[ Новые сообщения · Участники · Правила форума · Поиск · RSS ]
 
Работай из дома! 18+

ГДЗ по Математике. 5 класс
БрошкаДата: Четверг, 25.12.2014, 10:35 | Сообщение # 151
Генерал-майор
Группа: Проверенные
Сообщений: 378
Награды: 0
Репутация: 0
Статус: Offline


 
Работай из дома! 18+
 
 




Задача № 751

Площадь грядки на огороде 48 м2. Найдите длину грядки, если ее ширина 4 м.

Ответ на задание



Задача № 752

Длина садового участка 86 м, а его площадь равна 3354 м2. Найдите ширину этого участка.

Ответы на задание



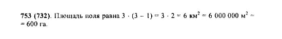
Задача № 753

Найдите площадь прямоугольного поля, если его длина 3 км, а ширина на 1 км меньше. Выразите эту площадь в гектарах.

Ответ на задачу



Задача № 754

Длина прямоугольного поля равна 4 км 300 м, а его ширина на 1 км 600 м меньше. Найдите площадь поля и выразите ее в гектарах.

Ответ на задание



Задача № 755

Найдите площадь прямоугольника, если его ширина 5 дм, а длина в 4 раза больше. Выразите эту площадь в квадратных метрах.

Ответ на задачку

Фото: 3800119.jpg (16.5 Kb) · 7737041.jpg (17.8 Kb) · 7554987.jpg (19.1 Kb) · 8709495.jpg (22.3 Kb) · 7780374.jpg (18.8 Kb)
 
 
БрошкаДата: Четверг, 25.12.2014, 10:39 | Сообщение # 152
Генерал-майор
Группа: Проверенные
Сообщений: 378
Награды: 0
Репутация: 0
Статус: Offline


 
Работай из дома! 18+
 
 


Задача № 756

Выразите:

а) в квадратных метрах: 5 га; 3 га 18 а; 247 соток; 16 а; б) в гектарах: 420 000 м2; 45 км2 19 га; в) в арах: 43 га; 4 га 5 а; 30 700 м2; 5 км2 13 га; г) в гектарах и арах: 930 а; 45 700 м2.

Ответ на задание



Задача № 757

Сколько теплиц длиной 24 м и шириной 5 м поместится на участке земли площадью 3 га?

Ответы на задание



Задача № 758

На рисунке 71 изображены два огорода. На каждый ар нужно 4 кг удобрений. Сколько удобрений потребуется на каждый участок? На оба участка?

Ответ на задачу



Задача № 759

Чтобы засеять горохом 1 га, нужно 320 кг семян. Сколько понадобится семян, чтобы засеять три поля, площади которых 871 га, 1248 га и 681 га?

Ответ на задание



Задача № 760

С 1 га собрали 36 ц пшеницы. Сколько килограммов пшеницы соберут с трех полей площадью 483 га, 875 га, 1042 га?

Ответ на задачку

Фото: 6984375.jpg (39.4 Kb) · 1864198.jpg (22.0 Kb) · 9738461.jpg (32.8 Kb) · 0099165.jpg (21.7 Kb) · 9253638.jpg (20.0 Kb)
 
 
БрошкаДата: Четверг, 25.12.2014, 10:44 | Сообщение # 153
Генерал-майор
Группа: Проверенные
Сообщений: 378
Награды: 0
Репутация: 0
Статус: Offline


 
Работай из дома! 18+
 
 


Задача № 761

Квартира состоит из трех комнат, кухни, ванной и коридора. Площадь коридора 4 м2. Площадь ванной и кухни вместе в 4 раза больше площади коридора. Найдите площадь всей квартиры, если площадь коридора, ванной и кухни вдвое меньше площади комнат.

Ответ на задание



Задача № 762

Пол покрасили масляной краской два раза. В первый раз на каждый квадратный метр пошло 125 г краски, а во второй — 75 г. Сколько понадобится краски, если длина комнаты 6 м, а ширина 5 м?

