[ Новые сообщения · Участники · Правила форума · Поиск · RSS ]
 
Работай из дома! 18+

ГДЗ по Математике. 6 класс
KADETДата: Вторник, 23.12.2014, 16:06 | Сообщение # 106
Генерал-майор
Группа: Проверенные
Сообщений: 337
Награды: 0
Репутация: 0
Статус: Offline


 
Работай из дома! 18+
 
 




Задача № 521

Ответ на задание



Задача № 522

Ответы на задание



Задача № 523

Штангист тяжелого веса поднял штангу в 156 кг, а штангист легчайшего веса поднял штангу, масса которой составляет 9/13 массы первой. На сколько килограммов масса первой штанги больше массы второй штанги?

Ответ на задачу



Задача № 524

Сплав состоит из олова и сурьмы. Масса сурьмы в этом сплаве составляет 3/17 массы олова. Найдите массу сплава, если олова в нем 27,2 кг.

Ответ на задание и решение



Задача № 525

Бригада лесорубов получила задание заготовить 540 м3 дров. Это задание было выполнено на 120%. Сколько кубометров дров заготовила бригада лесорубов?

Ответ на задачку

Фото: 0444992.jpg (58.6 Kb) · 3968890.jpg (25.1 Kb) · 1996743.jpg (23.6 Kb) · 6039281.jpg (27.6 Kb) · 4374211.jpg (15.1 Kb)
 
 
KADETДата: Вторник, 23.12.2014, 16:11 | Сообщение # 107
Генерал-майор
Группа: Проверенные
Сообщений: 337
Награды: 0
Репутация: 0
Статус: Offline


 
Работай из дома! 18+
 
 


Задача № 526

Фабрика сшила 4300 пар сапог. из них 0,4 были на натуральном меху. Сколько пар сапог было на натуральном меху.

Ответ на задание



Задача № 527

В городе 550 тыс. жителей. Население в нем ежегодно увеличивается на 3%. Сколько жителей будет в городе через год?

Ответы на задание



Задача № 528

С бахчи собрали 27 т арбузов. В столовую направили 2/9 этих арбузов, а 6/7 остатка отвезли на рынок. Сколько тонн арбузов отвезли на рынок?

Ответ на задачу



Задача № 529

Лес, луг и пашня занимают 650 га. Из них лес занимает 20% всей земли, 8/13 оставшейся земли — пашня. Сколько гектаров занимает луг?

Ответ на задание и решение



Задача № 530

За три дня на элеватор доставили 651 т зерна. В первый день было доставлено 10/31 всего зерна, во второй - 0,9 того, что было доставлено в первый день. Сколько тонн было доставлено на элеватор?

Ответ на задачку

Фото: 5187712.jpg (16.4 Kb) · 7997923.jpg (21.8 Kb) · 4096074.jpg (20.6 Kb) · 3516374.jpg (25.7 Kb) · 0718959.jpg (26.9 Kb)
 
 
KADETДата: Вторник, 23.12.2014, 16:15 | Сообщение # 108
Генерал-майор
Группа: Проверенные
Сообщений: 337
Награды: 0
Репутация: 0
Статус: Offline


 
Работай из дома! 18+
 
 


Задача № 531

Путешественники по Африке 3/7 всего намеченного пути проехали на верблюдах, 7/12 оставшегося пути - на автомобиле, а затем на плоту спускались по реке. Какую часть всего пути заняло путешествие по реке? Сколько километров путешественники проплыли по реке, если весь их путь составил 588 км?

Ответ на задание



Задача № 532

Первая бригада прополола 30% всей площади, занятой свеклой, вторая бригада прополола 80% того, что прополола первая бригада. Остальную площадь прополола третья бригада. Сколько процентов всей площади прополола третья бригада?

Ответы на задание



Задача № 533

В трех ящиках было 76 кг вишни. Во втором ящике было в 2 раза больше, чем в первом, а в третьем — на 8 кг больше вишни, чем в первом. Сколько килограммов вишни было в каждом ящике?

Ответ на задачу



Задача № 534

Ответ на задание и решение



Задача № 535

Вырежьте из плотной бумаги фигуру, показанную на рисунке 25, и склейте фигуру, изображенную на рисунке 26.

