[ Новые сообщения · Участники · Правила форума · Поиск · RSS ]
 
Работай из дома! 18+

ГДЗ по Математике. 6 класс
KADETДата: Вторник, 23.12.2014, 16:58 | Сообщение # 121
Генерал-майор
Группа: Проверенные
Сообщений: 337
Награды: 0
Репутация: 0
Статус: Offline


 
Работай из дома! 18+
 
 




Задача № 596

Ответ на задание



Задача № 597

Представьте в виде дроби частное:

Ответы на задание



Задача № 598

Найдите по формуле площади прямоугольника S=ab значение:

Ответ на задачу



Задача № 599

С какой скоростью должен передвигаться трактор, чтобы пройти 15 км за

Ответ на задание и решение



Задача № 600

Масса 4/5 дм3 сосны равна 2/5 кг. Какова масса 1 дм3 сосны? Каков объем соснового бруска массой 1 кг.

Ответ на задачку

Фото: 5391306.jpg (94.5 Kb) · 8085513.jpg (28.0 Kb) · 7443578.jpg (23.2 Kb) · 3822611.jpg (18.8 Kb) · 9565369.jpg (15.7 Kb)
 
 
KADETДата: Вторник, 23.12.2014, 17:01 | Сообщение # 122
Генерал-майор
Группа: Проверенные
Сообщений: 337
Награды: 0
Репутация: 0
Статус: Offline


 
Работай из дома! 18+
 
 


Задача № 601

Сумма двух чисел равна 12 4/7. Одно из них в 1 2/7 раза больше другого. Найдите эти числа.

Ответ на задание



Задача № 602

Если задуманное число умножить на 2 1/17 и к произведению прибавить 1 5/11 , то получится 8 5/11 . Найдите задуманное число.

Ответы на задание



Задача № 603

Площадь прямоугольника 15/64 м2. Найдите периметр прямоугольника, если его ширина 3/8 м.

Ответ на задачу



Задача № 604

Длина и ширина прямоугольника соответственно равны 5 3/5 м и 2 3/8м. Найдите ширину другого прямоугольника, длина которого 3 1/5 м, а площадь равна площади первого прямоугольника.

Ответ на задание и решение



Задача № 605

Представьте делимое в виде обыкновенной дроби и выполните действие:

Ответ на задачку

Фото: 6697046.jpg (47.6 Kb) · 0656379.jpg (37.6 Kb) · 1884042.jpg (21.9 Kb) · 3365488.jpg (31.8 Kb) · 6264125.jpg (30.6 Kb)
 
 
KADETДата: Вторник, 23.12.2014, 17:04 | Сообщение # 123
Генерал-майор
Группа: Проверенные
Сообщений: 337
Награды: 0
Репутация: 0
Статус: Offline


 
Работай из дома! 18+
 
 


Задача № 606

Представьте делимое в виде десятичной дроби и выполните действие:

Ответ на задание



Задача № 607

Ответы на задание



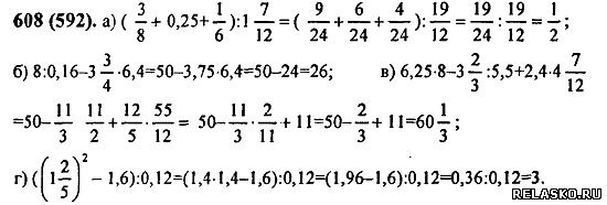
Задача № 608


Ответ на задачу



Задача № 609

Ответ на задание и решение



Задача № 610

Коля и Митя нашли 64 гриба. Коля нашел в 1 2/7 раза больше грибов, чем Митя. Сколько грибов нашел каждый?

Ответ на задачку

Фото: 2043230.jpg (18.0 Kb) · 9903638.jpg (59.8 Kb) · 2296914.jpg (47.0 Kb) · 9271208.jpg (110.1 Kb) · 0538448.jpg (39.9 Kb)
 
 
KADETДата: Вторник, 23.12.2014, 17:07 | Сообщение # 124
Генерал-майор
Группа: Проверенные
Сообщений: 337
Награды: 0
Репутация: 0
Статус: Offline


 
Работай из дома! 18+
 
 


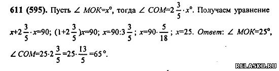
Задача № 611

Луч ОМ разделил угол СОК, равный 90°, на два угла СОМ и МОК. Угол СОМ больше угла МОК в 2 3/5 раза. Чему равны углы СОМ и МОК? Постройте эти углы с помощью транспортира.

Ответ на задание



Задача № 612

Отец старше сына в 3 1/3 раза, а сын моложе отца на 28 лет. Сколько лет отцу и сколько лет сыну?

