[ Новые сообщения · Участники · Правила форума · Поиск · RSS ]
 
Работай из дома! 18+

ГДЗ по Математике. 5 класс
БрошкаДата: Четверг, 25.12.2014, 14:21 | Сообщение # 181
Генерал-майор
Группа: Проверенные
Сообщений: 378
Награды: 0
Репутация: 0
Статус: Offline


 
Работай из дома! 18+
 
 




Задача № 901

Длина дороги 20 км. Заасфальтировали 2/5 дороги. Сколько километров дороги заасфальтировали? Сколько осталось заасфальтировать?

Решение:

Заасфальтировали 2/5 дороги, значит
20 км * 2 : 5 = 40 км : 5 = 8 км.

Тогда осталось заасфальтировать
20 км - 8 км = 12 км.

Ответ на задание



Задача № 902

На базу в Антарктиду доставили 22 собаки. Из 5/11 всех собак составили упряжку, на которой отправились в поход. Сколько собак не вошло в упряжку?

Решение:

В упряжку вошло собак:
22 * 5 : 11 = 110 : 11 = 10.

Не вошло в упряжку:
22-10 = 12.

Ответы на задание



Задача № 903

Купили 5 кг 600 г сахара и израсходовали на варенье 7/8 всего сахара. Сколько сахара пошло на варенье? Сколько сахара осталось?

Решение:

Купили 5 кг 600 г сахара или 5600 г.

Израсходовали сахара:
5600 * 7 : 8 = 4900 г

Осталось сахара:
5600 - 4900 = 700

Ответ на задачу



Задача № 904

Сколько молока в бидоне, если 1/5 этого молока составляет 13 л?

Решение:

Из условия задачи следует что в бидоне пять раз по 13л:
13л * 5 = 65 литров

Ответ: 65 литров молока в бидоне.

Ответ на задание



Задача № 905

Дорога от Фабричного до Кратова равна 5 км, что составляет 5/8 дороги от Фабричного до Ильинского. Найдите расстояние от Фабричного до Ильинского.

Решение: Так как пять восьмых дороги составляют 5 км, то одна восьмая этой дороги равна 5 : 5, то есть 1 км. А тогда вся дорога в 8 раз длиннее, чем 1 км, то есть имеет длину 1 • 8, или 8 км. Итак, от Фабричного до Ильинского 8 км.

Ответ на задачку

Фото: 8140818.jpg (29.9 Kb) · 9353287.jpg (32.2 Kb) · 2857502.jpg (31.3 Kb) · 0182689.jpg (21.2 Kb) · 3852683.jpg (12.0 Kb)
 
 
БрошкаДата: Четверг, 25.12.2014, 14:26 | Сообщение # 182
Генерал-майор
Группа: Проверенные
Сообщений: 378
Награды: 0
Репутация: 0
Статус: Offline


 
Работай из дома! 18+
 
 


Задача № 906

Человек прошел 2/3 дороги. Какова длина всей дороги, если он прошел 4 км?

Решение: всю дорогу можно разделить на три равных части. Человек прошел из них две равные части, а всего он прошел 4 километра. Тогда одна часть равна 4км:2=2км. Если одна чать равна 2км, а всего частей было 3, тогда вся дорога 3*2км=6км.

Ответ: 6 км.

Ответ на задание



Задача № 907

Велосипедист проехал 2/9 дороги. Какова длина дороги, если он проехал 40 км?

Решение:

Разделим всю дорогу на 9 равных частей. Велосепидист проехал 2 равные части дороги, которые равны 40 км.
Тогда одна часть дороги 40:2=20км. Таких частей было девять, поэтому вся дорога получается 20км*9=180км.

Ответ: 180 км.

Ответы на задание



Задача № 908

Миша исписал 10 страниц тетради, что составляет 5/6 всей тетради. Сколько страниц в тетради?

Решение:

Тогда 1/6 тетради меньше в 5 раз чем Миша уже исписал. 10 : 5 = 2 страниц.
Если 1/6 тетради это 2 страница, тогда вся тетрадь в шесть раз больше. 2 * 6 = 12 страниц.

Ответ: 12 страниц.

Ответ на задачу



Задача № 909

В куске материи 96 м. Для детского сада взяли 3/8 этого куска, а для детских яслей 5/12 куска. Для кого взяли больше материи — для детского сада или для яслей? На сколько метров?

Решение:

Для детского сада взяли 3/8 этого куска. Значит для детского сада взяли
96м : 8 * 3 = 12м * 3 = 36м.

Для яслей взяли 5/12. Значит для яслей взяли
96м : 12 * 5 = 8м * 5 = 40м.

Для яслей взяли больше, выясним на сколько
40м - 36м = 4м.

Ответ: Для яслей взяли больше на 4м.

Ответ на задание



Задача № 910

Вычислите устно:

a)500 + 310 = 810
810 : 90 = 9
9 * 50 = 450
450 + 150 = 600

б)1000 : 100 = 10
10 * 30 = 300
300 + 250 = 550
550 : 50 = 11

в) 200 + 430 = 630
630 : 70 = 9
9 * 40 = 360
360 + 140 = 500

г) 720 : 90 = 8
8 * 125 = 1000
1000 : 200 = 5
5 * 120 = 600

Ответ на задачку

Фото: 9294858.jpg (26.8 Kb) · 3301377.jpg (26.9 Kb) · 2998046.jpg (28.2 Kb) · 6811401.jpg (31.5 Kb) · 6989650.jpg (28.7 Kb)
 
 
БрошкаДата: Четверг, 25.12.2014, 14:29 | Сообщение # 183
Генерал-майор
Группа: Проверенные
Сообщений: 378
Награды: 0
Репутация: 0
Статус: Offline


 
Работай из дома! 18+
 
 


Задача № 911

Десятую часть миллиона уменьшили на 10 000 и результат уменьшили в тысячу раз. Сколько получили?