Ответы на задание



Задача № 763

Вычислите устно:

Ответ на задачу



Задача № 764

Восстановите цепочку вычислений:

Ответ на задание



Задача № 765

Вычислите наиболее простым способом: а) 500 • 182 • 2; в) 125 • 65 • 8; д) 4 • 429 • 25; б) 12 • 21 • 25; г) 8 • 309 • 50; е) 16 • 23 • 125.

Ответ на задачку

Фото: 4511116.jpg (22.5 Kb) · 7796751.jpg (19.7 Kb) · 2842080.jpg (24.6 Kb) · 7252218.jpg (27.0 Kb) · 7635324.jpg (29.3 Kb)
 
 
БрошкаДата: Четверг, 25.12.2014, 10:47 | Сообщение # 154
Генерал-майор
Группа: Проверенные
Сообщений: 378
Награды: 0
Репутация: 0
Статус: Offline


 
Работай из дома! 18+
 
 


Задача № 766

Сколько сотен получится в частном: а) 2072 : 8; б) 2916 : 9; в) 3938 : 11; г) 6185 : 5?

Ответ на задание



Задача № 767

Согласны ли вы с утверждением: а) равные фигуры имеют равные площади; б) неравные фигуры имеют различные площади; в) любой квадрат есть прямоугольник; г) некоторые прямоугольники являются квадратами; д) если периметры прямоугольников равны, то равны и эти прямоугольники?

Ответы на задание



Задача № 768

В старину площади земельных участков измеряли в десятинах (это площадь квадрата со стороной, равной десятой части версты). Сравните десятину с 1 га.

Ответ на задачу



Задача № 769

Найдите площади четырехугольников, изображенных на рисунке 72, a, и площади треугольников, изображенных на рисунке 72,b.

Ответ на задание



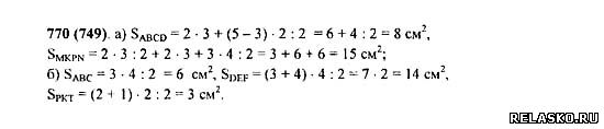
Задача № 770

Найдите площадь треугольника ABD на рисунке 73, если: а) АВ = 6 м, AD = 4 м 15 см; б) АВ = 8 дм 6 см, AD = 11 дм 7 см.

Ответ на задачку

Фото: 8934096.jpg (23.2 Kb) · 7778884.jpg (19.4 Kb) · 0009507.jpg (22.3 Kb) · 4582293.jpg (25.0 Kb) · 5903942.jpg (25.9 Kb)
 
 
БрошкаДата: Четверг, 25.12.2014, 10:51 | Сообщение # 155
Генерал-майор
Группа: Проверенные
Сообщений: 378
Награды: 0
Репутация: 0
Статус: Offline


 
Работай из дома! 18+
 
 


Задача № 771

Найдите площади и периметры частей, на которые разбита фигура, изображенная на рисунке 74. Найдите площадь и периметр всей фигуры. Равен ли периметр фигуры сумме периметров ее частей? Объясните получившийся ответ.

Ответ на задание



Задача № 772

Сколько квадратов изображено на рисунке 75? Какие из них равны между собой? Разделите прямоугольник на две равные части, каждая из которых состоит из целых квадратов, двумя способами.

Ответы на задание



Задача № 773

Расстояние между двумя городами 840 км. Одновременно навстречу друг другу из этих городов вышли два поезда. Один идет со скоростью 60 км/ч, а другой — со скоростью 80 км/ч. Через сколько часов эти поезда встретятся? Придумайте и решите похожую задачу: а) про двух рабочих, которые должны изготовить 840 деталей, причем оди»т делает в час 60 деталей, а другой — 80 деталей; б) про две тракторные, бригады, которые должны вспахать 840 га; в) про два ткацких станка.

Ответ на задачу



Задача № 744

Найдите значения выражений: 3 • 83 - 5 • б3; (52 - 42)3.

