[ Новые сообщения · Участники · Правила форума · Поиск · RSS ]
 
Работай из дома! 18+

ГДЗ по Математике. 5 класс
БрошкаДата: Четверг, 25.12.2014, 11:42 | Сообщение # 166
Генерал-майор
Группа: Проверенные
Сообщений: 378
Награды: 0
Репутация: 0
Статус: Offline


 
Работай из дома! 18+
 
 




Задача № 826

Высота комнаты 3 м, ширина 5 м и длина 6 м. Сколько кубических метров воздуха находится в комнате?

Ответ на задание



Задача № 827

Длина аквариума 80 см, ширина 45 см, а высота 55 см. Сколько литров воды надо влить в этот аквариум, чтобы уровень воды был ниже верхнего края аквариума на 10 см?

Ответы на задание



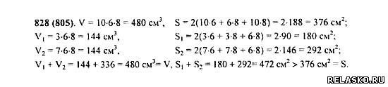
Задача № 828

Прямоугольный параллелепипед (рис. 88) разделен на две части Найдите объем и площадь поверхности всего параллелепипеда и обеих его частей. Равен ли объем параллелепипеда сумме объемов его частей? Можна ли это сказать о площадях их поверхностей? Объясните почему.

Ответ на задачу



Задача № 829

Вычислите устно:

Ответ на задание



Задача № 830

Восстановите цепочку вычислений:

Ответ на задачку

Фото: 9670435.jpg (20.0 Kb) · 8264236.jpg (22.0 Kb) · 8351507.jpg (30.6 Kb) · 2603999.jpg (23.5 Kb) · 8972062.jpg (28.3 Kb)
 
 
БрошкаДата: Четверг, 25.12.2014, 11:52 | Сообщение # 167
Генерал-майор
Группа: Проверенные
Сообщений: 378
Награды: 0
Репутация: 0
Статус: Offline


 
Работай из дома! 18+
 
 


Задача № 831

Найдите значение выражения:

а)23 + 32; б)33 + 52;

в) 43 + 6; г) 103 - 10.

Ответ на задание



Задача № 832

Сколько десятков получится в частном:

а) 1652 : 7;
в) 1632 : 12;
б) 774 : 6;
г) 2105 : 5?

Ответы на задание



Задача № 833

Согласны ли вы с утверждением:

а) любой куб является и прямоугольным параллелепипедом; б) если длина прямоугольного параллелепипеда не равна его высоте, то он не может быть кубом; в) каждая грань куба — квадрат?

Ответ на задачу



Задача № 834

Четыре одинаковые бочки вмещают 26 ведер воды. Сколько ведер воды могут вместить 10 таких бочек?

Ответ на задание



Задача № 835

Сколькими способами из 7 бусинок разных цветов можно составить ожерелье (с застежкой)?

Ответ на задачку

Фото: 4784118.jpg (20.3 Kb) · 6196514.jpg (20.4 Kb) · 7521049.jpg (17.0 Kb) · 9864678.jpg (19.9 Kb) · 9605775.jpg (15.6 Kb)
 
 
БрошкаДата: Четверг, 25.12.2014, 11:55 | Сообщение # 168
Генерал-майор
Группа: Проверенные
Сообщений: 378
Награды: 0
Репутация: 0
Статус: Offline


 
Работай из дома! 18+
 
 


Задача № 836

Назовите в прямоугольном параллелепипеде (рис. 89): а) две грани, имеющие общее ребро; б) верхнюю, заднюю, переднюю и нижнюю грани; в) вертикальные ребра.

Ответ на задание



Задача № 837

Решите задачу:

1) Найдите площадь каждого участка, если площадь первого участка в 5 раз больше площади второго, а площадь второго на 252 га меньше площади первого.
2) Найдите площадь каждого участка, если площадь второго участка на 324 га больше площади первого участка, а площадь первого участка в 7 раз меньше площади второго.

Ответы на задание



Задача № 838

Выполните действия:
1) 668 • (3076 + 5081);
2)783 • (66 161 - 65 752);
3) 2 111 022 : (5960 - 5646);
4) 2 045 639 : (6700 - 6279).

Ответ на задачу



Задача № 839

На Русы в старину использовались в качестве единиц измерения объема ведрб (около 12 л), штоф {десятая часть ведра). В США, Англии и других странах используются бйррель {около 159 л), галлбн (около 4 л), бушель {около 36 л), пинта (от 470 до 568 кубических сантиметров). Сравните эти единицы, какие из них больше 1 м3?

Ответ на задание



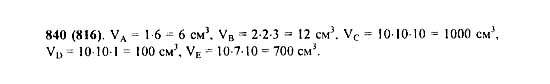
Задача № 840

Найдите объемы фигур, изображенных на рисунке 90. Объем каждого кубика равен 1 см3.