Решение:

Десятая часть миллиона
1 000 000 : 10 = 100 000.

Десятую часть миллиона уменьшили на 10 000
100 000 - 10 000 = 90 000.

И результат уменьшили в тысячу раз
90 000 : 1 000 = 90.

Ответ: 90.

Ответ на задание



Задача № 912

Имеется круг, диаметр которого 10 см. Найдутся ли две точки этого круга, расстояние между которыми: 5 см; 1 см; 10 см; 12 см? Ответьте на те же вопросы для окружности радиусом 5 см.

Решение:

Так как диаметр круга 10 см, то максимальное расстояние между точками должно быть не более 10 см!

Найдутся ли две точки этого круга, расстояние между которыми: 5 см; 1 см; 10 см; 12 см?

5 см - "да".
1 см - "да".
10 см - "да".
12 см - "нет".

Ответьте на те же вопросы для окружности радиусом 5 см.

5 см - "да".
1 см - "да".
10 см - "да".
12 см - "нет".

Ответы на задание



Задача № 913

Приведите примеры предметов, имеющих форму окружности; круга; дуги окружности; полукруга.

Возможные ответы: кольцо; dvd-диск; коромысло; веер.

Ответ на задачу

$IMAGE3$

Задача № 914

Поставьте вместо многоточия необходимые слова: «Отрезок называется диаметром, если он ... и он ...»

Ответ: Отрезок называется диаметром, если он соединяет две точки окружности и он проходит через центр окружности.

Ответ на задание



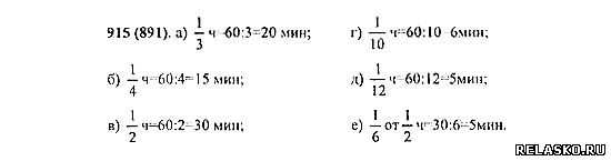
Задача № 915

Солько минут:
а) в трети часа;
б) в четверти часа;
в) в половине часа;
г) в десятой доле часа;
д) в двенадцатой доле часа;
е) в шестой доле половины часа?

Примечание: в одном часе 60 минут!

Ответы:

а) в трети часа = 60 : 3 = 20м.
б) в четверти часа = 60 : 4 = 15м.
в) в половине часа = 60 : 2 = 30м.
г) в десятой доле часа = 60 : 10 = 6м.
д) в двенадцатой доле часа = 60 : 12 = 5м.
е) в шестой доле половины часа = 60 : 2 : 6 = 5м.

Ответ на задачку

Фото: 9773314.jpg (24.1 Kb) · 4947050.jpg (40.3 Kb) · 1333040.jpg (26.4 Kb) · 9509147.jpg (30.8 Kb)
 
 
БрошкаДата: Четверг, 25.12.2014, 14:32 | Сообщение # 184
Генерал-майор
Группа: Проверенные
Сообщений: 378
Награды: 0
Репутация: 0
Статус: Offline


 
Работай из дома! 18+
 
 


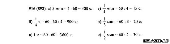
Задача № 916

Сколько секунд:
а) в 5 минутах;
б) в четверти часа;
в) в одном часе;
г) в четверти минуты;
д) в трети минуты;
е) в половине минуты?

Примечание: в одном часе 60 минут, в одной минуте 60 секунд!

Решение:

а) в 5 минутах = 60с * 5 = 300с.
б) в четверти часа = 60 минут : 4 = 15 минут = 60секунд * 15 = 900секунд.
в) в одном часе = 60 минут = 60 * 60 секунд = 3600 секунд.
г) в четверти минуты = 60 секунд : 4 = 15 секунд.
д) в трети минуты = 60 секунд : 3 = 20 секунд.
е) в половине минуты = 60секунд : 2 = 30 секунд.

Ответ на задание



Задача № 917

Сколько в действительности времени, если часы, отраженные в зеркале (рис. 113), показывают 9 ч; 8 ч; 6 ч 15 мин; 10 ч 40 мин? Когда часы и их отражение покажут одинаковое время?

Ответы:

Если часы, отраженные в зеркале, показывают 9 ч, то в действительности 15ч (3ч).
Если часы, отраженные в зеркале, показывают 8 ч, то в действительности 16ч (4ч).
Если часы, отраженные в зеркале, показывают 6 ч 15 мин ч, то в действительности 5 ч 45 мин.
Если часы, отраженные в зеркале, показывают 10 ч 40 мин, то в действительности 13ч 20минут (1ч 20минут).

Когда часы и их отражение покажут одинаковое время: в 6ч и в 12ч.

Ответы на задание



Задача № 918

Отметьте точки А и В так, что АВ= 5 см. Проведите окружности одинакового радиуса с центрами А и В так, чтобы они:
а) пересекались в двух точках;
б) не имели общих точек.

Решение:

а)Чтобы окружности пересекались в двух точках - сумма радиусов окружностей должна быть больше 5см. Сделайте окружности например с радисами по 4см.
б)Чтобы окружности не имели общих точек - сумма радиусов окружностей должна быть меньше 5 см. Например радиусы могут быть по 2см.

Ответ на задачу



Задача № 919

Начертите отрезок АВ = 6 см. Найдите точки, которые удалены от А и от В на 6 см.

Решение:

Постройте окружность с центром в точке А и радиусом 6см.
Постройте окружность с центром в точке В и радиусом 6см.

Эти две окружности пересекуться в двух точках, эти две точки и требовалось найти!