Ответ на задание



Задача № 775

Вычислите: а) 4! - 42; б) 6! : 60; в) 3! - 5; г) 5! + 53.

Ответ на задачку

Фото: 3641240.jpg (38.1 Kb) · 3491183.jpg (28.2 Kb) · 3871192.jpg (19.7 Kb) · 8775776.jpg (19.1 Kb) · 3721873.jpg (19.6 Kb)
 
 
БрошкаДата: Четверг, 25.12.2014, 10:55 | Сообщение # 156
Генерал-майор
Группа: Проверенные
Сообщений: 378
Награды: 0
Репутация: 0
Статус: Offline


 
Работай из дома! 18+
 
 


Задача № 776

Составьте выражение по схеме и найдите его значение (рис. 76).

Ответ на задание



Задача № 777

Решите задачу:

1) Три рассказа занимают 34 страницы. Первый занимает 6 страниц, а второй — в 3 раза меньше, чем третий. Сколько страниц занимает второй рассказ?
2) Три озера имеют общую площадь 32 га. Площадь первого озера в 4 раза больше площади второго, а площадь третьего озера 7 га. Найдите площадь первого озера.

Ответы на задание



Задача № 778

Найдите значение выражения:

1) 767 520 : 4 : 15 : 123; 3) 286 208 : 86 : 16 • 505; 2) 312 • (9520 : 68 : 7); 4) 101 376 : 48 : 24 : 8.

Ответ на задачу



Задача № 779

Длина прямоугольного участка земли 43 м, а его ширина на 15 м меньше длины. Найдите периметр и площадь участка.

Ответ на задание



Задача № 780

Длина прямоугольного поля 300 м, а ширина 200 м. Найдите площадь поля и выразите ее в арах и гектарах.

Ответ на задачку

Фото: 5066468.jpg (20.1 Kb) · 9844279.jpg (40.2 Kb) · 2503949.jpg (30.6 Kb) · 2069091.jpg (21.5 Kb) · 1973420.jpg (17.8 Kb)
 
 
БрошкаДата: Четверг, 25.12.2014, 11:03 | Сообщение # 157
Генерал-майор
Группа: Проверенные
Сообщений: 378
Награды: 0
Репутация: 0
Статус: Offline


 
Работай из дома! 18+
 
 


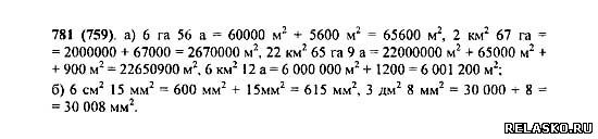
Задача № 781

Выразите: а) в квадратных метрах: 6 га 56 а; 2 км2 67 га; 22 км2 65 га 9 а; 6 км2 12 а; б) в квадратных миллиметрах: 6 см2 15 мм2; 3 дм2 8 мм2.

Ответ на задание



Задача № 782

Рабочим выделили для садовых участков 6 га земли. Сколько рабочих получили участки, если площадь каждого участка 12 соток?

Ответы на задание



Задача № 783

Благодаря рационализаторскому предложению удалось сэкономить на каждых 50 парах ботинок 1250 см2 кожи. Сколько кожи сэкономлено за 25 рабочих дней, если каждый день выпускается 1500 пар ботинок?

Ответ на задачу



Задача № 784

Одна из сторон треугольника имеет длину 3 дм 6 см, а другая вдвое длиннее. Длина третьей стороны на 4 дм 3 см меньше, чем сумма длин первых двух сторон. Найдите периметр треугольника.

Ответ на задание



Задача № 785

Молодой рабочий выполнил задание за 8 ч, изготовляя в час но 18 деталей. За сколько часов выполнит то лее задание его наставник, если в час он делает на 6 деталей больше, чем молодой рабочий?