Ответ на задачку

Фото: 3904430.jpg (29.0 Kb) · 6148174.jpg (41.5 Kb) · 1087294.jpg (28.1 Kb) · 1485006.jpg (20.6 Kb) · 9304764.jpg (20.5 Kb)
 
 
БрошкаДата: Четверг, 25.12.2014, 11:58 | Сообщение # 169
Генерал-майор
Группа: Проверенные
Сообщений: 378
Награды: 0
Репутация: 0
Статус: Offline


 
Работай из дома! 18+
 
 


Задача № 841

Найдите объем прямоугольного параллелепипеда (рис. 91).

Ответ на задание



Задача № 842

Найдите объем прямоугольного параллелепипеда, если его измерения — 48 дм, 16 дм и 12 дм.

Ответы на задание



Задача № 843

Сарай, имеющий форму прямоугольного параллелепипеда, заполнен сеном. Длина сарая 10 м, ширина 6 м, высота 4 м. Найдите массу сена в сарае, если масса 10 м3 сена равна 6 ц.

Ответ на задачу



Задача № 844

Выразите в кубических дециметрах: 2 м3 350 дм3; 18 000 см3; 3 м3 7 дм3; 210 000 см3. 4 м3 30 дм3;

Ответ на задание



Задача № 845

Объем прямоугольного параллелепипеда 1248 см3. Его длина 13 см, а ширина 8 см. Найдите высоту этого параллелепипеда.

Ответ на задачку

Фото: 4719305.jpg (15.7 Kb) · 0563787.jpg (16.8 Kb) · 9479769.jpg (20.7 Kb) · 2650927.jpg (25.3 Kb) · 7801619.jpg (20.3 Kb)
 
 
БрошкаДата: Четверг, 25.12.2014, 12:02 | Сообщение # 170
Генерал-майор
Группа: Проверенные
Сообщений: 378
Награды: 0
Репутация: 0
Статус: Offline


 
Работай из дома! 18+
 
 


Задача № 846

С помощью формулы V = abc вычислите: а) V, если а = 3 дм, b = 4 дм, с = 5 дм; б) а, если V = 2184 см3, b = 12 см, с =13 см; в) b, если V = 9200 см3, а = 23 см, с = 25 см; г) аЬ если V = 1088 дм3, с = 17 см. Каков смысл произведения ab?

Ответ на задание



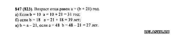
Задача № 847

Отец старше сына на 21 год. Запишите формулу, выражающую а — возраст отца — через b — возраст сына. Найдите по этой формуле: а) а, если b = 10; б) а, если b = 18; в) b, если а = 48.

Ответы на задание



Задача № 848

Найдите значение выражения: а) 700 700 - 6054 • (47 923 - 47 884) - 65 548; б) 66 509 + 141 400 : (39 839 - 39 739) + 1985; в) (851 + 2331) : 74 - 34; г) (14 084 : 28 - 23) -27-12 060; д) (102 + II2 + 122) : 73 + 895; е) 2555 : (132 + 142) + 35.

Ответ на задачу



Задача № 849

Подсчитайте по таблице (рис. 92): а) сколько раз встречается цифра 9; б) сколько раз всего в таблице встречаются цифры 6 и 7 (не считая их по отдельности); в) сколько раз всего встречаются цифры 5, б и 8 (не считая их по отдельности).

Ответ на задание

$IMAGE4$

Задача № 850

Какие из точек, отмеченных на рисунке 97:
а) лежат на окружности;
б) лежат внутри круга;
в) не лежат на окружности;
г) лежат вне круга?

Ответ:

а) точки B,D - лежат на окружности.
б) точки A,O,E - лежат внутри круга.
в) точки A,O,E,C,F - не лежат на окружности.
г) точки C,F - лежат вне круга.

Ответ на задачку

Фото: 6702128.jpg (38.8 Kb) · 7005239.jpg (24.2 Kb) · 5415348.jpg (47.2 Kb) · 3437108.jpg (29.4 Kb)
 
 
БрошкаДата: Четверг, 25.12.2014, 12:39 | Сообщение # 171
Генерал-майор
Группа: Проверенные
Сообщений: 378
Награды: 0
Репутация: 0
Статус: Offline


 
Работай из дома! 18+
 
 


Задача № 851

Отметьте в тетради точку O. Постройте окружность с центром в этой точке. Измерьте радиус окружности. Чему равен ее диаметр?

Ответ на задание

$IMAGE1$

Задача № 852

Начертите окружность и отметьте на ней три точки A,B,C. Назовите дуги, на которые эти точки делять окружность.

Ответ: Дуги AB, BC, CA.

Ответы на задание



Задача № 853

Изобразите круг, радиус которого 3 см. Отметьте точку А внутри круга и точку B вне круга. Измерьте растояние от центра круга до точки А и до точки В. Сравните эти растояния с радиусом круга. Соедините точки А и В отрезком. Пересекается ли он с окружность.

Ответ:
Растояние от центра окружности до точки А меньше радиуса.
Растояние от центра окружности до точки В больше радиуса.
Отрезок AB пересекается с окружность (в одной точке).

Ответ на задачу



Задача № 854

Начертите окружность с центро в точке О и радиусом 3 см 5 мм. Проведите прямую, которая пересекает окружность в точках М и К. На каком расстоянии от центра окружности находятся эти точки?

