | Сообщение # 102
Генерал-майор
Группа: Проверенные
Сообщений: 337
Награды: 0
Репутация: 0
Статус: Offline


 
Работай из дома! 18+
 
 


Задача № 501

В овощную палатку привезли 8 3/4 т картофеля. В первый день продали 0,6 всего привезенного картофеля, а во второй день продали 1/2 того количества, которое было продано в первый день. Какая часть всего привезенного картофеля была продана во второй день? Сколько тонн картофеля было продано во второй день?

Ответ на задание



Задача № 502

На автобазе были грузовые и легковые автомашины. Грузовые автомашины 5/6 составляли всех машин. 2/3 легковых автомашин были «Волги», а остальные автомашины — «Москвичи».

Какую часть всех машин автобазы составляли «Москвичи»?

Ответы на задание



Задача № 503

До обеда путник прошел 0,75 намеченного пути, а после обеда он 1/3 прошел пути, пройденного до обеда. Прошел ли путник за день весь намеченный путь?

Ответ на задачу



Задача № 504

На ремонт тракторов в зимнее время было затрачено 39 дней, а на ремонт комбайнов — на 7 дней меньше. Время ремонта прицепного инвентаря составило 7/16 того времени, которое ушло на ремонт комбайнов.

На сколько дней больше длился ремонт тракторов, чем ремонт прицепного инвентаря?

Ответ на задание и решение



Задача № 505

В первую неделю бригадой было выполнено 30% месячной нормы, во вторую неделю 0,8 того, что было выполнено в первую неделю, а в третью неделю 2/3 того, что выполнили во вторую неделю. Сколько процентов месячной нормы осталось выполнить бригаде в четвертую неделю?

Ответ на задачку



Фото: 0811995.jpg (24.7 Kb) · 8799006.jpg (20.4 Kb) · 9722126.jpg (23.5 Kb) · 4533430.jpg (31.7 Kb) · 8636712.jpg (47.6 Kb)


 
 
KADETДата: Вторник, 23.12.2014, 15:58 | Сообщение # 103
Генерал-майор
Группа: Проверенные
Сообщений: 337
Награды: 0
Репутация: 0
Статус: Offline


 
Работай из дома! 18+
 
 


Задача № 506

Ответ на задание



Задача № 507

Ответы на задание



Задача № 508


Ответ на задачу



Задача № 509

Ответ на задание и решение



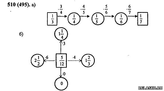
Задача № 510

Ответ на задачку

Фото: 8680427.jpg (21.9 Kb) · 9720492.jpg (18.2 Kb) · 2995819.jpg (27.5 Kb) · 1577930.jpg (28.4 Kb) · 7816852.jpg (33.9 Kb)
 
 
KADETДата: Вторник, 23.12.2014, 16:01 | Сообщение # 104
Генерал-майор
Группа: Проверенные
Сообщений: 337
Награды: 0
Репутация: 0
Статус: Offline


 
Работай из дома! 18+
 
 


Задача № 511

Папа начинает работу в 7 ч 15 мин, а мама — в 9 ч. Когда заканчивает работу каждый из них, если рабочий день папы 8 ч 15 мин и перерыв на обед 1 ч, а рабочий день мамы 7 ч и перерыв на обед 3/4 ч?

Ответ на задание



Задача № 512

Нужно срочно доставить 9 пакетов в пункты, указанные на плане звездочкой (рис. 24). Посыльный, посмотрев на план, быстро сообразил, как ему ехать. Он вручил пакеты, объехав пункты, ни разу не проезжая дважды одним и тем же путем. Какой маршрут выбрал посыльный?