Ответ на задание



Задача № 920

Начертите окружность с центром в точке О и радиусом 2 см 6 мм (рис. 114). Отметьте такую точку К, чтобы ОК = 4 см. Найдите с помощью циркуля на окружности точки, удаленные от точки К на 3 см.

Решение:

Построим вторую окружность с центром в точке К и радиусом 3см.

Построенные две окружности пересекаются в двух точках. Эти две точки и требовалось найти. Эти две точки и являются точками первой окружности и удаленными от точки К на растояние 3см.

Ответ на задачку

Фото: 3545255.jpg (30.7 Kb) · 6635278.jpg (44.6 Kb) · 4013685.jpg (46.5 Kb) · 1709176.jpg (42.9 Kb) · 9335822.jpg (48.5 Kb)
 
 
БрошкаДата: Четверг, 25.12.2014, 14:35 | Сообщение # 185
Генерал-майор
Группа: Проверенные
Сообщений: 378
Награды: 0
Репутация: 0
Статус: Offline


 
Работай из дома! 18+
 
 


Задача № 921

Бетонный блок имеет длину 12 дм, ширину 8 дм и высоту 5 дм. Из таких блоков сложили стену длиной 240 дм, шириной 24 дм и высотой 30 дм. Сколько блоков потребовалось для этого?

Длина стены 240 дм, а один блок длинной 12 дм, вычислим сколько блоков потребуется выложить в длинну
240дм : 12дм = 20 штук.

Ширина стены 24 дм, ширина блока 12 дм, вычислим сколько потребуется выложить блоков в ширину
24 дм : 8 дм = 3 штуки.

Высота стены 30 дм, высота блока 5 дм, вычислим сколько блоков потребуется выложить в высоту
30 дм : 5дм = 6 штук.

Сколько всего потребовалось блоков (перемножим высоту на ширину и на высоту)
20 * 3 * 6 = 60 * 6 = 360 штук.

Ответ: 240 блоков потребовалось.

Ответ на задание



Задача № 922

На книжную полку ставят 6 разных книг. Сколькими способами эти книги можно разместить на полке?

Решение:

Первую книгу мы можем поставить на любое из 6 мест, это уже 6 способов.
Когда мы захотим поставить вторую книгу, одно из мест будет уже занято, поэтому вторую книгу мы сможем поставить только 5 способами.

Получается что первые две книги мы можем расставить 6*5=30 способами.

Когда мы захотим поставить третью книгу, два места будут уже заняты, свободных мест останеться только 4, поэтому третью книгу мы можем разместить только 4 способами.

Тогда первые три книги мы можем расположить 6*5*4=120 спомобами.

Когда мы захотим поставить четвертую книгу, три места будут уже заняты, свободных мест останеться уже 3, поэтому четверную книгу мы можем разместить только 3 способами.

Тогда первые четыре книги мы сможем расположить 6*5*4*3=360 способами.

Когда мы захотим поставить пятую книгу, четыре места будут уже заняты, свободных мест останеться уже 2, поэтому пятую книгу мы можем разместить только 2 способами.

Тогда первые пять книг мы можем зазместить 6*5*4*3*2=720 способами.

Когда мы захотим разместить шестую книгу, то сводобным останеться только одно место, и последнюю книгу мы сможем разместить только одним единственным образом.

Поэтому все шесть книг мы можем разместить 6*5*4*3*2*1=720 способами.

Ответ: 720 способов

Ответы на задание



Задача № 923


Решите задачу:
1) В двух спортивных секциях поровну участников. Если в каждую из них войдут еще по 2 участника, то всего в них будет 36 человек. Сколько человек занимается в каждой секции?
2) В трех классах поровну учащихся. Если в каждый класс добавить еще по 3 учащихся, то всего в них будет 129 учащихся. Сколько человек учится в каждом классе?

Решение 1:

"Если в каждую из секций войдут по 2 участника, то всего в них будет 36 человек".
Если в каждую из секций войдут по 2 участника, то общее количество человек увеличиться на 4 человека, значит до вхождения новых участников в двух секицях занималось 36-4=32 участника.

"В двух спортивных секциях поровну участников", а всего 32 человека, найдем сколько в каждой из них 32:2=16 человек.

Ответ: в каждой секции занимается по 16 человек.

Решение 2:

Если в каждый из 3 классов добавить по 3 учащихся, то всего добавим 9 учащихся. Значит до добавления в классах учится 129-9=120 человек.

Так как в каждом из 3 классов поровну человек, можем 120 разделить на 3 и узнать сколько учится в каждом классе человек:
120 : 3 = 40.

Ответ: 40 человек учится в каждом классе.

Ответ на задачу



Задача № 924

Выполните действия:
1) 90 720 : (207 : 23 • 840);
2) 22 624 : 56 • (816 : 8);
3) 14 700 : 21 : 7 • 49;
4) 140 : 10 : (49 : 7) : (10 : 5).

Решение:

1) 90 720 : (207 : 23 • 840) = 90 720 : (9 • 840) = 90 720 : (9 • 840) = 90 720 : 9 : 840 = 10 080 : 840 = 12.
2) 22 624 : 56 • (816 : 8) = 22 624 : 56 • 102 = 22 624 : 56 • 102 = 404 • 102 = 41 208.
3) 14 700 : 21 : 7 • 49 = 14 700 : 21 : 7 • 49 = 700 : 7 • 49 = 100 • 49 = 4 900.
4) 140 : 10 : (49 : 7) : (10 : 5) = 140 : 10 : 7 : 2 = 14 : 7 : 2 = 2 : 2 = 1.

Ответ на задание



Задача № 925

Начертите круг радиусом 2 см и закрасьте 3/4 круга.

Решение:

Как закрасить три четверти круга? Разделите круг на 4 равных части и закрасьте три из них.