Ответ: Эти точки находяться от центра на расстоянии 3 см 5 мм (на расстоянии равном радиусу).

Ответ на задание



Задача № 855

Начертите отрезок CD, равный 5 см. Проведите окружность с центром С и радиусом 3 см, а также другую окружность с центром D и радиусом 4см. Обозначьте точки пересечения окружностей буквами А и В. Чему равны длины отрезков АС, СВ, DA и BD?

Ответ: длина отрезка АС = 3 см, длина отрезка СВ = 3 см, длина отрезка DA = 4 см и длина отрезка BD = 4 см.

Ответ на задачку

Фото: 4538905.jpg (24.2 Kb) · 6455770.jpg (48.8 Kb) · 1343648.jpg (28.9 Kb) · 0145227.jpg (34.2 Kb)
 
 
БрошкаДата: Четверг, 25.12.2014, 12:44 | Сообщение # 172
Генерал-майор
Группа: Проверенные
Сообщений: 378
Награды: 0
Репутация: 0
Статус: Offline


 
Работай из дома! 18+
 
 


Задача № 856

Начертите отрезок MP, равный 6 см. Найдите две точки А и В, которые находились бы на расстоянии 4 см от точки М и 5 см от точки P.

Подсказка: Начертите окружность с центром в точке M и радиусом 4 см. Начертите окружность с центром в точке P и радиусом 5 см. Эти две окружности пересекаются в двух точках - это и есть точки А и В

Ответ на задание



Задача № 857

Автомобиль приближается к городу, по улицам которого разрешается ехать со скоростью не более чем 60 км/ч. В кабине автомобиля установлен спидометр - прибор, показывающий скорость движения. Посмотрите на спидометр (рис. 98). Нарушит ли шофёр правила уличного движения, если не снизит скорость? На сколько и в какую сторону передвинется стрелка, когда скорость снизиться до 50 км/ч? Каким будет показание спидометра, когда автомобиль остановиться?

Ответы на задание



Задача № 858

На рисунке 99 изображена шкала прибора, показывающего, сколько литров бензина осталось в баке автомобиля. Сколько литров бензина сейчас в баке? На сполько делений и в какую сторону передвинеться стрелка прибора, если
а) в бензобак нальют еще 20 литров бензина.
б) при движении будет израсходавано 30 л бензина?

Ответ на задачу



Задача № 859

Какое время показываются часы на рисунке 96? Какое время будут показывать часы, если минутную стрелку прередвинуть:
а) назад на 3 больших деления;
б) вперед на 20 малых делений?

Ответ на задание



Задача № 860

Вычислите устно:

Ответы:
а) 90 (60*6=360 | 360-120=240 | 240:80=3 | 3*30=90)
б) 4 (200:50=4 | 4*25=100 | 100+140=240 | 240:60=4)
в) 700 (125*2=250 | 250:10=25 | 25*40=1000 | 1000-300=700)
г) 7 (490:70=7 | 7*20=140 | 140+210=350 | 350:50=7) (в учебнике опечатка)
д) 840 (40*10=400 | 400:50=8 | 8*125=1000 | 1000-160=840)

Ответ на задачку

Фото: 5203642.jpg (53.0 Kb) · 5610807.jpg (14.4 Kb) · 7898047.jpg (14.4 Kb) · 2568398.jpg (17.4 Kb) · 0459638.jpg (29.5 Kb)
 
 
БрошкаДата: Четверг, 25.12.2014, 12:48 | Сообщение # 173
Генерал-майор
Группа: Проверенные
Сообщений: 378
Награды: 0
Репутация: 0
Статус: Offline


 
Работай из дома! 18+
 
 


Задача № 861

Миллион уменшили в 100 раз и результат уменшили на тысячу. Сколько получили?

Ответ на задание



Задача № 862

Укажите координаты точек А, B, С и D, если М(10) (рис. 100). Сравните координаты точек В и С; С и D.

Ответы на задание



Задача № 863

Сколько сантиметров:
а) в четверти метра;
б) в десятой доле дециметра;
в) в десятой доле метра;
г) в двадцать пятой доле метра?

Ответ на задачу



Задача № 864

Сколько килограммов:
а) в десятой доле центнера;
б) в сотой доле тонны;
в) в двадцатой доле центнера;
г) в двадцатой доле тонны?

Ответ на задание



Задача № 865

Представьте себе, что один куб с ребром 1 дм разрезали на кубики с ребром 1 см и из этих маленьких кубиков сложили башню, поставив их один на другой. Второй куб с ребром 1 дм разрезали на кубики с ребром 1 мм и из этих кубиков так же сложили башню. Какая из этих башен выше? Во сколько раз?

Примечание: 1 дм = 10 см, 1 см = 10 мм.

Решение:

Первый куб разрезали на 1000 кубиков (высота 10 кубиков по 1 см, ширина 10 кубиков, длинна 10 кубиков, 10*10*10=1000)

Второй разрезали на 1 000 000 кубиков (высота 100 кубиков, ширина 100 кубиков, длинна 100 кубиков, 100*100*100=1 000 000)

Далее из кубиков составили 2 башни.

