[ Новые сообщения · Участники · Правила форума · Поиск · RSS ]
 
Работай из дома! 18+

ГДЗ по Математике. 6 класс
KADETДата: Вторник, 23.12.2014, 18:53 | Сообщение # 136
Генерал-майор
Группа: Проверенные
Сообщений: 337
Награды: 0
Репутация: 0
Статус: Offline


 
Работай из дома! 18+
 
 




Задача № 671

Ответ на задание



Задача № 672

Сколько квадратных плиток со стороной 20 см понадобится для настилки пола в комнате, длина которой 5,6 м, а ширина 4,4 м. Решите задачу двумя способами.

Ответы на задание



Задача № 673

Ответ на задачу



Задача № 674

Ответ на задание и решение



Задача № 675

Ответ на задачку

Фото: 5596881.jpg (50.3 Kb) · 4804005.jpg (39.0 Kb) · 5218321.jpg (27.3 Kb) · 5443319.jpg (59.8 Kb) · 0739096.jpg (25.7 Kb)
 
 
KADETДата: Вторник, 23.12.2014, 18:54 | Сообщение # 137
Генерал-майор
Группа: Проверенные
Сообщений: 337
Награды: 0
Репутация: 0
Статус: Offline


 
Работай из дома! 18+
 
 


Задача № 676

Ответ на задание



Задача № 677

Ответы на задание



Задача № 678


Ответ на задачу



Задача № 679

Ответ на задание и решение



Задача № 680

Из бочки вылили 7/12 находившёгося там керосина.Сколько литров керосина было в бочке, если из нее вылили 84 л?

Ответ на задачку

Фото: 6204952.jpg (23.1 Kb) · 4748161.jpg (21.2 Kb) · 2086480.jpg (54.7 Kb) · 9939971.jpg (33.4 Kb) · 1018757.jpg (17.0 Kb)
 
 
KADETДата: Вторник, 23.12.2014, 18:56 | Сообщение # 138
Генерал-майор
Группа: Проверенные
Сообщений: 337
Награды: 0
Репутация: 0
Статус: Offline


 
Работай из дома! 18+
 
 


Задача № 681

Володя прочитал 234 страницы, что составляет 36% всей книги. Сколько страниц в этой книге?
Аналогичная задача: При покупке в кредит цветного телевизора было уплачено наличными 234 р., что составляет 36% стоимости телевизора. Сколько стоит телевизор?

Ответ на задание



Задача № 682

Использование нового трактора для вспашки поля дало экономию времени в 70% и заняло 42 ч. Сколько времени потребовалось бы для выполнения этой работы на старом тракторе?
Аналогичная задача: Рабочий получил путевку в санаторий со скидкой 70% и уплатил за нее 42 р. Сколько стоит путевка в санаторий?

Ответы на задание



Задача № 683

Столб, врытый в землю на 2/13 своей длины, возвышается над землей на 5 1/2 м. Найдите всю длину столба.

Ответ на задачу



Задача № 684

Токарь, выточив на станке 145 деталей, перевыполнил план на 16%. Сколько деталей надо было выточить по плану?

Ответ на задание и решение



Задача № 685

Точка С делит отрезок АВ на два отрезка АС и СВ. Длина отрезка АС составляет 0,65 длины отрезка СВ. Найдите длины отрезков СВ и АВ, если АС = 3,9 см.

Ответ на задачку

Фото: 7748087.jpg (18.9 Kb) · 2272888.jpg (26.4 Kb) · 2948342.jpg (22.9 Kb) · 3495888.jpg (18.8 Kb) · 2194969.jpg (34.7 Kb)
 
 
KADETДата: Вторник, 23.12.2014, 18:58 | Сообщение # 139
Генерал-майор
Группа: Проверенные
Сообщений: 337
Награды: 0
Репутация: 0
Статус: Offline


 
Работай из дома! 18+
 
 


Задача № 686

Лыжная дистанция разбита на три участка. Длина первого участка составляет 0,48 длины всей дистанции, длина второго участка составляет 5/12 длины Лервого участка. Какова длина всей дистанции, если длина второго участка 5 км? Какова длина третьего участка?

Ответ на задание



Задача № 687

Из полной бочки взяли 14,4 кг квашеной капусты и затем еще 5/12 этого количества. После этого в бочке осталось 5/8 находившейся там ранее квашеной капусты. Сколько килограммов квашеной капусты было в полной бочке?

Ответы на задание



Задача № 688

Когда Костя прошел 0,3 всего пути от дома до школы, ему еще осталось пройти до середины пути 150 м. Какой длины путь от дома Кости до школы?