Ответ на задачку

Фото: 7565299.jpg (33.8 Kb) · 9480820.jpg (19.1 Kb) · 8782308.jpg (19.6 Kb) · 3398402.jpg (25.9 Kb) · 2068698.jpg (18.8 Kb)
 
 
БрошкаДата: Четверг, 25.12.2014, 11:06 | Сообщение # 158
Генерал-майор
Группа: Проверенные
Сообщений: 378
Награды: 0
Репутация: 0
Статус: Offline


 
Работай из дома! 18+
 
 


Задача № 786

Счет, полученный несколько лет назад в магазине, сохранился не полностью (рис. 77). Восстановите счет.

Ответ на задание



Задача № 787

Урожайность — это масса урожая растений, собранного с единицы площади. Обозначив урожайность буквой т, площадь буквой S, запишите формулу для нахождения массы М урожая. Определите по этой формуле: а) какой урожай зерна получит фермер с поля площадью 25 га при урожайности 35 ц с гектара; б) какова урожайность клубники, если с грядки площадью 18 м2 ее собрали 108 кг.

Ответы на задание



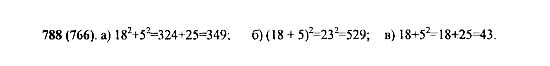
Задача № 788

Найдите значение выражения: а) 182 + 52; б) (18 + 5)2; в) 18 + 52.

Ответ на задачу



Задача № 789

Выполните действия: а) 980 081 + (341 640 - 1263 • 209); б) 400 615 - (352 203 - 2031 • 138).

Ответ на задание



Задача № 790

Назовите: а) все грани прямоугольного параллелепипеда, изображенного на рисунке 78; б) все ребра этого параллелепипеда; в) все вершины этого параллелепипеда. Какие ребра являются сторонами грани AEFB4 Какие вершины принадлежат задней грани? Какие ребра равны ребру AD Какая грань равна грани ABCD?

Ответ на задачку

Фото: 7714727.jpg (25.3 Kb) · 0736971.jpg (28.8 Kb) · 2321766.jpg (18.8 Kb) · 8687082.jpg (28.1 Kb) · 8042158.jpg (39.3 Kb)
 
 
БрошкаДата: Четверг, 25.12.2014, 11:09 | Сообщение # 159
Генерал-майор
Группа: Проверенные
Сообщений: 378
Награды: 0
Репутация: 0
Статус: Offline


 
Работай из дома! 18+
 
 


Задача № 791

Из проволоки сделали каркас прямоугольного параллелепипеда (рис. 79). Сколько понадобилось для этого проволоки?

Ответ на задание



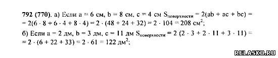
Задача № 792

Найдите площадь поверхности прямоугольного параллелепипеда (то есть сумму площадей его граней), если его измерения равны 5 см, 6 см и 3 см. Решение. У двух граней длины сторон равны 5 см и 6 см. Площадь каждой из них равна 5 • 6, то есть 30 см2. Площадь каждой из двух других граней равна 5 • 3, то есть 15 см2, а площадь каждой из двух последних граней — 3 • 6, то есть 18 см2. Значит, площадь поверхности прямоугольного параллелепипеда равна 2 • 30 + 2 • 15 + 2 • 18 - 126, то есть 126 см2. Используя это решение, найдите площадь поверхности прямоугольного параллелепипеда, измерения которого: а) б см, 8 см и 4 см; б) 2 дм, 3 дм и 11 дм.

Ответы на задание



Задача № 793

Из жести сделан бак без крышки. Он имеет форму прямоугольного параллелепипеда длиной 90 см, шириной 50 см и высотой 70 см. Бак надо покрасить снаружи и изнутри. Какую площадь надо покрасить?

Ответ на задачу



Задача № 794

Аквариум имеет форму прямоугольного параллелепипеда. Его боковые стенки стеклянные. Определите площадь поверхности стекла, если длина аквариума 50 см, ширина 25 см, а высота 30 см.

Ответ на задание



Задача № 795

Найдите площадь поверхности куба, если длина его ребра равна 5 см.