Первая башня высотой в 1000 кубиков, где каждый кубик высотой в 1 см(или 10 мм). Итого высота первой башник 1 000 см или 10 000 мм.

Высота второй башни 1 000 000 кубиков, где каждый из кубиков высотой 1 мм. Итого высота второй башни 1 000 000 мм.

Вторая баншя выше. 1 000 000мм : 10 000мм = 100 - вторая башня выше в 100 раз.

Ответ на задачку

Фото: 0910462.jpg (22.0 Kb) · 1387473.jpg (8.9 Kb) · 3954235.jpg (26.7 Kb) · 8256003.jpg (26.6 Kb) · 8637074.jpg (39.4 Kb)
 
 
БрошкаДата: Четверг, 25.12.2014, 12:55 | Сообщение # 174
Генерал-майор
Группа: Проверенные
Сообщений: 378
Награды: 0
Репутация: 0
Статус: Offline


 
Работай из дома! 18+
 
 


Задача № 866

Проверьте, справедливы ли равенства:
13 + 23 = (1 + 2)2;
13 + 23 + З3 + 43 = (1 + 2 + 3 + 4)2;
13 + 23 + З3 = (1 + 2 + З)2;

Проверяем:

13 + 23 = (1 + 2)2
1 + 8 = (3)2
9 = 9
Верно!

13 + 23 + З3 + 43 = (1 + 2 + 3 + 4)2
1 + 8 + 27 + 64 = (10)2
100 = 100
Верно!

13 + 23 + З3 = (1 + 2 + З)2
1 + 8 + 27 = (6)2
36 = 36
Верно!

Попробуйте рассказать, какова в этих равенствах зависимость между квадратами и кубами чисел. Проверьте, выполняется ли это свойство для пяти, шести чисел.

Рассказываем: сумма кубов чисел равна квадрату суммы чисел.

Проверяем для пяти и шести чисел:

13 + 23 + З3 + 43 + 53 = (1 + 2 + 3 + 4 + 5)2
1 + 8 + 27 + 64 + 125 = (15)2
225 = 225
Верно!

13 + 23 + З3 + 43 + 53 + 63 = (1 + 2 + 3 + 4 + 5 + 6)2
1 + 8 + 27 + 64 + 125 + 216 = (15)2
441 = 441
Верно!

Ответ на задание



Задача № 867

Найдите объем и площадь наружной поверхности бака без крышки, изображенного на рисунке 101. Сколько понадобится краски, чтобы покрасить этот бак снаружи и изнутри, если на покраску 1 дм2 нужно 2 г краски? Сколько литров бензина можно влить в этот бак?

Примечание: 1 дм = 10 см. 1 дм3 = 1 литр. Объем обозначается - V.

Решение:

Находим объем: V = 90 см * 80 см * 70 см = 9 дм * 8 дм * 7 дм = 504 дм3 = 504 литров.

Найдем площад:
Нижняя часть 9дм * 7дм = 63дм2
Передняя стенка 9дм * 8дм = 72дм2
Задняя стенка 9дм * 8дм = 72дм2
Левая стенка 7дм * 8дм = 56дм2
Певая стенка 7дм * 8дм = 56дм2
Площадь верхней стенки не считаем, по условию задачи.

Общая площад: 63дм2 + 72дм2 + 72дм2 56дм2 + 56дм2 = 319дм2

Сколько понадобится краски чтобы покрасить снаружи: 319*2 = 638 г.
Сколько понадобится краски чтобы покрасить изнутри: 319*2 = 638 г.
Всего потребуется: 638г + 638г = 1276г.

Ответы на задание



Задача № 868

Сторона одного куба 9 см, а другого 5 см. На сколько объем первого куба больше объема второго? На сколько площадь поверхности первого куба больше площади поверхности второго?

Решение:

Объем первого куба: 9 см * 9 см * 9 см = 729 см3
Объем второго куба: 5 см * 5 см * 5 см = 125 см3

Объем первого куба больше объема второго на: 729 см3 - 125 см3 = 604 см3

Площадь поверхности первого куба: 6 * 9 см * 9 см = 486 см2
Площадь поверхности второго куба: 6 * 5 см * 5 см = 150 см2

Площадь поверхности первого куба больше площади поверхности второго на: 486 см2 - 150 см2 = 336 см2

Ответ на задачу



Задача № 869

Найдите площадь фигуры, изображенной на рисунке 102. Площадь одной клетки 25 мм2.

Решение: закрашенных клеток - 17, тогда площадь изображенной фигуры 17*25 мм2 = 425 мм2

Ответ на задание



Задача № 870

На одной чашке весов стоит банка с вареньем, а на другой — гиря в 1 кг. Весы находятся в равновесии. Сколько граммов варенья находится в банке, если пустая банка легче варенья в 4 раза?

Решение:

Банка с вареньем весит 1 кг или 1000грамм.