Ответ на задачу



Задача № 689

Три группы школьников посадили деревья вдоль дороги. Первая группа посадила 35% всех имевшихся деревьев, вторая - 60 % оставшихся деревьев, а третья группа - остальные 104 дерева. Сколько всего деревьев посадили?

Ответ на задание и решение



Задача № 690

В цеху имелись токарные, фрезерные и шлифовальные станки. Токарные станки составляли 5/11 всех этих станков. Число шлифовальных станков составляло 2/5 числа токарных станков. Сколько всего станков этих видов было в цеху, если фрезерных станков было на 8 меньше, чем токарных?

Ответ на задачку

Фото: 0263329.jpg (22.5 Kb) · 2114053.jpg (35.1 Kb) · 1242447.jpg (19.1 Kb) · 7111034.jpg (33.3 Kb) · 5951184.jpg (42.3 Kb)
 
 
KADETДата: Вторник, 23.12.2014, 18:59 | Сообщение # 140
Генерал-майор
Группа: Проверенные
Сообщений: 337
Награды: 0
Репутация: 0
Статус: Offline


 
Работай из дома! 18+
 
 


Задача № 691

Ответ на задание



Задача № 692

Ответы на задание



Задача № 693


Ответ на задачу



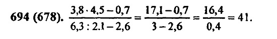
Задача № 694

Ответ на задание и решение



Задача № 695

Ответ на задачку

Фото: 3278267.jpg (50.7 Kb) · 7195693.jpg (26.7 Kb) · 9485603.jpg (22.2 Kb) · 9688018.jpg (22.2 Kb) · 5045320.jpg (83.4 Kb)
 
 
KADETДата: Вторник, 23.12.2014, 19:00 | Сообщение # 141
Генерал-майор
Группа: Проверенные
Сообщений: 337
Награды: 0
Репутация: 0
Статус: Offline


 
Работай из дома! 18+
 
 


Задача № 696

Ответ на задание



Задача № 697

Ответы на задание



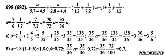
Задача № 698


Ответ на задачу



Задача № 699

Ответ на задание и решение



Задача № 700

Ответ на задачку

Фото: 8352153.jpg (74.1 Kb) · 6774995.jpg (72.0 Kb) · 2159828.jpg (42.9 Kb) · 0302006.jpg (44.1 Kb) · 1549170.jpg (47.1 Kb)
 
 
KADETДата: Вторник, 23.12.2014, 19:07 | Сообщение # 142
Генерал-майор
Группа: Проверенные
Сообщений: 337
Награды: 0
Репутация: 0
Статус: Offline


 
Работай из дома! 18+
 
 


Задача № 701

Ответ на задание



Задача № 702

На координатном луче отмечены числа А и Б. Можно ли указать на луче точку с координатами А разделить на 1/2. Можно ли указать на луче точку с координатами B разделить на 1/3

Ответы на задание



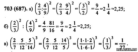
Задача № 703


Ответ на задачу



Задача № 704

Найдите произведение дробей 2/3 и 11/7 произведения дробей, обратных данным. каким свойством обладают эти два произведения? Проверьте ваше предположение еще на одном примере. Докажите это свойство в общем виде ( с помощью буквенных выражений).

Ответ на задание и решение



Задача № 705

Найти наибольшее и наименьшее значение выражений

Ответ на задачку

Фото: 3929631.jpg (19.3 Kb) · 1408140.jpg (17.0 Kb) · 1176445.jpg (47.1 Kb) · 1213615.jpg (34.2 Kb) · 2788689.jpg (40.3 Kb)
 
 
KADETДата: Вторник, 23.12.2014, 19:09 | Сообщение # 143
Генерал-майор
Группа: Проверенные
Сообщений: 337
Награды: 0
Репутация: 0
Статус: Offline


 
Работай из дома! 18+
 
 


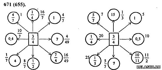
Задача № 706

Ответ на задание



Задача № 707

Ваня и Таня должны были встретиться на станции, чтобы вместе поехать на поезде, который отправляется в 8 ч утра. Ваня думает, что его часы спешат на 35 мин, хотя в действительности они отстают на 15 мин. А Таня думает, что ее часы отстают на 15 мин, хотя они на самом деле спешат на 10 мин. Что произойдет, если каждый из них, полагаясь на свои часы, будет стремиться прийти за 5 мин до отхода поезда?

Ответы на задание



Задача № 708

Возраст Сережи составляет 2/7 возраста отца. Сереже 12 лет. Сколько лет отцу?

Ответ на задачу



Задача № 709

Комбайнер за 1 ч скосил пшеницу с площади 3 га, что составляет 15% того, что он скосил за день. Какую площадь скосил комбайнер за день?