Ответ на задачку

Фото: 7665468.jpg (30.2 Kb) · 2349981.jpg (20.3 Kb) · 9623706.jpg (44.3 Kb) · 1163067.jpg (34.0 Kb) · 0329381.jpg (28.0 Kb)
 
 
БрошкаДата: Четверг, 25.12.2014, 14:39 | Сообщение # 186
Генерал-майор
Группа: Проверенные
Сообщений: 378
Награды: 0
Репутация: 0
Статус: Offline


 
Работай из дома! 18+
 
 


Задача № 926

Из трехлитрового бидона с молоком взяли 2 л молока. Какую часть всего молока взяли?

Решение:

Так как один литр составляет 1/3 (одну треть), то два литра составят 2/3 (две трети).

Ответ: взяли 2/3 всего молока.

Ответ на задание



Задача № 927

Площадь квадрата 16 см2. Найдите, чему равна площадь:
а) 3/4 квадрата;
б) половины квадрата.

Решение:

а) Четверть квадрата равна 16см2:4=4см2. Тогда три четверти 4см2*3=12см2.

б) Площадь половины квадрата 16см2:2=8см2.

Ответы на задание



Задача № 928

На огороде собрали 42 кг огурцов и 5/7 всех огурцов засолили. Сколько килограммов огурцов засолили?

Решение:

Найдем одну седьмую огурцов, для этого разделим вес собранных огурцов на семь.
42кг : 7 = 6кг.

Засолили пять седьмых:
6кг * 5 = 30кг.

Ответ: 30кг.

Ответ на задачу



Задача № 929

Мастерская получила 700 м шелка. Из 2/7 полученной ткани сшили блузки, а из 2/5 полученной ткани сшили платья. Сколько метров шелка осталось?

Решение:

Найдем сколько ушло на блузки:
700м : 7 * 2 = 100м * 2 = 200м.

Найдем сколько ушло на платья:
700м : 5 * 2 = 140м * 2 = 280м.

Осталось ткани:
700м - 200м - 280м = 500м - 280м = 220м.

Ответ: 220м осталось.

Ответ на задание



Задача № 930

До перерыва шахматисты играли 4/5 всего времени партии. Сколько времени продолжалась партия, если до перерыва шахматисты играли 2 ч?

Решение:

2ч = 120 минут.

Найдем одну пятую всего времи, для этого время до перерыва(2ч) разделим на четыре:
120минут : 4 = 30 минут.

Все время игры больше одной пятой в пять раз, поэтому умножим одну пятую времени на пять:
30минут * 5 = 150минут.

Ответ: 150 минут.

Ответ на задачку

Фото: 4451448.jpg (25.1 Kb) · 0823227.jpg (27.6 Kb) · 0755787.jpg (25.4 Kb) · 0488793.jpg (28.4 Kb) · 7521359.jpg (27.9 Kb)
 
 
БрошкаДата: Четверг, 25.12.2014, 14:55 | Сообщение # 187
Генерал-майор
Группа: Проверенные
Сообщений: 378
Награды: 0
Репутация: 0
Статус: Offline


 
Работай из дома! 18+
 
 


Задача № 931

До обеда выгрузили 7/10 зерна, находившегося в товарном вагоне. Сколько тонн зерна было в вагоне, если выгрузили 42 т?

Найдем одну десятую всего зерна:
42т : 7 = 6т.

Найдем все зерно:
6т * 10 = 60т

Ответ: 60т.

Ответ на задание



Задача № 932

Постройте круг радиусом 5 см. Проведите в нем диаметр АВ. Отметьте на окружности точку М и соедините ее с точками А и В. Измерьте: диаметр АВ, отрезок AM, отрезок MB. Какой из этих отрезков самый длинный?

Ответы на задание



Задача № 933

Какую часть 1 м3 составляет 1 см3? Какую часть 1 м3 составляет 1см3?

Ответ:

1 м3 = 1 000 000 см3.

1 см3 составляет одну миллионную (1/1 000 000) от 1. м3

Ответ на задачу



Задача № 934

Найдите значение выражения:
а) 87 619 + 57 994 : 271 - 15 975 : 75;
б) 532 • 109 - 48 016 4- 13 631 : 43.

Решение:

87 619 + 57 994 : 271 - 15 975 : 75 =
87 619 + 214 - 213 =
87 619 + 1 =
87 620

532 • 109 - 48 016 + 13 631 : 43 =
57 988 - 48 016 + 317 =
9 972 + 317 =
10 289.

Ответ на задание



Задача № 935

Разгадайте кроссворд, помещенный на форзаце в конце учебника.

Ответ на задачку

Фото: 0777712.jpg (26.2 Kb) · 3263824.jpg (36.9 Kb) · 1368555.jpg (26.1 Kb) · 8630825.jpg (55.6 Kb) · 8564646.jpg (31.2 Kb)
 
 
БрошкаДата: Четверг, 25.12.2014, 15:01 | Сообщение # 188
Генерал-майор
Группа: Проверенные
Сообщений: 378
Награды: 0
Репутация: 0
Статус: Offline


 
Работай из дома! 18+
 
 


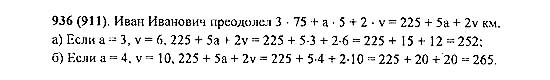
Задача № 936

Иван Иванович отправился из дому на рыбную ловлю. Три часа он ехал поездом со скоростью 75 км/ч. Потом А ч он шел пешком со скоростью 5 км/ч, наконец, 2 ч плыл на лодке по озеру со скоростью V км/ч. Какой путь проделал Иван Иванович от вокзала до места рыбалки? Найдите значение получившегося выражения, если: а) А = 3, V = 6; б) А = 4, V= 10.