Пускай пустая банка варенья весит Х, тогда варенье в банке весит 4*Х(так как в четыре раза тяжелее).
Тогда банка с вареньем весит X+4*X=5*X. С другой стороны она весит 1000г.
Тогда:
5*Х = 1000г
Х = 1000г : 5
Х = 200 грамм.

Пустая банка весит 200 грамм, а полная 1000 грамм. Значит варенье весит 1000 - 200 = 800грамм.

Ответ на задачку

Фото: 2416136.jpg (43.8 Kb) · 6441497.jpg (37.8 Kb) · 4604785.jpg (31.6 Kb) · 2763121.jpg (26.4 Kb) · 0657769.jpg (34.5 Kb)
 
 
БрошкаДата: Четверг, 25.12.2014, 13:00 | Сообщение # 175
Генерал-майор
Группа: Проверенные
Сообщений: 378
Награды: 0
Репутация: 0
Статус: Offline


 
Работай из дома! 18+
 
 


Задача № 871

Решите задачу:
1) На крыше дома сидели голуби. Когда на крышу сели еще 15 голубей, а с нее улетели 18 голубей, то на крыше стало 16 голубей. Сколько голубей сидело на крыше первоначально?
2) Когда от товарного состава отцепили 6 вагонов, а прицепили к нему 19 вагонов, в нем стало 50 вагонов. Сколько вагонов было в составе первоначально?

Решение первой задачи:

Пускай на крыше сидело Х голубей. Когда на крышу прилетело еще 15 голубей на ней сидело Х+15 голубей, когда с крыши улетели 18 голубей - на крыше осталось X+15-18 голубей, а осталось там 16 голубей по условию задачи, значит:

X + 15 - 18 = 16
X - 3 = 16
X = 16 + 3
X = 19 голубей.

Решение второй задачи:

Пускай первоночально было Y вагонов. Когда от товарного состава отцепили 6 вагонов осталось Y-6 вагонов. Когда прицепили к составу 19 вагонов получилось Y-6+19 вагонов и оказалось что это 50 вагонов:
Y - 6 + 19 = 50
Y + 19 - 6 = 50
Y + 13 = 50
Y = 50 - 13
Y = 37 вагонов.

Ответ на задание



Задача № 872

Выполните действия:
1) (1 445 561 : 3587 - 208) • 356 - 3580;
2) (1 420 288 : 4672 + 259) • 234 - 1742.

Решение первой задачи:

(1 445 561 : 3587 - 208) • 356 - 3580 =
= (403 - 208) • 356 - 3580 =
= 195 • 356 - 3580 =
= 69 420 - 3580 =
= 65 840.

Возможно в учебнико опечатка, тогда

(1 445 561 : 3587 - 208) • 356 + 3580 =
= (403 - 208) • 356 + 3580 =
= 195 • 356 + 3580 =
= 69 420 + 3580 =
= 73 000.

Решение второй задачи:
(1 420 288 : 4672 + 259) • 234 - 1742 =
= (304 + 259) • 234 - 1742 =
= 563 • 234 - 1742 =
= 131 742 - 1742 = 130 000

Ответы на задание



Задача № 873

В старину часто пользовались солнечными часами, они известны более 3000 лет. В солнечных часах время определяется по положению тени от наклонного стержня на циферблате (циферблат и стержень располагали так, чтобы в полдень тень от стержня была направлена на отметку 12 ч). Подумайте, что общего у солнечных часов (рис. 103) с современными, в чем их достоинства и недостатки.

Ответ:
Современные часы показывают время точнее! Зато солнечные часы работают без батареек и электричества и их не нужно "подзаряжат". Другие достоинства и недостатки придумайте самостоятельно!

Ответ на задачу



Задача № 874

Начертите круг с центром А и радиусом 2 см. Отметьте две точки:
а) лежащие на окружности;
б) лежащие внутри круга;
в) лежащие вне круга.

Тут нет решения, мы уверены что вы справитесь сами!

Ответ на задание

$IMAGE4$

Задача № 875

Отметьте две точки А и В так, чтобы АВ = 3 см. С помощью циркуля постройте еще три точки С, D и Е, которые находились бы от точки А на расстоянии 3 см.

Опять нету ответа, мы снова уверены что вы справитесь сами!

Ответ на задачку

Фото: 9200071.jpg (36.1 Kb) · 7355205.jpg (32.6 Kb) · 5934695.jpg (11.7 Kb) · 5270992.jpg (24.6 Kb)
 
 
БрошкаДата: Четверг, 25.12.2014, 13:04 | Сообщение # 176
Генерал-майор
Группа: Проверенные
Сообщений: 378
Награды: 0
Репутация: 0
Статус: Offline


 
Работай из дома! 18+
 
 


Задача № 876

Отметьте две точки К и Р так, чтобы КР = 6 см. Постройте окружность с центром К и радиусом 5 см и окружность с центром Р и радиусом 4 см. Пересекаются ли эти окружности?

Решение: Так как КР = 6 см. А сумма радиусов 4 + 5 = 9 см. Так как 6 меньше 9 то окружности пересекаются в двух точках.