Ответ на задание и решение



Задача № 710

25% всех деревьев сада составляют груши, остальные 150 деревьев — яблони. Сколько грушевых деревьев в саду?

Ответ на задачку

Фото: 7218718.jpg (19.1 Kb) · 4478617.jpg (63.3 Kb) · 7355079.jpg (17.6 Kb) · 6664927.jpg (16.4 Kb) · 0426649.jpg (21.9 Kb)
 
 
KADETДата: Вторник, 23.12.2014, 19:12 | Сообщение # 144
Генерал-майор
Группа: Проверенные
Сообщений: 337
Награды: 0
Репутация: 0
Статус: Offline


 
Работай из дома! 18+
 
 


Задача № 711

Площадь 60 га составляет 0,75 площади поля. Чему равна площадь поля?

Ответ на задание



Задача № 712

Ответы на задание



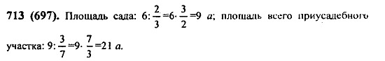
Задача № 713

Участок земли, площадь которого 6 а, составляет 2/3 сада, а площадь сада составляет 3/7 всего приусадебного участка. Чему равна площадь всего приусадебного участка?

Ответ на задачу



Задача № 714

По плану бригада должна отремонтировать за месяц 25% дороги между двумя посёлками.За первую неделю отремонтировали 2 км 100 м дороги,что составило 30% месячного плана.Какова длина всей дороги между посёлками?

Ответ на задание и решение



Задача № 715

1)В книге 240 страниц. в субботу мальчик прочитал 7,5% всей книги, а в воскресенье -на 12 страниц больше . сколько страниц ему осталось прочитать?

2)Для птицефермы заготовили 2600т корма. В первый месяц было израсходовано 8,5% корма а во второй месяц на 30т больше. Сколько тонн корма осталось?

Ответ на задачку

Фото: 4060934.jpg (16.6 Kb) · 0857288.jpg (28.2 Kb) · 4633464.jpg (18.6 Kb) · 7223745.jpg (22.4 Kb) · 4456938.jpg (34.7 Kb)
 
 
KADETДата: Вторник, 23.12.2014, 19:14 | Сообщение # 145
Генерал-майор
Группа: Проверенные
Сообщений: 337
Награды: 0
Репутация: 0
Статус: Offline


 
Работай из дома! 18+
 
 


Задача № 716

Ответ на задание



Задача № 717

Нападающие Коля и Никита во время баскетбольного матча принесли своей команде 3/7 и 5/14 всех очков. Сколько очков набрала эта команда, если Коля набрал на 7 очков больше, чем Никита?

Ответы на задание



Задача № 718

Поезд проходит расстояние между городами за 6 ч со скоростью 68 км/ч. Какое время потребуется велосипедисту, чтобы проехать 1/8 этого расстояния со скоростью 17 км/ч?

Ответ на задачу



Задача № 719

Получили сплав из куска меди объемом 15 см3 и куска цинка объемом 10 см3. Какова масса 1 см3 сплава, если масса 1 см3 меди 8,9 г, а масса 1 см3 цинка 7,1 г? Полученный результат округлите до десятых долей грамма.

Ответ на задание и решение



Задача № 720

Кухня в 10 м2 составляет 0,4 всех нежилых помещений квартиры. Площадь нежилых помещений составляет 5/18 площади всей квартиры. Найдите площадь всей квартиры.

Ответ на задачку

Фото: 0883473.jpg (89.3 Kb) · 4014324.jpg (21.9 Kb) · 4753739.jpg (22.0 Kb) · 8115466.jpg (20.6 Kb) · 4189976.jpg (19.1 Kb)
 
 
KADETДата: Вторник, 23.12.2014, 19:19 | Сообщение # 146
Генерал-майор
Группа: Проверенные
Сообщений: 337
Награды: 0
Репутация: 0
Статус: Offline


 
Работай из дома! 18+
 
 


Задача № 721

Вырежьте из плотной бумаги фигуры, изображенные на рисунке 31, и склейте фигуры, изображенные на рисунке 32. Эти фигуры называют призмами. У прямой призмы боковые грани — прямоугольники, а верхнее и нижнее основания — равные многоугольники. На рисунке 32, а изображена треугольная призма, а на рисунке 32, б — четырехугольная. Каждый прямоугольный параллелепипед — это четырехугольная призма.

Ответ на задание



Задача № 722

Ответы на задание



Задача № 723

Проволока разрезана на два куска. Первый кусок имеет длину 9 м, а второй 14,4 м. Найдите, какую часть всей проволоки составляет первый кусок; второй кусок. Какую часть первый кусок составляет от длины второго куска?