Решение:

а) 3*75 + 3*5 + 2*6 = 225 + 15 + 12 = 252.

б) 3*75 + 4*5 + 2*10 = 225 + 20 20 = 265.

Ответ на задание



Задача № 937

Мотоциклист и велосипедист едут навстречу друг другу. Через сколько часов они встретятся, если расстояние между ними 272 км, скорость велосипедиста 12 км/ч, а скорость мотоциклиста 56 км/ч?

Решение:

Общая скорость: 12км/ч + 56 км/ч = 68км/ч.

Через какое время они встретятся: 272км : 68 км/ч = 4 часа.

Ответ: через 4 часа

Ответы на задание



Задача № 938

По рисунку 115 найдите площади треугольников ABC, ACD, ABO и ВСО.

Решение:

Площадь треугольника АВС = 8см * 4см : 2 = 16 см2
Площадь треугольника АСD = 8см * 4см : 2 = 16 см2
Площадь треугольника АВO = 8см * 4см : 4 = 8 см2
Площадь треугольника ВСO = 8см * 4см : 4 = 8 см2

Ответ на задачу



Задача № 939

У продавца 80 кг яблок. Первый покупатель приобрел 10 кг яблок, а остальные А покупателей — по 6 кг каждый. Сколько яблок осталось у продавца? Какие значения может принимать А?

Если А = 1, то у продавца осталось
80 - 10 - 6 = 64.

Если А = 2, то у продавца осталось
80 - 10 - 6 * 2 = 58.

Если А = 3, то у продавца осталось
80 - 10 - 6 * 3 = 52.

Если А = 4, то у продавца осталось
80 - 10 - 6 * 4 = 46.

Если А = 5, то у продавца осталось
80 - 10 - 6 * 5 = 40.

Если А = 6, то у продавца осталось
80 - 10 - 6 * 6 = 34.

Если А = 7, то у продавца осталось
80 - 10 - 6 * 7 = 28.

Если А = 8, то у продавца осталось
80 - 10 - 6 * 8 = 22.

Если А = 9, то у продавца осталось
80 - 10 - 6 * 9 = 16.

Если А = 10, то у продавца осталось
80 - 10 - 6 * 10 = 10.

Если А = 11, то у продавца осталось
80 - 10 - 6 * 11 = 4.

Параметр А может принимает значения не более 11, так как если А=11, то у продавца остается только 4 кг яблок и их не хватает чтобы продать следующему покупателю.

Ответ на задание

$IMAGE4$

Задача № 940

Объясните с помощью рисунка, почему

Решение:

Если мы разделим первый квадрат на три равные части и закрасим одну из них, и разделим второй такой же квадрат на 12 равных частей и закрасим четыре из них(как показано на рисунке), то у каждого из квадратов будет закрашенна часть одинаковой.

Если мы разделим первый квадрат на четыре равные части и закрасим три из них, и второй такой же квадрат разделим на 12 равных частей и закрасим десять из них (как показано на рисунке), то у обоих равных квадратов будет закрашенна одинаковая часть.

Ответ на задачку

Фото: 6535515.jpg (34.4 Kb) · 4730425.jpg (24.2 Kb) · 7756770.jpg (25.5 Kb) · 8787113.jpg (42.0 Kb)
 
 
БрошкаДата: Четверг, 25.12.2014, 15:05 | Сообщение # 189
Генерал-майор
Группа: Проверенные
Сообщений: 378
Награды: 0
Репутация: 0
Статус: Offline


 
Работай из дома! 18+
 
 


Задача № 941

Начертите в тетради отрезок длиной в 18 клеток. С помощью этого отрезка объясните, почему:
а) 2/9=4/18
б)5/6=15/18

Решение:
а)Начертите отрезок длинной 18 клеток. Возьмите карандаш зеленого света, разделите зелеными штрихами отрезок на 18 равных частей по одной клетке и закрасьте четыре клетки. Нарисуйте еще один отрезок длинной 18 клеток, возьмите крассный карандаш и разделите этот отрезок на 9 равных частей по две клетки и закрасте две части красным цветом.
Сравните часть первого отрезка закрашенного зеленым цветом, и часть второго отрезка закрашенного крассным, убедитесь что отрезки одинаковой длинны.

б) Начертите два отрезка по 18 клеток. Первый разделите на 6 равных частей по 3 клетки и закрасте 5 таких частей. Второй отрезок разделите на 18 частей по одной клетке, и закрасте 15 клеток. Убедитесь что закрашенные части у отрезков равны по длинне.

Ответ на задание



Задача № 942

Единичный отрезок равен 12 клеткам. Отметьте на координатном луче точки А(5/6) и B(10/12). Объясните результат.

Разделим отрезок на 6 равных частей (по 2 клетке), отмерим 5 таких частей и поставим точку А.
Разделим отрезок на 12 равных частей (по 1 клетке), отмерим 10 таких частей и поставим точку B.

Примечание: точки А и В совпадают!

Ответы на задание



Задача № 943

Отметьте на координатном луче точки, координаты которых равны:
а)1/5; 2/5; 3/5; 4/5;
б)1/8; 3/8; 5/8; 7/8;

Решение:
а) Пускай единичный отрезок будет 5 клеток. Разделим его на пять равных частей по одной клетке. Отмеряем на нем точки стоящие от начала на растоянии одной клетки, двух клетках, трех клеток, четырех клетках.

б) Пускай единичный отрезок будет 8 клеток. Разделим его на 8 равных частей по одной клетке. Отмеряем на нем точки стоящие от начала на растоянии одной клетки, трех клетках, пяти клеток, семи клетках.