Ответ на задачку

Фото: 1197769.jpg (38.3 Kb) · 8791304.jpg (23.8 Kb) · 0868693.jpg (38.7 Kb) · 9646632.jpg (42.4 Kb) · 0606296.jpg (16.8 Kb)
 
 
KADETДата: Вторник, 23.12.2014, 16:24 | Сообщение # 109
Генерал-майор
Группа: Проверенные
Сообщений: 337
Награды: 0
Репутация: 0
Статус: Offline


 
Работай из дома! 18+
 
 


Задача № 536

Ответ на задание



Задача № 537

Ответы на задание



Задача № 538


Ответ на задачу



Задача № 539

Ответ на задание и решение



Задача № 540

Ответ на задачку

Фото: 0520057.jpg (49.1 Kb) · 7895309.jpg (82.9 Kb) · 0856827.jpg (86.7 Kb) · 1364960.jpg (112.2 Kb) · 0915571.jpg (39.3 Kb)
 
 
KADETДата: Вторник, 23.12.2014, 16:29 | Сообщение # 110
Генерал-майор
Группа: Проверенные
Сообщений: 337
Награды: 0
Репутация: 0
Статус: Offline


 
Работай из дома! 18+
 
 


Задача № 541

Шаг дяди Степы 1 1/5 м. Какое расстояние он пройдет, если сделает 5 шагов; 12 шагов; 20 шагов; 24 шага?

Ответ на задание



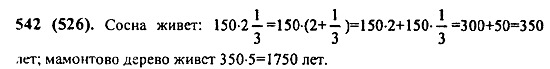
Задача № 542

Продолжительность жизни березы 150 лет. Сосна живет в 2 1/3 раза больше березы. Мамонтово дерево живет в 5 раздольше сосны. Какова продолжительность жизни мамонтова дерева?

Ответы на задание



Задача № 543

Квартира состоит из двух комнат. Длина большей комнаты 5 3/10 м, а ширина 4 м. Длина меньшей комнаты 4 м, а ширина 3 3/10 м. На сколько площадь одной комнаты меньше площади другой?

Ответ на задачу



Задача № 544

Площадь поля а га. В первый день вспахали 1/3 поля. Какая площадь осталась невспаханной? Найдите значение получившегося выражения при a = 57; 234; 142 1/2

Ответ на задание и решение



Задача № 545

В первый день туристы прошли 2/9 всего пути, во второй день 2/3 всего пути. Сколько километров пройдено за два дня, если весь путь n км? Составьте выражение для решения задачи, упростите его и найдите значение при n=27; 36; 33 3/4.

Ответ на задачку

Фото: 1249963.jpg (33.7 Kb) · 9114783.jpg (21.4 Kb) · 5527734.jpg (34.7 Kb) · 3455093.jpg (35.2 Kb) · 1270856.jpg (41.5 Kb)
 
 
KADETДата: Вторник, 23.12.2014, 16:32 | Сообщение # 111
Генерал-майор
Группа: Проверенные
Сообщений: 337
Награды: 0
Репутация: 0
Статус: Offline


 
Работай из дома! 18+
 
 


Задача № 546

Семья получила двухкомнатную квартиру общей площадью с м2. Одна комната составляла 0,36 общей площади, а вторая составляла 5/6 площади первой комнаты. Чему равна площадь двух комнат вместе? Найдите значение получившегося выражения при с = 50; 75.

Ответ на задание



Задача № 547

В бидоне было а л молока. Из бидона перелили в кастрюлю 5/12 этого молока и в кувшин 0,6 того количества, которое вылили в кастрюлю. Сколько молока осталось в бидоне? Найдите значение получившегося выражения при а = 1,2 ; 4 4/5.

Ответы на задание



Задача № 548

На складе было m кг гвоздей. Кладовщик в первый раз выдал 40% имевшихся гвоздей, во второй раз — 75% остатка. Сколько килограммов гвоздей осталось на складе? Найдите значение получившегося выражения при m = 1200; 300; 50.

Ответ на задачу



Задача № 549

Ответ на задание и решение



Задача № 550

Ответ на задачку

Фото: 5588268.jpg (34.6 Kb) · 3037028.jpg (42.6 Kb) · 3933904.jpg (38.4 Kb) · 8544069.jpg (56.8 Kb) · 4703916.jpg (31.6 Kb)
 
 
KADETДата: Вторник, 23.12.2014, 16:35 | Сообщение # 112
Генерал-майор
Группа: Проверенные
Сообщений: 337
Награды: 0
Репутация: 0
Статус: Offline


 
Работай из дома! 18+
 
 