Ответ на задачку

Фото: 4223978.jpg (20.1 Kb) · 3772147.jpg (28.5 Kb) · 3233425.jpg (23.7 Kb) · 9857651.jpg (21.5 Kb) · 7264642.jpg (22.2 Kb)
 
 
БрошкаДата: Четверг, 25.12.2014, 11:12 | Сообщение # 160
Генерал-майор
Группа: Проверенные
Сообщений: 378
Награды: 0
Репутация: 0
Статус: Offline


 
Работай из дома! 18+
 
 


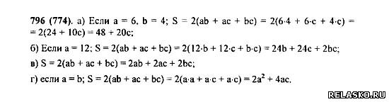
Задача № 796

Напишите формулу площади S поверхности прямоугольного параллелепипеда, если у него: а) длина равна 6, ширина 4 и высота с; б) длина равна 12, ширина b, высота с; в) длина равна а, ширина b и высота с; г) длина и ширина равны а, высота равна с.

Ответ на задание



Задача № 797

Вычислите устно:

Ответы на задание



Задача № 798

Найдите частное: а) 3618 : 18; в) 6045 : 15; д) 1393 : 7; б) 2436 : 12; г) 1442 : 14; е) 1791 : 9.

Ответ на задачу



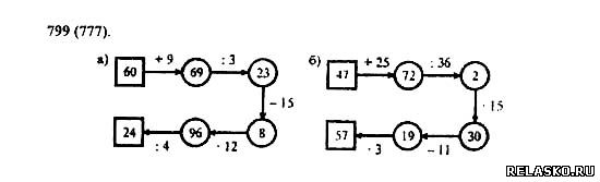
Задача № 799

Восстановите цепочку вычислений, поставив вместо звездочек пропущенные числа:

Ответ на задание



Задача № 800

Сравните площади: а) 15 см2 и 1 дм2; б) 3 а и 30 м2; в) 800 дм2 и 8 м2; г) 200 га и 2 км2.

Ответ на задачку

Фото: 1203488.jpg (32.6 Kb) · 2154793.jpg (25.0 Kb) · 2659403.jpg (22.0 Kb) · 0949475.jpg (28.4 Kb) · 7545347.jpg (21.3 Kb)
 
 
БрошкаДата: Четверг, 25.12.2014, 11:26 | Сообщение # 161
Генерал-майор
Группа: Проверенные
Сообщений: 378
Награды: 0
Репутация: 0
Статус: Offline


 
Работай из дома! 18+
 
 


Задача № 801

Какова длина стороны квадрата, если его площадь: а) 4 дм2; б) 25 см2; в) 81 м2; г) 400 см2?

Ответ на задание



Задача № 802

Площадь прямоугольного участка 1 га. Приведите примеры, какими могут быть длина и ширина участка.

Ответы на задание



Задача № 803

Какое число возвели в куб, если получили: 27; 1; 64?

Ответ на задачу



Задача № 804

Во многих западных странах использовалась единица площади акр. Акр примерно равен 4047 м2. Сравните 1 акр и 1 га.

Ответ на задание



Задача № 805

Вычислите площадь фигуры на рисунке 80

Ответ на задачку

Фото: 0698121.jpg (25.1 Kb) · 4012059.jpg (23.6 Kb) · 5668210.jpg (16.5 Kb) · 7883004.jpg (17.2 Kb) · 0416276.jpg (18.8 Kb)
 
 
БрошкаДата: Четверг, 25.12.2014, 11:29 | Сообщение # 162
Генерал-майор
Группа: Проверенные
Сообщений: 378
Награды: 0
Репутация: 0
Статус: Offline


 
Работай из дома! 18+
 
 


Задача № 806

Равны ли фигуры, изображенные на рисунке 81? Равны ли площади этих фигур? Равны ли их периметры?

Ответ на задание



Задача № 807

Лена, Света, Маша, Катя и Наташа пришли к зубному врачу. Сколькими способами они могут встать в очередь?