Ответ на задание



Задача № 877

Отметьте точки О и Е так, чтобы ОЕ = 8 см. Постройте окружность с центром О и радиусом 2 см и окружность с центром Е и радиусом 4 см. Пересекаются ли эти окружности?

Решение: эти окружности не пересекуться, так как 2+4 меньше 8.

Ответы на задание



Задача № 878

Решите уравнение:
а) (х - 152) • 59 = 6018;
б) 975 • (у - 361) = 14 625;
в) (30 142 + z) : 876 = 49;
г) 51 815 : (р - 975) = 1205;
д) 13ч + 15ч - 24 = 60;
е) 18у - 7у - 10 = 12.

Решение:

а) (х - 152) • 59 = 6018 (разделим обе части на 59)
(х - 152) • 59 : 59 = 6018 :59
(х - 152) = 6018 :59
х - 152 = 102
х = 102 + 152
х = 254

б) 975 • (у - 361) = 14 625
(у - 361) = 14 625 : 975
у - 361 = 15
у = 15 + 361
у = 376

в) (30 142 + z) : 876 = 49
(30 142 + z) = 49 • 876
30 142 + z = 42 924
z = 42 924 - 30 142
z = 12 782

г) 51 815 : (р - 975) = 1205
51 815 : 1205 = (р - 975)
43 = р - 975
43 + 975 = р
1018 = р
р = 1018

д) 13x + 15x - 24 = 60
28x - 24 = 60
28x = 60 + 24
28x = 84
x = 84 : 28
x = 3

е) 18у - 7у - 10 = 12
11у - 10 = 12
11у = 12 + 10
11у = 22
у = 22 : 11
у = 2

Ответ на задачу



Задача № 879

Выполните деление с остатком числа 987 654 на 391.

Если 987 654 разделить на 391 получим 2525 и отстаток 379.

Ответ на задание



Задача № 880

Найдите объем фигуры, изображенной на рисунке 104. Объем каждого кубика 1 см3.

а) 2см * 2см * 5см = 20 см3

б) 10см * 10см * 10см = 1000 см3
(хотя согласно рисунку 10см * 10см * 8см = 800 см3)

в) 10см * 10см * 5см = 500 см3

Ответ на задачку

Фото: 7626202.jpg (35.2 Kb) · 2882561.jpg (36.1 Kb) · 9893899.jpg (45.7 Kb) · 4994603.jpg (21.0 Kb) · 5945681.jpg (25.7 Kb)
 
 
БрошкаДата: Четверг, 25.12.2014, 13:08 | Сообщение # 177
Генерал-майор
Группа: Проверенные
Сообщений: 378
Награды: 0
Репутация: 0
Статус: Offline


 
Работай из дома! 18+
 
 


Задача № 881

Масса 1 л бензина 650 г. В бензобак автомобиля входит 95 л бензина. Какова масса бензина в полном баке этой автомашины?

Решение:

650г * 95 = 61 750 грамм или 61 килограмм 750 грамм

Ответ на задание



Задача № 882

По формуле а = bq + r найдите число а, если делитель b равен 81, неполное частное q равно 561 и остаток r равен 23.

Решение:

a = 81 * 561 + 23 = 45 441 + 23 = 45 464

Ответы на задание



Задача № 883

Найдите значение выражения:
а) 507 • 664 - 296 085;
б) 485 979 4- 691 • 308;
в) 123 + 53 • 4;
г) (103 + 83) : 18.

Решение:

а) 507 • 664 - 296 085 = 336 648 - 296 085 = 40 563
б) 485 979 + 691 • 308 = 485 979 + 212 828 = 698 807
в) 123 + 53 • 4 = 1 728 + 125 • 4 = 1 728 + 500 = 2228
г) (103 + 83) : 18 = (1000 + 512) : 18 = 1512 : 18 = 84

Ответ на задачу



Задача № 884

Какая часть фигуры закрашена (рис. 109)?

Решение:
а) одна седьмая часть.
б) одна третья часть
в) одна четвертая чать.
г) одна вторая часть.
д) две пятых части.
е) две пятых части.
ж) две третьих части.
з) пять шестых частей.
и) четыре десятых частей.
к) пять пятых частей.
л) одна вторая часть.
м) три пятых части.
н) семь восьмых частей.
о) восемь частей из ста.

Ответ на задание



Задача № 885

Начертите в тетради квадрат со стороной в 6 клеток. Разделите его на три доли. Начертите отдельно треть квадрата.

Тут нет ответа, но мы точно знаем - вы справитесь сами! Мы в вас верим!

Ответ на задачку

Фото: 7156325.jpg (25.1 Kb) · 8720511.jpg (23.9 Kb) · 8272939.jpg (33.7 Kb) · 4318375.jpg (41.6 Kb) · 3473006.jpg (29.7 Kb)
 
 
БрошкаДата: Четверг, 25.12.2014, 13:12 | Сообщение # 178
Генерал-майор
Группа: Проверенные
Сообщений: 378
Награды: 0
Репутация: 0
Статус: Offline


 
Работай из дома! 18+
 
 


Задача № 886

Разделите тремя способами квадрат со стороной 4 см на 4 доли. Начертите четверть квадрата, половину квадрата.