Ответы на задание



Задача № 613

За два дня турист прошел 26 км. Путь, пройденный в первый день, составлял 6/7 пути, пройденного во второй день. Сколько километров прошел турист в каждый из этих дней?

Ответ на задачу



Задача № 614

Белка с бельчонком запасли на зиму 350 грибов. Бельчонок собрал 75% числа грибов, собранных белкой. Сколько грибов собрала белка и сколько бельчонок.

Ответ на задание и решение



Задача № 615

Первый плотник сделал на 9 оконных рам меньше, чем второй. Сколько рам сделал каждый плотник, если число рам, сделанных первым плотником, составляет 5/8 числа рам, сделанных вторым?

Ответ на задачку

Фото: 4647714.jpg (30.2 Kb) · 6113538.jpg (30.7 Kb) · 3742750.jpg (40.2 Kb) · 3006719.jpg (29.4 Kb) · 5721654.jpg (31.1 Kb)
 
 
KADETДата: Вторник, 23.12.2014, 17:29 | Сообщение # 125
Генерал-майор
Группа: Проверенные
Сообщений: 337
Награды: 0
Репутация: 0
Статус: Offline


 
Работай из дома! 18+
 
 


Задача № 616

Два пешехода вышли одновременно навстречу друг другу из двух пунктов, расстояние между которыми 5 км. Скорость первого пешехода составляла 2/3 скорости второго. Найдите скорости каждого пешехода, если они встретились через полчаса.

Ответ на задание



Задача № 617

Мотоциклист стал догонять велосипедиста, когда между ними было 33 км, и догнал его через 3/4 ч. Известно, что скорость велосипедиста составляла 3/14 скорости мотоциклиста. Найдите скорости мотоциклиста и велосипедиста.

Ответы на задание



Задача № 618

Геологи 8 3/4 ч ехали на автомашине и 7 1/2 ч двигались пешком. Весь их путь оказался равным 225 км. С какой скоростью геологи шли пешком и с какой ехали на автомашине, если они проехали в 14 раз больший путь, чем прошли пешком?

Ответ на задачу



Задача № 619

В бочонке и бидоне 80 л кваса. В бидоне 2/3 количества кваса, находящегося в бочонке. Квас из бочонка разлили в 20 кувшинов, а из бидона - в 32 банки. Где больше кваса: в одном кувшине или в одной банке? На сколько литров?

Ответ на задание и решение



Задача № 620

Турист 3 ч шел пешком со скоростью 5 км/ч, а далее 4 ч он ехал на поезде, скорость которого в 12 раз больше. Оставшийся путь турист проехал на автобусе за 8 ч. С какой средней скоростью двигался турист за время путешествия, если скорость автобуса составляла 4/5 скорости поезда?

Ответ на задачку

Фото: 5356077.jpg (45.3 Kb) · 6457992.jpg (46.1 Kb) · 7543274.jpg (38.5 Kb) · 4998462.jpg (35.2 Kb) · 8553251.jpg (41.2 Kb)
 
 
KADETДата: Вторник, 23.12.2014, 17:33 | Сообщение # 126
Генерал-майор
Группа: Проверенные
Сообщений: 337
Награды: 0
Репутация: 0
Статус: Offline


 
Работай из дома! 18+
 
 


Задача № 621

Ответ на задание



Задача № 622

Найдите число, обратное дроби: Сравните даное число и ему обратное.

Ответы на задание



Задача № 623

Существует ли число: а) обратное самому себе; б) не имеющее обратного?

Ответ на задачу



Задача № 624

Не выполняя умножения, сравните:

Ответ на задание и решение



Задача № 625

Ответ на задачку

Фото: 5312274.jpg (19.1 Kb) · 6809611.jpg (24.8 Kb) · 3702773.jpg (19.3 Kb) · 9407277.jpg (19.3 Kb) · 2387401.jpg (15.4 Kb)
 
 
KADETДата: Вторник, 23.12.2014, 17:35 | Сообщение # 127
Генерал-майор
Группа: Проверенные
Сообщений: 337
Награды: 0
Репутация: 0
Статус: Offline


 
Работай из дома! 18+
 
 


Задача № 626

Найдите число, обратное числу:

Ответ на задание



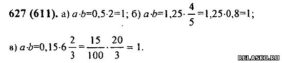
Задача № 627

Докажите, что числа а и b взаимно обратны, если:

Ответы на задание



Задача № 628

Выполните деление и результат округлите до сотых: а) 3,2:0,7; б) 14,28:3,6; в) 175:23; г) 0,00677:1,3.