Ответ на задачу



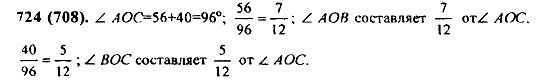
Задача № 724

Внутри угла АОС проведен луч ОВ так, что AOB = = 56° и ВОС = 40°. Какую часть угла АОС составляет угол АОВ; угол ВОС? Выполните построение этих углов с помощью транспортира.

Ответ на задание и решение



Задача № 725

Площадь прямоугольника 22,05 дм2. Длина этого прямоугольника 10,5 дм. Найдите отношение длины прямоугольника к его ширине. Что показывает это отношение? Запишите отношение, обратное полученному отношению. Что будет показывать это отношение?

Ответ на задачку

Фото: 9708394.jpg (16.3 Kb) · 9099627.jpg (40.6 Kb) · 2503404.jpg (43.2 Kb) · 9711489.jpg (21.3 Kb) · 0080201.jpg (24.8 Kb)
 
 
KADETДата: Вторник, 23.12.2014, 19:20 | Сообщение # 147
Генерал-майор
Группа: Проверенные
Сообщений: 337
Награды: 0
Репутация: 0
Статус: Offline


 
Работай из дома! 18+
 
 


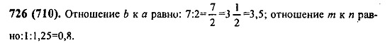
Задача № 726

Отношение а к b равно 2/7. Найдите обратное отношение. Чему будет равно отношение m к n, если отношение n к m равно 1,25?

Ответ на задание



Задача № 727

Сплав из свинца и олова содержит 1,52 кг свинца и 0,76 кг олова. В каком отношении взяты свинец и олово? Какую часть сплава (по массе) составляет олово и какую часть свинец?

Ответы на задание



Задача № 728

Какую часть урока заняла самостоятельная работа, которая длилась 20 мин, если продолжительность урока 45 мин?

Ответ на задачу



Задача № 729

В классе 36 учащихся. Из них 15 мальчиков, а остальные девочки. Какую часть учащихся составляют мальчики, а какую девочки? Чему равно отношение числа девочек к числу мальчиков и что оно показывает?

Ответ на задание и решение



Задача № 730

Между двумя городами построили дорогу.Первый город построил 5/7 дороги,второй остальную часть.Во сколько раз часть дороги,построенная первым городом,больше,чем часть дороги,построенная вторым?

Два колхоза построили дорогу. Первый колхоз построил 5/7 дороги, второй — остальную часть. Во сколько раз часть дороги, построенная первым колхозом, больше, чем часть дороги, построенная вторым?

Ответ на задачку

Фото: 8883079.jpg (17.6 Kb) · 3300588.jpg (28.6 Kb) · 8464142.jpg (17.0 Kb) · 7316855.jpg (34.2 Kb) · 8837733.jpg (30.4 Kb)
 
 
KADETДата: Вторник, 23.12.2014, 19:24 | Сообщение # 148
Генерал-майор
Группа: Проверенные
Сообщений: 337
Награды: 0
Репутация: 0
Статус: Offline


 
Работай из дома! 18+
 
 


Задача № 731

Расстояние от села до города автомашина прошла за 3 ч. В первый час она прошла четверть всего расстояния, во второй час треть всего расстояния. Во сколько раз расстояние, пройденное в третий час, больше расстояния, пройденного во второй час? Какую часть расстояние, пройденное в первый час, составляет от расстояния, пройденного в третий час?

Ответ на задание



Задача № 732

Молоко разлили в три бидона. В первый налили 0,1 всего молока, во второй 0,3 всего молока, а в третий 0,6 всего молока. Что показывает отношение: а) 0,1 к 0,3; б) О,1 к 0,6; в) 0,3 к 0,6; г) (0,3+ 0,1) к 0,6?

Ответы на задание



Задача № 733

В классе 40 учащихся. 8 учащихся учатся на «5». Сколько процентов учащихся класса составляют отличники?

Ответ на задачу



Задача № 734

Из 250 семян погибли 10. Найдите процент всхожести семян.

Ответ на задание и решение



Задача № 735

После установки нового оборудования завод за смену вместо 240 холодильников стал выпускать 300 холодильников. На сколько процентов увеличилось производство холодильников за смену?

В связи с повышением разряда рабочий стал вместо 240 р. получать 300 р. На сколько процентов повысилась зарплата рабочего?