Задача № 551

Ответ на задание



Задача № 552

Ответы на задание



Задача № 553


Ответ на задачу



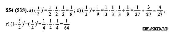
Задача № 554

Ответ на задание и решение



Задача № 555

Ответ на задачку

Фото: 3576726.jpg (31.2 Kb) · 3882166.jpg (17.7 Kb) · 5006380.jpg (15.5 Kb) · 1541388.jpg (23.8 Kb) · 5870711.jpg (26.4 Kb)
 
 
KADETДата: Вторник, 23.12.2014, 16:38 | Сообщение # 113
Генерал-майор
Группа: Проверенные
Сообщений: 337
Награды: 0
Репутация: 0
Статус: Offline


 
Работай из дома! 18+
 
 


Задача № 556

Подумайте, как из числа, записанного в центре (рис. 27), можно получить числа, записанные в кружках.

Ответ на задание



Задача № 557

Москва основана в 1147 г., а С.-Петербург - в 1703 г. Сколько лет Москве и сколько лет С.-Петербургу? На сколько лет Москва старше С.-Петербурга?

Ответы на задание



Задача № 558

Подсчитайте по модели, сколько граней, вершин, ребер у треугольной пирамиды; у четырехугольной пирамиды. Попробуйте догадаться, сколько граней, вершин, ребер у шестиугольной пирамиды.

Ответ на задачу



Задача № 559

Куплено 15 кг яблок. На приготовление варенья израсходовали 2/3 купленных яблок. Сколько килограммов яблок было израсходовано на варенье? Сколько килограммов яблок осталось?

Ответ на задание и решение



Задача № 560

В баке автомобиля 60 л бензина. за день было израсходовано 25% этого бензина. Сколько бензина израсходовали? Сколько бензина осталось в баке?

Аналогичная задача: У мальчика было 60 к. На мороженое он истратил 25% этих денег. Сколько стоит мороженое? Сколько денег у него осталось?

Ответ на задачку

Фото: 6796413.jpg (52.6 Kb) · 1816057.jpg (22.9 Kb) · 7344078.jpg (26.1 Kb) · 9511729.jpg (17.3 Kb) · 8125489.jpg (16.9 Kb)
 
 
KADETДата: Вторник, 23.12.2014, 16:42 | Сообщение # 114
Генерал-майор
Группа: Проверенные
Сообщений: 337
Награды: 0
Репутация: 0
Статус: Offline


 
Работай из дома! 18+
 
 


Задача № 561

В саду 30 плодовых деревьев. 0,6 всех деревьев — яблони. Сколько яблонь в саду? Сколько в саду других плодовых деревьев?

Ответ на задание



Задача № 562

Турист прошел в первый день 3/8 всего намеченного пути. Причем до обеда он прошел 2/3 пути, пройденного за этот день. Какую часть всего намеченного пути прошел турист в первый день до обеда?

Ответы на задание



Задача № 563

В первый день со склада вывезли 40% имевшегося там угля. Во второй день было вывезено 75% остатка. Сколько процентов всего имевшегося на складе угля вывезли во второй день? Сколько процентов всего имевшегося там угля осталось?

Ответ на задачу



Задача № 564

В магазин привезли 658 кг персиков. В первый день продали 2/7 всех персиков, а во второй день 0,3 оставшихся персиков. Сколько килограммов персиков продали во второй день?

Ответ на задание и решение



Задача № 565

Ответ на задачку

Фото: 8590699.jpg (15.9 Kb) · 4648662.jpg (18.3 Kb) · 5187197.jpg (30.8 Kb) · 0269722.jpg (21.6 Kb) · 4307066.jpg (64.9 Kb)
 
 
KADETДата: Вторник, 23.12.2014, 16:44 | Сообщение # 115
Генерал-майор
Группа: Проверенные
Сообщений: 337
Награды: 0
Репутация: 0
Статус: Offline


 
Работай из дома! 18+
 
 


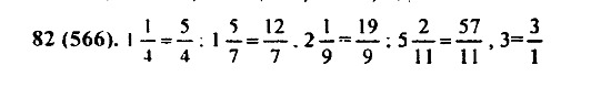
Задача № 566

Ответ на задание



Задача № 567

Ответы на задание



Задача № 568


Ответ на задачу



Задача № 569

Ответ на задание и решение



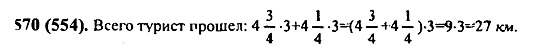
Задача № 570

Турист шел 3 ч со скоростью 4 3/4 км/ч и 3 ч со скоростью 4 1/4 км/ч. Сколько километров прошел турист за эти 6 ч?