Ответ на задачу



Задача № 944

Единичный отрезок равен длине 6 клеток тетради. Отметьте на координатном луче точки с координатами 1/2; 1/3; 1/6; 2/3. Какая из этих точек левее всех расположена на луче, а какая правее всех?

Правее всех 2/3, левее всех 1/6.

Ответ на задание



Задача № 945

Расставьте в порядке возрастания дроби:
7/11; 1/12; 5/12; 9/12; 11/12; 4/12;
Расставьте эти дроби в порядке убывания.

Решение:

В порядке возрастания:
1/12 < 4/12 < 5/12 < 7/11 < 9/12 < 11/12.

В порядке убывания:
11/12 > 9/12 > 7/11 > 5/12 > 4/12 > 1/12.

Ответ на задачку

Фото: 9910091.jpg (44.4 Kb) · 8153631.jpg (32.6 Kb) · 3661108.jpg (35.5 Kb) · 7312987.jpg (29.2 Kb) · 4235126.jpg (32.6 Kb)
 
 
БрошкаДата: Четверг, 25.12.2014, 15:09 | Сообщение # 190
Генерал-майор
Группа: Проверенные
Сообщений: 378
Награды: 0
Репутация: 0
Статус: Offline


 
Работай из дома! 18+
 
 


Задача № 946

Замените звездочку знаком < или > в записях:
а)3/10 * 7/10
б)5/8 * 1/8
в)9/16 * 13/16
г)5/7 * 3/7

Решение:

а)3/10 < 7/10
б)5/8 > 1/8
в)9/16 < 13/16
г)5/7 > 3/7

Ответ на задание



Задача № 947

Какая из дробей больше:
а)4/5 или 2/5
б)3/19 или 13/19
в)23/1000 или 21/1000
г)87/100 или 78/100

Решение:

а)4/5 > 2/5
б)3/19 < 13/19
в)23/1000 > 21/1000
г)87/100 > 78/100

Ответы на задание



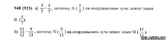
Задача № 948


Какая из точек лежит левее на координатном луче:
a)A(3/7) или B(5/7);
б)М(11/13) или N(9/13)

Примечание: левее лежит точка с меньшим значением.

Решение:

а)Точка А лежит левее.
б)Точка N лежит левее.

Ответ на задачу



Задача № 949

Вычислите устно:

a)27 + 33 = 60
60 * 5 = 300
300 + 180 = 480
480 : 80 = 6
6 * 15 = 90

б)15 * 10 = 150
150 + 50 = 200
200 : 40 = 5
5 * 70 = 350
350 : 50 = 7

в)17 + 28 = 45
45 * 2 = 90
90 - 15 = 75
75 : 25 = 3
3 * 90 = 270

г)10 * 18 = 180
180 +70 = 250
250 : 5 = 50
50 * 8 = 400
400 : 25 = 16

д)40 * 4 = 160
160 + 520 = 680
680 - 200 = 480
480 : 60 = 8
8 * 125 = 1000

Ответ на задание



Задача № 950

Прочитайте дроби:

Читаем: одна пятая, одна восьмая, десять одиннадцатых, двенадцать двадцать третьих, двадцать пятьдесят седьмых, одна шесдясять первая, одиннадцать сто двадцатых, сто двести семьдесят седьмых, пятнадцать пятьсот восемьдесят вторых.

Назовите числитель и знаменатель:

Числители дробей: один, один, десят, двенадцать, двадцать, один, одиннадцать, семьнадцать, сто одиннадцать, сто, пятьнадцать.

Знаменатели дробей: пять, восемь, одиннадцать, двадцать три, пятдесять семь, шесьдясят один, девяносто, сто, сто двадцать, двести семьдесят семь, пятьсот восемьдесят два.

Ответ на задачку

Фото: 8763649.jpg (24.5 Kb) · 4746510.jpg (25.5 Kb) · 2106915.jpg (30.7 Kb) · 4588695.jpg (30.9 Kb) · 7681896.jpg (54.8 Kb)
 
 
БрошкаДата: Четверг, 25.12.2014, 15:13 | Сообщение # 191
Генерал-майор
Группа: Проверенные
Сообщений: 378
Награды: 0
Репутация: 0
Статус: Offline


 
Работай из дома! 18+
 
 


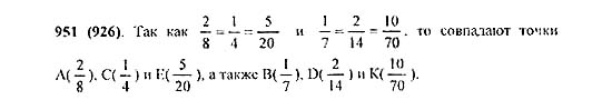
Задача № 951

На координатном луче отмечены следующие точки:

Есть ли среди них совпадающие?

Ответ: А и С и Е совпадают; В и D и K совпадают.

Ответ на задание



Задача № 952

Какую часть на рисунке 120 составляет:

а) треугольник АВО от четырехугольника АВСО
б) треугольник АВО от четырехугольника ABCD
в) четырехугольник АВСО от четырехугольника ABCD
г) четырехугольник АВСО от шестиугольника ABCDEK?

Решение:

а) треугольник АВО от четырехугольника АВСО составляет половину или 1/2 "одну вторую".
б) треугольник АВО от четырехугольника ABCD составляет 1/3 "одну третью".
в) четырехугольник АВСО от четырехугольника ABCD составляет 2/3 "две трети".
г) четырехугольник АВСО от шестиугольника ABCDEK составляет 2/6 или 1/3 "одну третью".

Ответы на задание



Задача № 953

Попробуйте найти самый короткий путь по поверхности куба от точки А к точке В (рис. 121). Сколько таких путей можно указать?

Решение:

Самый короткий путь отмечен на рисунке красной линией, таких путей можно указать 6.