Ответы на задание



Задача № 808

Чебурашка и Крокодил Гена идут навстречу друг другу. Сейчас между ними 1 км 950 м. Через сколько минут они встретятся, если Чебурашка идет со скоростью 70 м/мин, а Крокодил Гена — со скоростью 60 м/мин?

Ответ на задачу



Задача № 809

Решите задачу:

1) По шоссе едут навстречу друг другу два велосипедиста. Сейчас между ними 2 км 700 м. Через 6 мин они встретятся. Найдите скорость этих велосипедистов, если известно, что скорость первого на 50 м/мин больше скорости второго. 2) Навстречу друг другу скачут два всадника, причем скорость одного из них на 300 м/мин больше скорости другого. Сейчас расстояние между ними 6 км 500 м. Найдите скорость каждого всадника, если известно, что они встретятся через 5 мин.

Ответ на задание



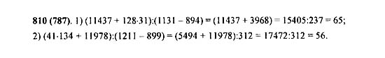
Задача № 810

Найдите значение выражения:

1) (11 437 + 128 • 31) : (1131 - 894);

2) (41 • 134 + 11 978) : (1211 - 899).

Ответ на задачку

Фото: 5071615.jpg (22.5 Kb) · 1465049.jpg (15.4 Kb) · 9985400.jpg (19.1 Kb) · 4650607.jpg (61.8 Kb) · 7105315.jpg (23.8 Kb)
 
 
БрошкаДата: Четверг, 25.12.2014, 11:32 | Сообщение # 163
Генерал-майор
Группа: Проверенные
Сообщений: 378
Награды: 0
Репутация: 0
Статус: Offline


 
Работай из дома! 18+
 
 


Задача № 811

Напишите формулу для площади поверхности S куба, длина ребер которого равна а.

Ответ на задание



Задача № 812

Напишите формулу для суммы длин ребер L прямоугольного параллелепипеда, если длина прямоугольного параллелепипеда равна с ширина b и высота с.

Ответы на задание



Задача № 813

Найдите площадь поверхности и сумму длин ребер куба, ребр которого 11 см.

Ответ на задачу



Задача № 814

Сколько понадобится краски, чтобы покрасить поверхность бруса, изображенного на рисунке 82, если для покраски 1 дм2 поверхности нужно 2 г краски?

Ответ на задание



Задача № 815

Прямоугольный участок земли имеет длину 95 м, а ширину 67 м. Найдите площадь и периметр участка.

Ответ на задачку

Фото: 2557107.jpg (25.7 Kb) · 2823182.jpg (26.7 Kb) · 6554114.jpg (24.5 Kb) · 9345860.jpg (22.8 Kb) · 8789283.jpg (20.6 Kb)
 
 
БрошкаДата: Четверг, 25.12.2014, 11:35 | Сообщение # 164
Генерал-майор
Группа: Проверенные
Сообщений: 378
Награды: 0
Репутация: 0
Статус: Offline


 
Работай из дома! 18+
 
 


Задача № 816

Незнайка стал догонять Шпунтика, когда расстояние между ними было равно 1 км 80 м. Незнайка бежал со скоростью 170 м/мин, а Шпунтик шел со скоростью 80 м/мин. Через сколько минут Незнайкa догонит Шпунтика?

Ответ на задание



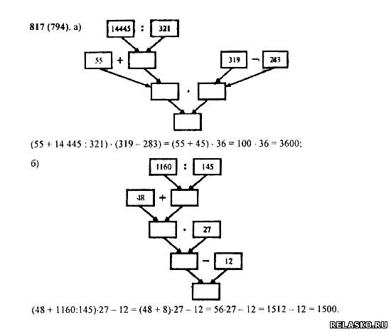
Задача № 817

Найдите значение выражения, предварительно составив схему вычислений: а) (55 + 14 445 : 321) • (319 - 283); б) (48 + 1160 : 145) • 27 - 12.