Ответ на задачу



Задача № 629

Ответ на задание и решение



Задача № 630

На лыжных соревнованиях Света пробежала дистанцию за 1 минуту 46 секунд, а Таня на 15% быстрее. Какой результат показала Таня?

Ответ на задачку

Фото: 0831887.jpg (18.7 Kb) · 7838420.jpg (23.9 Kb) · 3736207.jpg (18.7 Kb) · 3498905.jpg (16.2 Kb) · 2821303.jpg (16.3 Kb)
 
 
KADETДата: Вторник, 23.12.2014, 17:37 | Сообщение # 128
Генерал-майор
Группа: Проверенные
Сообщений: 337
Награды: 0
Репутация: 0
Статус: Offline


 
Работай из дома! 18+
 
 


Задача № 631

Решите задачу:

1) Из 250 лошадей было 30 вороных, а 0,7 всех лошадей были серыми. Кроме вороных и серых, были лишь лошади рыжей масти. Сколько было лошадей рыжей масти?
2) Купили 120 тюбиков клея. Из них в 30 тюбиках был резиновый клей, а в 0,4 остальных тюбиков был казеиновый клей. Кроме резинового и казеинового клея, был куплен и силикатный клей. Сколько тюбиков силикатного клея было куплено?

Ответ на задание



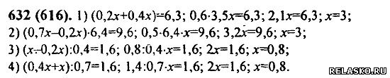
Задача № 632

Ответы на задание



Задача № 633


Ответ на задачу



Задача № 634

Ответ на задание и решение



Задача № 635

Ответ на задачку

Фото: 1416279.jpg (31.7 Kb) · 9896192.jpg (37.0 Kb) · 2432776.jpg (55.6 Kb) · 3182320.jpg (37.8 Kb) · 5389910.jpg (97.3 Kb)
 
 
KADETДата: Вторник, 23.12.2014, 17:40 | Сообщение # 129
Генерал-майор
Группа: Проверенные
Сообщений: 337
Награды: 0
Репутация: 0
Статус: Offline


 
Работай из дома! 18+
 
 


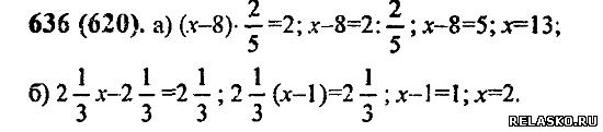
Задача № 636

Ответ на задание



Задача № 637

Сколько оборотов сделает колесо на расстоянии 48 м, если длина окружности колеса равна 6/25 м, 3/4 м, 4/5 м.

Ответы на задание



Задача № 638

За 2/3 ч мотоциклист проехал 20 2/5 км. С какой скоростью ехал мотоциклист?

Ответ на задачу



Задача № 639

На изготовлейие 16 одинаковых деталей требуется 6 2/3 ч. Сколько времени занимает изготовление одной детали?

Ответ на задание и решение



Задача № 640

В двух сосудах 35 л жидкости. Известно, что в одном сосуде жидкости в 1 1/3 раза меньше, чем в другом. Сколько жидкости в каждом сосуде?

Ответ на задачку

Фото: 3420703.jpg (29.4 Kb) · 2040967.jpg (21.5 Kb) · 5929498.jpg (17.8 Kb) · 5242534.jpg (17.2 Kb) · 0186058.jpg (43.1 Kb)
 
 
KADETДата: Вторник, 23.12.2014, 17:47 | Сообщение # 130
Генерал-майор
Группа: Проверенные
Сообщений: 337
Награды: 0
Репутация: 0
Статус: Offline


 
Работай из дома! 18+
 
 


Задача № 641

В двух пачках 156 тетрадей. Число тетрадей в одной пачке составляет 6/7 числа тетрадей другой пачки. Сколько тетрадей в каждой пачке?

Ответ на задание



Задача № 642

В парке дуб был посажен 84 года раньше сосны. Сколько лет каждому дереву если возраст сосны составляет 60% возраста дуба.

Алтернативная задача: Стоимость зимнего пальто на 84 р. больше стоимости летнего пальто. Сколько стоит каждое пальто, если стоимость летнего пальто составляет 60% стоимости зимнего?

Ответы на задание



Задача № 643

Два катера движутся навстречу друг другу. Сейчас между ними 25 км. Скорость одного из них составляет 7/8 скорости другого. Найдите скорость каждого катера, если известно, что они встретятся через 5/12ч.

Ответ на задачу



Задача № 644

Турист ехал на автобусе 1 1/3 ч и на поезде 4 4/15 ч. Всего этими видами транспорта турист проехал 456 км. При этом на автобусе он проехал 3/16 того пути, который он проехал на поезде. С какой скоростью турист ехал на автобусе и с какой — на поезде?