Ответ на задачу



Задача № 954

Выполните деление с остатком:

а) 5 на 2; б) 100 на 30; в) 29 на 9; г) 100 на 11.

a) Делим 5 на 2, получаем 2 и в остатке 1.
б) Делим 100 на 30, получаем 3 и в остатке 10.
в) Делим 29 на 9, получаем 3 и в остатке 2.
г) Делим 100 на 11, получаем 9 и в остатке 1.

Ответ на задание



Задача № 955

Какую долю составляют:

а) сутки от года;
б) сутки от недели;
в) дециметр от метра;
г) 1 см3 от литра?

Решение:

а) сутки от года составляют 1/365 ("одну триста шестьдесят пятую").
б) сутки от недели составляют 1/7 ("одну седьмую").
в) дециметр от метра составляет 1/10 ("одну десятую").
г) 1 см3 от литра составляет 1/1000 ("одну тысячную").

Подумайте, почему 1 см3 называют еще и миллилитром (1 мл).

Ответ на задачку

Фото: 7357225.jpg (29.1 Kb) · 1973152.jpg (40.8 Kb) · 1315846.jpg (23.5 Kb) · 3203585.jpg (31.3 Kb) · 4163625.jpg (30.8 Kb)
 
 
БрошкаДата: Четверг, 25.12.2014, 15:16 | Сообщение # 192
Генерал-майор
Группа: Проверенные
Сообщений: 378
Награды: 0
Репутация: 0
Статус: Offline


 
Работай из дома! 18+
 
 


Задача № 956

Объем кувшина 5 л. В него налили А л воды. Какая часть объема кувшина занята водой? Дайте ответ при А - 1; 2; 3; 4.

Решение: водой занята А/5 часть кувшина.

Если А=1, то водой занята 1/5 ("одна пятая").
Если А=2, то водой занята 2/5 ("две пятых").
Если А=3, то водой занята 3/5 ("три пятых").
Если А=4, то водой занята 4/5 ("четыре пятых").

Ответ на задание



Задача № 957

Какую часть периметра квадрата составляет длина одной стороны? длина трех сторон?

Решение:

Так как у квадрата 4 стороны, то длина одной стороны составляет 1/4 ("одну четвертую") от периметра всего квадрата.

Длина трех сторон составляет 3/4 ("три четвертых") от периметра всего квадрата.

Ответы на задание



Задача № 958

Продолжительность урока 45 мин. На решение задачи ушло 7 мин. Какая часть урока ушла на решение задачи?

Решение: одна минута составляет 1/45 ("одну сорок пятую") урока.

Тогда на решение задачи ушло 7/45 ("семь сорок пятых") урока.

Ответ на задачу



Задача № 959

От доски длиной 9 м отпилили 4 м. Какую часть доски отпилили?

Решение:

Один метр составляет 1/9 (одну девятую) часть доски.
Тогда отпилили 4/9 (четыре девятых).

Ответ на задание



Задача № 960

Андрей гулял 2 ч. В хоккей он играл 4/5 этого времени. Сколько времени Андрей играл в хоккей?

Решение:

Два часа = 120 минут.

1/5 времени которые гулял Андрей = 120 минут : 5 = 24 минуты.
В хоккей Андрей играл 4/5 всего времни
24 минуты * 4 = 96 минут.

Ответ: 96 минут (1 час 36 минут).

Ответ на задачку

Фото: 1168437.jpg (27.4 Kb) · 5049164.jpg (33.4 Kb) · 9332494.jpg (26.1 Kb) · 8867875.jpg (25.4 Kb) · 5652433.jpg (27.5 Kb)
 
 
БрошкаДата: Четверг, 25.12.2014, 15:25 | Сообщение # 193
Генерал-майор
Группа: Проверенные
Сообщений: 378
Награды: 0
Репутация: 0
Статус: Offline


 
Работай из дома! 18+
 
 


Задача № 961

Около дома стояло 7 машин. Из них 2 были серыми, а остальные — синими. Какую часть всех машин составляли синие машины?

Решение:

Найдем сколько всего было синих машин:
7 - 2 = 5.

Одна машина составляет 1/7 (одна седьмая) всех машин.

Тогда синих машин было 5/7 (пять седьмых).

Ответ на задание



Задача № 962

В аквариум налили 6 л воды, заполнив 6/7 его объема. Сколько литров воды вмещает аквариум?

Решение:

Найдем 1/7 объема всего аквариум:
6л : 6 = 1л.

Тогда весь аквариум:
1л * 7 = 7 литров.

Ответы на задание



Задача № 963

Можно ли из прямоугольного листа фанеры длиной 6 дм и шириной 4 дм вырезать круг радиусом:
а) 3 дм; б) 2 дм; в) 1 дм?

Решение: из прямоугольного листа фанеры длиной 6 дм и шириной 4 дм можно вырезать круг с диаметром 4 дм или меньше, значит радиус может быть 2 дм или меньше.

а)нельзя.
б)можно.
в)можно.

Ответ на задачу



Задача № 964

Выполните действия:

1) 229 372 : 286 • 506;
2) 282 370 : 302 : 85;
3) 195 840 : (32 • 18);
4) 538 • (301 608 : 426).

Решение:

1) 229 372 : 286 • 506 = 802 • 506 = 405 812.
2) 282 370 : 302 : 85 = 935 : 85 = 11.
3) 195 840 : (32 • 18) = 195 840 : 576 = 340.
4) 538 • (301 608 : 426) = 538 • 708 = 380 904.

Ответ на задание



Задача № 965

Примите за единичный отрезок длину 10 клеток тетради и отметьте на координатном луче числа:

Мы уверениы вы справитесь!