Опять тут нету ответа. Не отчаивайтесь! У вас обязательно получиться!

Ответ на задание

$IMAGE1$

Задача № 887

Как называется:
а) одна сотая доля метра;
б) одна тысячная доля тонны;
в) одна двадцать четвертая доля суток;
г) одна шестидесятая доля часа;
д) одна миллионная доля квадратного метра;
е) одна миллионная доля кубического метра?

Решение:

а) одна сотая доля метра = один сантиметр.
б) одна тысячная доля тонны = один килограмм.
в) одна двадцать четвертая доля суток = один час.
г) одна шестидесятая доля часа = одна минута.
д) одна миллионная доля квадратного метра = один миллиметр квадратный.
е) одна миллионная доля кубического метра = один сантиметр кубический.

Ответы на задание



Задача № 888

Читаем: одна седьмая отрезка, одна сотая килограмма, одна двенадцатая суток, одна третья дороги (треть дороги), одна четвертая дыни (четверть дыни), одна вторая яблока (половина яблока).

Ответ на задачу



Задача № 889

Купили кусок ткани длиной 2 м 50 см и из 1/5 куска сшили платье для куклы. Сколько сантиметров ткани ушло на это платье?

Решение:

Длина куска ткани 2 м 50 см или 250 см.

Для платья взяли одну пятую часть, значит разделим 250 см на 5, получаем:

250 см : 5 = 50 см

Ответ: 50 см.

Ответ на задание



Задача № 890

От дыни массой 2 кг 400 г Ване отрезали 1/5 дыни, а Маше — 1/6 дыни. Чему равна масса каждого отрезанного куска? Сколько граммов дыни осталось?

Решение:

Масса дыни 2кг 400г или 2400грамм.

Ваня получил
2400г : 5 = 480г.

Маша получила
2400г : 6 = 400г.

Осталось дыни
2400г - 480г - 400г = 1520г.

Ответ на задачку

Фото: 1963810.jpg (29.1 Kb) · 0104290.jpg (31.8 Kb) · 1801093.jpg (22.3 Kb) · 3447766.jpg (28.9 Kb)
 
 
БрошкаДата: Четверг, 25.12.2014, 13:15 | Сообщение # 179
Генерал-майор
Группа: Проверенные
Сообщений: 378
Награды: 0
Репутация: 0
Статус: Offline


 
Работай из дома! 18+
 
 


Задача № 891

Петя готовил уроки 1 ч 40 мин. На математику он потратил 1/5 этого времени, а на историю 1/4 — оставшегося времени. Сколько минут Петя готовил уроки по математике и сколько по истории?

Решение:

Петя готовил уроки 1 ч 40 мин или 100 минут (в одном часе 60 минут).

На математику он потрати
100 минут : 5 = 20 минуты.

Тогда на остальные уроки у него осталось
100 минут - 20 минут = 80 минут.

На историю Петр потратил 1/4 — оставшегося времени
80 минут : 4 = 20 минут.

Ответ: Петя готовил уроки по математике 20 минут, по истории тоже 20 минут.

Ответ на задание



Задача № 892

Начертите квадрат со стороной 6 клеток. Разделите его на 3 доли и закрасьте 2/3 квадрата. Какая часть квадрата осталась незакрашенной?

Решение:

Мы разделили квадрат на три части, две части закрасили, не закрашенной осталась одна часть.

Ответ: одна третья часть осталась не закрашенной.

Ответы на задание



Задача № 893

Начертите отрезок длиной 8 см. Отметьте цветным карандашом 5/8 отрезка. Какая часть отрезка осталась неотмеченной?

Решение:

Начертите отрезок длиной 8 см. Разделите его на 8 равных частей по 1 см. Отметьте цветным карандашом 5 частей отрезка. Неотмеченными остались 3 части по одному сантиметру.

Ответ: Неотмеченной осталась часть отрезка равная 3 см, что составляет три восмых от отрезка (3/8).

Ответ на задачу



Задача № 894

Прочитайте дроби:

Читаем: две седьмых, три четвертых, девять десятых, шесть двенадцатых, три тысячных, пять двести сорок седмых, семь девяносто тысячных.

Назовите числитель и знаменатель каждой дроби:
числитель - два, знаменатель семь;
числитель - три, знаменатель четыре;
числитель - девять, знаменатель десять;
числитель - шесть, знаменатель двенадцать;
числитель - три, знаменатель тысяча;
числитель - пять, знаменатель 247;
числитель - семь, знаменатель девяносто тысяч;

Ответ на задание



Задача № 895

Запишите в виде обыкновенной дроби:
а) три шестых;
б) одна треть;
в) половина;
г) три четверти;
д) семь десятых;
е) одиннадцать сотых;
ж) одиннадцать сорок восьмых.

Решение:

а) три шестых = 3/6
б) одна треть = 1/3
в) половина = 1/2
г) три четверти = 3/4
д) семь десятых = 7/10
е) одиннадцать сотых = 11/100
ж) одиннадцать сорок восьмых = 11/48

Примечание: дробь записанна в виде "числитель/знаменатель".