Ответ на задание и решение



Задача № 645

Ответ на задачку

Фото: 4940343.jpg (40.5 Kb) · 4561663.jpg (27.8 Kb) · 5625520.jpg (49.7 Kb) · 1230985.jpg (57.3 Kb) · 2772901.jpg (17.6 Kb)
 
 
KADETДата: Вторник, 23.12.2014, 17:50 | Сообщение # 131
Генерал-майор
Группа: Проверенные
Сообщений: 337
Награды: 0
Репутация: 0
Статус: Offline


 
Работай из дома! 18+
 
 


Задача № 646

Ответ на задание



Задача № 647

Девочка прошла на лыжах 300 м, что составляло 3/8 всей дистанции. Какова длина дистанции?

Ответы на задание



Задача № 648

Свая возвышается над водой на 1,5 м, что составляет 3/16 длины всей сваи. Какова длина всей сваи?

Ответ на задачу



Задача № 649

На элеватор отправили 211,2 т зерна, что составляет 0,88 зерна, намолоченного за день. Сколько зерна намолотили за день?

Ответ на задание и решение



Задача № 650

После замены двигателя средняя скорость самолета увеличилась на 18%, что составляет 68,4 км/ч. Какова была средняя скорость самолета с передним двигателем.

Аналогичная задача: За рационализаторское предложение инженер получил сверх месячного оклада 68,4 р., что составляет 18% этого оклада. Чему равен месячный оклад инженера?

Ответ на задачку

Фото: 0219178.jpg (37.1 Kb) · 1666873.jpg (18.4 Kb) · 6925718.jpg (20.4 Kb) · 7268801.jpg (15.3 Kb) · 4614008.jpg (16.2 Kb)
 
 
KADETДата: Вторник, 23.12.2014, 18:46 | Сообщение # 132
Генерал-майор
Группа: Проверенные
Сообщений: 337
Награды: 0
Репутация: 0
Статус: Offline


 
Работай из дома! 18+
 
 


Задача № 651

Масса вяленой рыбы составляет 55% массы свежей рыбы. Сколько нужно взять свежей рыбы, чтобы получить 231 кг вяленой?

Ответ на задание



Задача № 652

Масса винограда в первом ящике составляет 7/9 массы винограда во втором ящике. Сколько килограммов винограда было в двух ящиках, если в первом ящике был 21 кг винограда?

Ответы на задание



Задача № 653

Продано 3/8 полученных магазином лыж, после чего осталось 120 пар лыж. Сколько пар лыж было получено магазином?

Ответ на задачу



Задача № 654

При сушке картофель теряет 85,7% своей массы. Сколько надо взять сырого картофеля, чтобы получить 71,5 т сушеного?

Ответ на задание и решение



Задача № 655

Банк купил несколько акций завода и через год продал их за 576,8 млн рублей, получив 3% прибыли. Какую сумму банк затратил на приобретение акций?
Аналогичная задвача: Вкладчик Сбербанка внес некоторую сумму на срочный вклад, и через год у него на сберкнижке было 576 р. 80 к. Какова была сумма вклада, если по срочным вкладам Сбербанк платит 3% годовых?

Ответ на задачку

Фото: 4506529.jpg (15.6 Kb) · 5170419.jpg (17.2 Kb) · 9037830.jpg (16.6 Kb) · 5940414.jpg (25.9 Kb) · 4159694.jpg (17.0 Kb)
 
 
KADETДата: Вторник, 23.12.2014, 18:48 | Сообщение # 133
Генерал-майор
Группа: Проверенные
Сообщений: 337
Награды: 0
Репутация: 0
Статус: Offline


 
Работай из дома! 18+
 
 


Задача № 656

В первый день туристы прошли 5/24 намеченного пути, а во второй день 0,8 того, что прошли в первый день. Как велик намеченный путь, если во второй день туристы прошли 24 км?

Ответ на задание



Задача № 657

Ученик сначала прочитал 75 страниц, а потом еще несколько страниц. Их количество составило 40% от прочитанного в первый раз. Сколько страниц в книге, если всего прочитано 3/4 книги?

Ответы на задание



Задача № 658

Велосипедист сначала проехал 12 1/4 км, а потом еще несколько километров, что составило 3/7 от первого отрезка пути. После этого ему осталось проехать 2/3 всего пути. Какова длина всего пути?