Ответ на задачку

Фото: 8428202.jpg (23.1 Kb) · 7742900.jpg (36.4 Kb) · 6560229.jpg (55.8 Kb) · 2945349.jpg (70.5 Kb) · 6413954.jpg (16.8 Kb)
 
 
KADETДата: Вторник, 23.12.2014, 16:48 | Сообщение # 116
Генерал-майор
Группа: Проверенные
Сообщений: 337
Награды: 0
Репутация: 0
Статус: Offline


 
Работай из дома! 18+
 
 


Задача № 571

В первом ящике 12 7/10 кг сахара, а во втором в 2 раза больше. Сколько сахара будет во втором ящике, если в него положить еще 2 2/5 кг?

Ответ на задание



Задача № 572

Олег решал уравнение в течение 1/12 ч. Задачу он решал на 1/3 ч дольше, чем уравнение. Сколько времени решал он уравнение и сколько задачу?

Ответы на задание



Задача № 573

После удачной рыбалки Костя принес домой 1,4 кг рыбы. Из 2/7 этой рыбы сварили уху, а 80% оставшейся - пожарили. Сколько рыбы пожарили?

Ответ на задачу



Задача № 574

В первый день маслобойня переработала 4/9 поступившего количества семян подсолнечника, во второй день 0,6 остатка. Сколько тонн семян подсолнечника переработала маслобойня за эти два дня, если было привезено с т семян? Найдите значение получившегося выражения при с = 90; 63.

Ответ на задание и решение



Задача № 575

Фабрика выпустила т м ткани трех цветов: голубого, зеленого и черного. Ткань голубого цвета составляла 30% всей выпущенной ткани. Ткань зеленого цвета составляла 0,8 количества ткани голубого цвета. Сколько метров ткани черного цвета выпустила фабрика? Найдите значение получившегося выражения при m = 5520; 22 000.

Ответ на задачку

Фото: 8004824.jpg (28.5 Kb) · 0305557.jpg (22.8 Kb) · 2123751.jpg (22.1 Kb) · 7093562.jpg (42.8 Kb) · 9896427.jpg (34.1 Kb)
 
 
KADETДата: Вторник, 23.12.2014, 16:50 | Сообщение # 117
Генерал-майор
Группа: Проверенные
Сообщений: 337
Награды: 0
Репутация: 0
Статус: Offline


 
Работай из дома! 18+
 
 


Задача № 576

Ответ на задание



Задача № 577

Ответы на задание



Задача № 578


Ответ на задачу



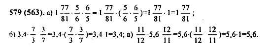
Задача № 579

Ответ на задание и решение



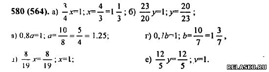
Задача № 580

Ответ на задачку

Фото: 8559004.jpg (44.0 Kb) · 4724556.jpg (26.1 Kb) · 2341699.jpg (30.9 Kb) · 1483259.jpg (25.6 Kb) · 1788095.jpg (28.2 Kb)
 
 
KADETДата: Вторник, 23.12.2014, 16:51 | Сообщение # 118
Генерал-майор
Группа: Проверенные
Сообщений: 337
Награды: 0
Репутация: 0
Статус: Offline


 
Работай из дома! 18+
 
 


Задача № 581

Ответ на задание



Задача № 582

Ответы на задание



Задача № 583


Ответ на задачу



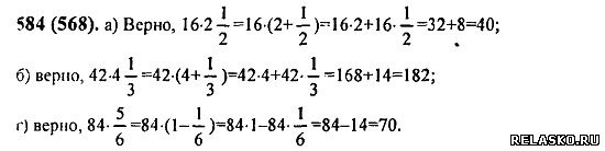
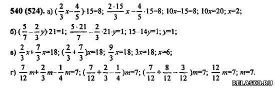
Задача № 584

Ответ на задание и решение



Задача № 585

На озере находятся 7 островов, которые соединены между собой мостами так, как показано на рисунке 28. На какой остров должен доставить катер путешественников, чтобы они могли пройти по каждому мосту и только один раз? С какого острова катер должен снять этих людей? Почему нельзя доставить путешественников на остров А?