Ответы на задание



Задача № 513


Ответ на задачу



Задача № 514

Ответ на задание и решение



Задача № 515

Между какими последовательными натуральніми числами расположены числа

Ответ на задачку

Фото: 8591028.jpg (20.6 Kb) · 6602722.jpg (51.9 Kb) · 9982769.jpg (53.5 Kb) · 1127129.jpg (72.8 Kb) · 9852943.jpg (18.4 Kb)
 
 
KADETДата: Вторник, 23.12.2014, 16:04 | Сообщение # 105
Генерал-майор
Группа: Проверенные
Сообщений: 337
Награды: 0
Репутация: 0
Статус: Offline


 
Работай из дома! 18+
 
 


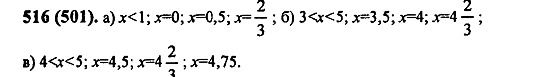
Задача № 516

Ответ на задание



Задача № 517

В шестом классе учатся 25 человек. Сколькими способами можно выбрать из них двух представителей в совет школы?

Ответы на задание



Задача № 518

Скорость полета вороны 40 км/ч. Скорость полета скворца в 1 1/5 раза больше скорости вороны, а скорость голубя в 1 1/6 раза больше скорости скворца. Найдите скорость полета голубя.

Ответ на задачу



Задача № 519

Основанием прямоугольного параллелепипеда служит квадрат со стороной 1,1 дм. Найдите высоту параллелепипеда, если его объем 2,42 дм3.

Ответ на задание и решение



Задача № 520

Решите задачу:

1) На 65 к. купили 19 марок по 3 к. и по 5 к. Сколько купили трехкопеечных и сколько пятикопеечных марок?
2) Колхоз купил для детского сада 36 трехколесных и двухколесных велосипедов. .У этих велосипедов 93 колеса. Сколько трехколесных и сколько двухколесных велосипедов было куплено?

Ответ на задачку




Продолжение решебника по Математике ...
Фото: 2983878.jpg (19.9 Kb) · 0445274.jpg (17.3 Kb) · 8507184.jpg (23.6 Kb) · 3595160.jpg (18.4 Kb) · 1349067.jpg (61.9 Kb)


 
 
Поиск:

Работай из дома! 18+
 
 
 
 
 
 

 
Последние темы на форуме:
 
  • Новогодние праздники 2021-2022 официальные выходные
  • Показатели давления и сердцебиения у женщины 57 лет
  • Гороскоп на декабрь 2021 Женщина Телец
  • Гороскоп на январь 2022 от Павла Глоба
  • Гороскоп на декабрь 2021 от Павла Глоба
  • Гороскоп на ноябрь 2021 от Павла Глоба
  • Стенограмма судьбы - Содержание серий, актеры и роли сериала
  • Мосгаз. Западня - Содержание серий, актеры и роли 2021
  • Тобол - Содержание серий, актеры и роли сериала. 2021
  • Гороскоп для Тигра на сегодня от Павла Глоба
  • Утраченные воспоминания - Содержание серий, актеры и роли
  • Чёрно-белая любовь - Содержание серий, актеры и роли сериала
  • Забытая женщина - Содержание серий, актеры и роли сериала
  • Тайна спящей дамы - Содержание серий, актеры и роли сериала
  • Сериал Часы с кукушкой - Содержание серий, актеры и роли
  •  
     

     
    Обращаем ваше внимание на то, что данный интернет-сайт www.kinolog.do.am носит исключительно информационный характер и ни при каких условиях не является публичной офертой, определяемой положениями Статьи 437 (2) Гражданского кодекса РФ. Цена и наличие товара может отличаться от действительной. Пожалуйста, уточняйте цены и наличие товара у наших менеджеров.
    Администрация сайта не несет ответственности за действия и содержание размещаемой информации пользователей: комментарии, материалы, сообщения и темы на форуме, публикации, объявления и т.д.
    Правообладателям | Реклама | Учебники | Политика
    Отопление, водоснабжение, газоснабжение, канализация © 2003 - 2021
    Рейтинг@Mail.ru Рейтинг арматурных сайтов. ARMTORG.RU Яндекс.Метрика