Ответ на задачу



Задача № 659

Ответ на задание и решение



Задача № 660

Ответ на задачку

Фото: 5888585.jpg (19.9 Kb) · 0331181.jpg (24.1 Kb) · 4426425.jpg (32.9 Kb) · 2534535.jpg (17.8 Kb) · 7019414.jpg (17.1 Kb)
 
 
KADETДата: Вторник, 23.12.2014, 18:50 | Сообщение # 134
Генерал-майор
Группа: Проверенные
Сообщений: 337
Награды: 0
Репутация: 0
Статус: Offline


 
Работай из дома! 18+
 
 


Задача № 661

В киоске в первый день продано 40% всех тетрадей, во второй день 53% всех тетрадей, а в третий день — остальные 847 тетрадей. Сколько тетрадей продал киоск за три дня?

Ответ на задание



Задача № 662

Овощная база в первый день отпустила 40% всего имевшегося картофеля, во второй день 60% остатка, а в третий день — остальные 72 т. Сколько тонн картофеля было на базе?

Ответы на задание



Задача № 663

Трое рабочих изготовили некоторое число деталей. Первый рабочий изготовил 0,3 всех деталей, второй 0,6 остатка, а третий — остальные 84 детали. Сколько всего деталей изготовили рабочие?

Ответ на задачу



Задача № 664

В первый день тракторная бригада вспахала 3/8 участка, во второй день остатка, а в третий день 2/5 остальные 216 га. Определите площадь участка.

Ответ на задание и решение



Задача № 665

Автомобиль прошел в первый час 4/9 всего пути, во второй час 3/5 оставшегося пути, а в третий час остальной путь.Известно, что в третий час он прошел на 40 км меньше, чем во второй час. Сколько километров прошел автомобиль за эти 3 ч?

Ответ на задачку

Фото: 1890996.jpg (25.9 Kb) · 2611681.jpg (35.6 Kb) · 0078592.jpg (30.8 Kb) · 9928616.jpg (33.9 Kb) · 1835078.jpg (49.7 Kb)
 
 
KADETДата: Вторник, 23.12.2014, 18:51 | Сообщение # 135
Генерал-майор
Группа: Проверенные
Сообщений: 337
Награды: 0
Репутация: 0
Статус: Offline


 
Работай из дома! 18+
 
 


Задача № 666

Ответ на задание



Задача № 667

Ответы на задание



Задача № 668

Ответ на задачу



Задача № 669

Ответ на задание и решение



Задача № 670

Придумайте число, которое меньше своего обратного в 4 раза; в 9 раз.

Ответ на задачку




Продолжение решебника по Математике ...
Фото: 3108415.jpg (16.9 Kb) · 7542849.jpg (18.2 Kb) · 8868218.jpg (31.0 Kb) · 3121720.jpg (32.4 Kb) · 1254519.jpg (17.9 Kb)


 
 
Поиск:

Работай из дома! 18+
 
 
 
 
 
 

 
Последние темы на форуме:
 
  • Новогодние праздники 2021-2022 официальные выходные
  • Показатели давления и сердцебиения у женщины 57 лет
  • Гороскоп на декабрь 2021 Женщина Телец
  • Гороскоп на январь 2022 от Павла Глоба
  • Гороскоп на декабрь 2021 от Павла Глоба
  • Гороскоп на ноябрь 2021 от Павла Глоба
  • Стенограмма судьбы - Содержание серий, актеры и роли сериала
  • Мосгаз. Западня - Содержание серий, актеры и роли 2021
  • Тобол - Содержание серий, актеры и роли сериала. 2021
  • Гороскоп для Тигра на сегодня от Павла Глоба
  • Утраченные воспоминания - Содержание серий, актеры и роли
  • Чёрно-белая любовь - Содержание серий, актеры и роли сериала
  • Забытая женщина - Содержание серий, актеры и роли сериала
  • Тайна спящей дамы - Содержание серий, актеры и роли сериала
  • Сериал Часы с кукушкой - Содержание серий, актеры и роли
  •  
     

     
    Обращаем ваше внимание на то, что данный интернет-сайт www.kinolog.do.am носит исключительно информационный характер и ни при каких условиях не является публичной офертой, определяемой положениями Статьи 437 (2) Гражданского кодекса РФ. Цена и наличие товара может отличаться от действительной. Пожалуйста, уточняйте цены и наличие товара у наших менеджеров.
    Администрация сайта не несет ответственности за действия и содержание размещаемой информации пользователей: комментарии, материалы, сообщения и темы на форуме, публикации, объявления и т.д.
    Правообладателям | Реклама | Учебники | Политика
    Отопление, водоснабжение, газоснабжение, канализация © 2003 - 2021
    Рейтинг@Mail.ru Рейтинг арматурных сайтов. ARMTORG.RU Яндекс.Метрика