Ответ на задачку

Фото: 2531949.jpg (18.5 Kb) · 7252707.jpg (18.7 Kb) · 0473102.jpg (35.2 Kb) · 5675024.jpg (29.4 Kb) · 6851545.jpg (78.2 Kb)
 
 
KADETДата: Вторник, 23.12.2014, 16:53 | Сообщение # 119
Генерал-майор
Группа: Проверенные
Сообщений: 337
Награды: 0
Репутация: 0
Статус: Offline


 
Работай из дома! 18+
 
 


Задача № 586

Ответ на задание



Задача № 587

Ответы на задание



Задача № 588

За три дня турист прошел 40 км. В первый день он прошел 40%, а во второй день 30% всего пути. Сколько километров прошел турист за третий день?

Ответ на задачу



Задача № 589

Среднее арифметическое трех чисел равно 3,1. Найдите эти числа, если второе число больше первого на 0,9, а третье число больше первого в 2 раза.

Ответ на задание и решение



Задача № 590

Ответ на задачку

Фото: 9027118.jpg (53.7 Kb) · 2930106.jpg (29.2 Kb) · 7363259.jpg (20.8 Kb) · 4018699.jpg (40.7 Kb) · 2455606.jpg (28.5 Kb)
 
 
KADETДата: Вторник, 23.12.2014, 16:55 | Сообщение # 120
Генерал-майор
Группа: Проверенные
Сообщений: 337
Награды: 0
Репутация: 0
Статус: Offline


 
Работай из дома! 18+
 
 


Задача № 591

Ответ на задание



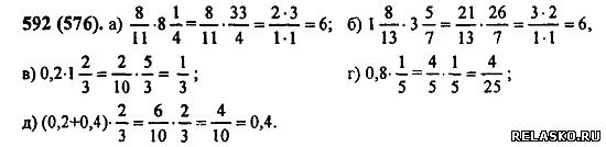
Задача № 592

Ответы на задание



Задача № 593

Положили сушить 150 кг вишни. После сушки их масса уменьшилась на 80%. Сколько килограммов вишни получилось после сушки?

Ответ на задачу



Задача № 594

Среднее арифметическое четырех чисел 2,75. Найдите эти числа, если второе больше первого в 1,5 раза, третье больше первого в 1,2 раза и, наконец, четвертое больше первого в 1,8 раза.

Ответ на задание и решение



Задача № 595

Ответ на задачку




Продолжение решебника по Математике ...
Фото: 8863792.jpg (38.6 Kb) · 5497192.jpg (31.5 Kb) · 7347777.jpg (16.5 Kb) · 2930159.jpg (40.2 Kb) · 3902609.jpg (37.0 Kb)


 
 
Поиск:

Работай из дома! 18+
 
 
 
 
 
 

 
Последние темы на форуме:
 
  • Новогодние праздники 2021-2022 официальные выходные
  • Показатели давления и сердцебиения у женщины 57 лет
  • Гороскоп на декабрь 2021 Женщина Телец
  • Гороскоп на январь 2022 от Павла Глоба
  • Гороскоп на декабрь 2021 от Павла Глоба
  • Гороскоп на ноябрь 2021 от Павла Глоба
  • Стенограмма судьбы - Содержание серий, актеры и роли сериала
  • Мосгаз. Западня - Содержание серий, актеры и роли 2021
  • Тобол - Содержание серий, актеры и роли сериала. 2021
  • Гороскоп для Тигра на сегодня от Павла Глоба
  • Утраченные воспоминания - Содержание серий, актеры и роли
  • Чёрно-белая любовь - Содержание серий, актеры и роли сериала
  • Забытая женщина - Содержание серий, актеры и роли сериала
  • Тайна спящей дамы - Содержание серий, актеры и роли сериала
  • Сериал Часы с кукушкой - Содержание серий, актеры и роли
  •  
     

     
    Обращаем ваше внимание на то, что данный интернет-сайт www.kinolog.do.am носит исключительно информационный характер и ни при каких условиях не является публичной офертой, определяемой положениями Статьи 437 (2) Гражданского кодекса РФ. Цена и наличие товара может отличаться от действительной. Пожалуйста, уточняйте цены и наличие товара у наших менеджеров.
    Администрация сайта не несет ответственности за действия и содержание размещаемой информации пользователей: комментарии, материалы, сообщения и темы на форуме, публикации, объявления и т.д.
    Правообладателям | Реклама | Учебники | Политика
    Отопление, водоснабжение, газоснабжение, канализация © 2003 - 2021
    Рейтинг@Mail.ru Рейтинг арматурных сайтов. ARMTORG.RU Яндекс.Метрика