Ответ на задачку

Фото: 1751551.jpg (24.9 Kb) · 6807011.jpg (29.7 Kb) · 4774986.jpg (26.3 Kb) · 6324580.jpg (33.8 Kb) · 5173603.jpg (24.4 Kb)
 
 
БрошкаДата: Четверг, 25.12.2014, 13:19 | Сообщение # 180
Генерал-майор
Группа: Проверенные
Сообщений: 378
Награды: 0
Репутация: 0
Статус: Offline


 
Работай из дома! 18+
 
 


Задача № 896

Дорога от Фабричного до Ильинского равна 8 км (рис. 110). Лена прошла по этой дороге 3 км. Какую часть дороги она прошла?

Ответ на задание



Задача № 897

В январе 31 день, а в году 365 дней. Какую часть года составляет январь? апрель? февраль?

Решение:

Январь составляет от года 31/365 или "тридцать одну триста шесдесять пятых".
Апрель составляет от года 30/365 или "тридцать триста шесдесять пятых".
Февраль составляет от года 28/365 или "двадцать восемь триста шесдесять пятых".

Ответы на задание



Задача № 898

В январе 1995 года с 1 января по 10 января были зимние каникулы. 15, 22 и 29 января были воскресными днями, а остальные — учебными. Какую часть января составили свободные от учебы дни? Какую часть составили учебные дни?

Решение:

В январе 31 день.

Перечислим свободные от учебы дни: 1,2,3,4,5,6,7,8,9,10, 15,22,29. Итого свободных от учебы дней было 13.
От всего января свободные дник составили 13/31 (тринадцать тридцать первых).

Учебных дней было 31-13 = 18 дней.
Учебные дни от января составили 18/31 (восемнадцать тридцать первых).

Ответ на задачу



Задача № 899

Площадь поля 16 км2. Пшеницей засеяли 11 км2, рожью — 5 км2. Какая часть поля засеяна пшеницей и какая рожью?

Ответ: Пшеницей засеяли 11/16 (одиннадцать шестнадцатых) поля. Рожью засеяли 5/16 (пять шестнадцатых) поля.

Ответ на задание



Задача № 900

Дорога от Фабричного до Отдыха составляет 3/4 дороги от Фабричного до Ильинского. Чему равно расстояние от Фабричного до Отдыха, если от Фабричного до Ильинского 8 км?

Решение:

Разделим всю дорогу на 4 доли (рис. 111). Тогда длина одной доли дороги равна 8 : 4, то есть 2 км. А длина дороги, то есть трех таких долей, равна 2 • 3, то есть 6 км. Значит, от Фабричного до Отдыха 6 км.

Ответ на задачку





Продолжение решебника по Математике для 5-го класса

Фото: 3359005.jpg (13.5 Kb) · 8489410.jpg (33.6 Kb) · 6486815.jpg (34.6 Kb) · 1520148.jpg (26.6 Kb) · 7762663.jpg (12.4 Kb)
 
 
Поиск:

Работай из дома! 18+
 
 
 
 
 
 

 
Последние темы на форуме:
 
  • Новогодние праздники 2021-2022 официальные выходные
  • Показатели давления и сердцебиения у женщины 57 лет
  • Гороскоп на декабрь 2021 Женщина Телец
  • Гороскоп на январь 2022 от Павла Глоба
  • Гороскоп на декабрь 2021 от Павла Глоба
  • Гороскоп на ноябрь 2021 от Павла Глоба
  • Стенограмма судьбы - Содержание серий, актеры и роли сериала
  • Мосгаз. Западня - Содержание серий, актеры и роли 2021
  • Тобол - Содержание серий, актеры и роли сериала. 2021
  • Гороскоп для Тигра на сегодня от Павла Глоба
  • Утраченные воспоминания - Содержание серий, актеры и роли
  • Чёрно-белая любовь - Содержание серий, актеры и роли сериала
  • Забытая женщина - Содержание серий, актеры и роли сериала
  • Тайна спящей дамы - Содержание серий, актеры и роли сериала
  • Сериал Часы с кукушкой - Содержание серий, актеры и роли
  •  
     

     
    Обращаем ваше внимание на то, что данный интернет-сайт www.kinolog.do.am носит исключительно информационный характер и ни при каких условиях не является публичной офертой, определяемой положениями Статьи 437 (2) Гражданского кодекса РФ. Цена и наличие товара может отличаться от действительной. Пожалуйста, уточняйте цены и наличие товара у наших менеджеров.
    Администрация сайта не несет ответственности за действия и содержание размещаемой информации пользователей: комментарии, материалы, сообщения и темы на форуме, публикации, объявления и т.д.
    Правообладателям | Реклама | Учебники | Политика
    Отопление, водоснабжение, газоснабжение, канализация © 2003 - 2021
    Рейтинг@Mail.ru Рейтинг арматурных сайтов. ARMTORG.RU Яндекс.Метрика