Ответ на задачку

Фото: 4241230.jpg (26.2 Kb) · 0672763.jpg (25.4 Kb) · 7179604.jpg (39.9 Kb) · 3330417.jpg (31.0 Kb) · 7553057.jpg (3.5 Kb)
 
 
БрошкаДата: Четверг, 25.12.2014, 15:28 | Сообщение # 194
Генерал-майор
Группа: Проверенные
Сообщений: 378
Награды: 0
Репутация: 0
Статус: Offline


 
Работай из дома! 18+
 
 


Задача № 966

Поставьте вместо звездочек знаки < или > так, чтобы получилось верное неравенство:

Решение:

a)5/9 < 8/9
б)14/105 > 13/105
в)0 < 14/15
г)67 430 087 < 67 430 094

Ответ на задание



Задача № 967

Какую часть недели составляют:
а) пять суток;
б) шесть суток?

Решение:

Один день составляет 1/7 недели, поэтому:
а) пять суток составляют 5/7 недели.
б) шесть суток составляют 6/7 недели.

Ответы на задание



Задача № 968

Масса тыквы 2 кг 800 г. Найдите массу:
а)1/4 тыквы.
б)3/4 тыквы.
в)2/7 тыквы.
г)5/7 тыквы.

Решение:

Масса тыквы: 2кг 800г = 2 800г.
Найдем 1/4 массы тыквы: 2800г : 4 = 700г.
Тогда:
а)1/4 тыквы = 700г.
б)3/4 тыквы = 3 * 700г = 2100г (2кг 100г).

Найдем 1/7 массы тыквы: 2800г : 7 = 400г.
Тогда:
в)2/7 тыквы = 2 * 400г = 800г.
г)5/7 тыквы = 5 * 400г = 2000г (2кг).

Ответ на задачу



Задача № 969

Дом занимает 1/5 всего садового участка. Найдите площадь участка, если площадь земли под домом 40 м2.

Ответ на задание



Задача № 970

Два мотоциклиста едут навстречу друг другу. Скорость одного мотоциклиста 62 км/ч, а скорость другого 54 км/ч. Через сколько часов мотоциклисты встретятся, если сейчас между ними 348 км?

Ответ на задачку

Фото: 1488003.jpg (25.7 Kb) · 6546309.jpg (25.3 Kb) · 4824550.jpg (28.0 Kb) · 5331476.jpg (22.0 Kb) · 9391071.jpg (23.0 Kb)
 
 
БрошкаДата: Четверг, 25.12.2014, 15:33 | Сообщение # 195
Генерал-майор
Группа: Проверенные
Сообщений: 378
Награды: 0
Репутация: 0
Статус: Offline


 
Работай из дома! 18+
 
 


Задача № 971

Что тяжелее? 9 пачек печенья, или 4 пачки сухарей?

Ответ на задание



Задача № 972

В литровой банке помещается 910 г пшена или 780 г гороха. Какая масса меньше:

а) 3 банок пшена или 4 банок гороха;
б) 7 банок пшена или 8 банок гороха?

Ответы на задание



Задача № 973

От куска проволоки длиной а м в первый раз отрезали b м, а во второй раз — см. Какой смысл имеют следующие выражения:

a) b + с; б) а - (b + с); в) а - b; г) а - b - c

Какие из этих выражений принимают одинаковые значения при любых значениях букв a, b, c? Проверьте ваш ответ при а = 45, b = 7 и с = 12.

Ответ на задачу



Задача № 974

974. Длина отрезка АВ равна 8 см. Начертите отрезок, длина которого равна:

Ответ на задание



Задача № 975

Отметьте на луче точки с координатами: За единичный отрезок примите длину 12 клеток тетради

Ответ на задачку

$IMAGE5$




Продолжение решебника по Математике для 5-го класса

Фото: 3968228.jpg (24.1 Kb) · 5253934.jpg (23.8 Kb) · 4331693.jpg (43.7 Kb) · 9002399.jpg (31.0 Kb)
 
 
Поиск:

Работай из дома! 18+
 
 
 
 
 
 

 
Последние темы на форуме:
 
  • Новогодние праздники 2021-2022 официальные выходные
  • Показатели давления и сердцебиения у женщины 57 лет
  • Гороскоп на декабрь 2021 Женщина Телец
  • Гороскоп на январь 2022 от Павла Глоба
  • Гороскоп на декабрь 2021 от Павла Глоба
  • Гороскоп на ноябрь 2021 от Павла Глоба
  • Стенограмма судьбы - Содержание серий, актеры и роли сериала
  • Мосгаз. Западня - Содержание серий, актеры и роли 2021
  • Тобол - Содержание серий, актеры и роли сериала. 2021
  • Гороскоп для Тигра на сегодня от Павла Глоба
  • Утраченные воспоминания - Содержание серий, актеры и роли
  • Чёрно-белая любовь - Содержание серий, актеры и роли сериала
  • Забытая женщина - Содержание серий, актеры и роли сериала
  • Тайна спящей дамы - Содержание серий, актеры и роли сериала
  • Сериал Часы с кукушкой - Содержание серий, актеры и роли
  •  
     

     
    Обращаем ваше внимание на то, что данный интернет-сайт www.kinolog.do.am носит исключительно информационный характер и ни при каких условиях не является публичной офертой, определяемой положениями Статьи 437 (2) Гражданского кодекса РФ. Цена и наличие товара может отличаться от действительной. Пожалуйста, уточняйте цены и наличие товара у наших менеджеров.
    Администрация сайта не несет ответственности за действия и содержание размещаемой информации пользователей: комментарии, материалы, сообщения и темы на форуме, публикации, объявления и т.д.
    Правообладателям | Реклама | Учебники | Политика
    Отопление, водоснабжение, газоснабжение, канализация © 2003 - 2021
    Рейтинг@Mail.ru Рейтинг арматурных сайтов. ARMTORG.RU Яндекс.Метрика