Ответ на задачку

Фото: 0611719.jpg (51.6 Kb) · 5139581.jpg (33.8 Kb) · 5974265.jpg (17.9 Kb) · 5780103.jpg (22.5 Kb) · 7707822.jpg (18.7 Kb)
 
 
KADETДата: Вторник, 23.12.2014, 19:27 | Сообщение # 149
Генерал-майор
Группа: Проверенные
Сообщений: 337
Награды: 0
Репутация: 0
Статус: Offline


 
Работай из дома! 18+
 
 


Задача № 736

По коэффициенту трудового участия (КТУ) заработок между тремя рабочими распределили следующим образом: первому — 40% всех денег, второму — 35% всех денег, а третьему — остальные 25%. Определите, округлив результаты до десятых, сколько процентов составляли деньги, полученные:

а) первым рабочим, от денег, полученных двумя другими;
б) вторым рабочим, от денег, полученных двумя другими;
в) первым рабочим, от денег, полученных вторым;
г) вторым рабочим, от денег, полученных первым;
д) третьим рабочим, от денег, полученных первым.

Ответ на задание



Задача № 737

Имеющиеся деньги брат и сестра распределили так, что сестра получила в 3 раза больше, чем брат. Определите:

а) какую часть денег получила сестра и какую брат;

б) сколько процентов всех денег получила сестра и сколько брат;

в) какую часть деньги брата составляют от денег сестры

Ответы на задание



Задача № 738


Ответ на задачу



Задача № 739

Что показывает отношение:

а) пути, пройденного автомашиной, ко времени ее движения;

б) числа деталей, изготовленных станком-автоматом, ко времени его работы;

в) стоимости купленных яблок к их массе; г) объема прямоугольного параллелепипеда к площади его основания?

Ответ на задание и решение



Задача № 740

Ответ на задачку

Фото: 1077271.jpg (31.9 Kb) · 0134538.jpg (32.8 Kb) · 7077385.jpg (58.5 Kb) · 8464385.jpg (45.5 Kb) · 8122976.jpg (30.2 Kb)
 
 
KADETДата: Вторник, 23.12.2014, 19:28 | Сообщение # 150
Генерал-майор
Группа: Проверенные
Сообщений: 337
Награды: 0
Репутация: 0
Статус: Offline


 
Работай из дома! 18+
 
 


Задача № 741

Ответ на задание



Задача № 742

Ответы на задание



Задача № 743

Ответ на задачу



Задача № 744

Ответ на задание и решение



Задача № 745

Половина от половины числа равна половине. Найдите это число.

Ответ на задачку



Продолжение решебника по Математике ...
Фото: 8142035.jpg (18.9 Kb) · 3173512.jpg (34.1 Kb) · 1353541.jpg (45.5 Kb) · 4926782.jpg (17.2 Kb) · 3392216.jpg (33.3 Kb)


 
 
Поиск:

Работай из дома! 18+
 
 
 
 
 
 

 
Последние темы на форуме:
 
  • Новогодние праздники 2021-2022 официальные выходные
  • Показатели давления и сердцебиения у женщины 57 лет
  • Гороскоп на декабрь 2021 Женщина Телец
  • Гороскоп на январь 2022 от Павла Глоба
  • Гороскоп на декабрь 2021 от Павла Глоба
  • Гороскоп на ноябрь 2021 от Павла Глоба
  • Стенограмма судьбы - Содержание серий, актеры и роли сериала
  • Мосгаз. Западня - Содержание серий, актеры и роли 2021
  • Тобол - Содержание серий, актеры и роли сериала. 2021
  • Гороскоп для Тигра на сегодня от Павла Глоба
  • Утраченные воспоминания - Содержание серий, актеры и роли
  • Чёрно-белая любовь - Содержание серий, актеры и роли сериала
  • Забытая женщина - Содержание серий, актеры и роли сериала
  • Тайна спящей дамы - Содержание серий, актеры и роли сериала
  • Сериал Часы с кукушкой - Содержание серий, актеры и роли
  •  
     

     
    Обращаем ваше внимание на то, что данный интернет-сайт www.kinolog.do.am носит исключительно информационный характер и ни при каких условиях не является публичной офертой, определяемой положениями Статьи 437 (2) Гражданского кодекса РФ. Цена и наличие товара может отличаться от действительной. Пожалуйста, уточняйте цены и наличие товара у наших менеджеров.
    Администрация сайта не несет ответственности за действия и содержание размещаемой информации пользователей: комментарии, материалы, сообщения и темы на форуме, публикации, объявления и т.д.
    Правообладателям | Реклама | Учебники | Политика
    Отопление, водоснабжение, газоснабжение, канализация © 2003 - 2021
    Рейтинг@Mail.ru Рейтинг арматурных сайтов. ARMTORG.RU Яндекс.Метрика