Ответы на задание



Задача № 818

Подумайте, по какому правилу составлен ряд чисел, и найдите три следующих числа: а) 20, 22, 24, ... ; г) 1, 4, 9, 16, ... ; б) 2, 4, 8, 16, ... ; д) 2, 5, 4, 8, 6, 11, ... ; в) 1, 3, 9, ... ; е) 1, 8, 27, ... .

Ответ на задачу



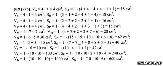
Задача № 819

Из кубиков с ребром 1 см составлены фигуры (рис. 87). Найдите объемы и площади поверхностей этих фигур.

Ответ на задание



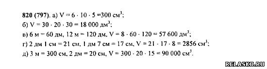
Задача № 820

Найдите объем прямоугольного параллелепипеда, если а) а = 6 см, b = 10 см, с = 5 см; б) а = 30 дм, b = 20 дм, с = 30 дм; в) а = 8 дм, b = 6 м, с = 12 м; г) а = 2 дм 1 см, b = 1 дм 7 см, с = 8 см; д) а = 3 м, b = 2 дм, с = 15 см.

Ответ на задачку

Фото: 5760805.jpg (19.8 Kb) · 2593131.jpg (45.9 Kb) · 4269994.jpg (59.0 Kb) · 2942361.jpg (48.8 Kb) · 9237623.jpg (29.4 Kb)
 
 
БрошкаДата: Четверг, 25.12.2014, 11:39 | Сообщение # 165
Генерал-майор
Группа: Проверенные
Сообщений: 378
Награды: 0
Репутация: 0
Статус: Offline


 
Работай из дома! 18+
 
 


Задача № 821

Площадь нижней грани прямоугольного параллелепипеда равна 24 см2. Определите высоту этого параллелепипеда, если его объем равен 96 см3.

Ответ на задание



Задача № 822

Объем комнаты равен 60 м3. Высота комнаты 3 м, ширина 4 м. Найдите длину комнаты и площади пола, потолка, стен.

Ответы на задание



Задача № 823

Найдите объем куба, ребро которого 8 дм; 3 дм 6 см.

Ответ на задачу



Задача № 824

Найдите объем куба, если площадь его поверхности равна 96 см2.

Ответ на задание



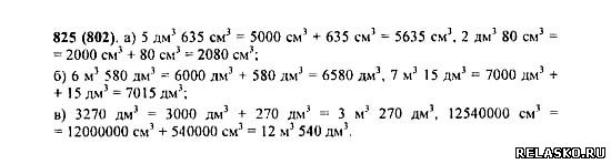
Задача № 825

Выразите: а) в кубических сантиметрах: 5 дм3 635 см3; 2 дм3 80 см3; б) в кубических дециметрах: 6 м3 580 дм3; 7 м3 15 дм3; в) в кубических метрах и дециметрах: 3270 дм3; 12 540 000 см3.

Ответ на задачку





Продолжение решебника по Математике для 5-го класса

Фото: 0025493.jpg (27.5 Kb) · 1855023.jpg (26.7 Kb) · 8876685.jpg (21.7 Kb) · 3514763.jpg (21.2 Kb) · 4878937.jpg (34.6 Kb)
 
 
Поиск:

Работай из дома! 18+
 
 
 
 
 
 

 
Последние темы на форуме:
 
  • Новогодние праздники 2021-2022 официальные выходные
  • Показатели давления и сердцебиения у женщины 57 лет
  • Гороскоп на декабрь 2021 Женщина Телец
  • Гороскоп на январь 2022 от Павла Глоба
  • Гороскоп на декабрь 2021 от Павла Глоба
  • Гороскоп на ноябрь 2021 от Павла Глоба
  • Стенограмма судьбы - Содержание серий, актеры и роли сериала
  • Мосгаз. Западня - Содержание серий, актеры и роли 2021
  • Тобол - Содержание серий, актеры и роли сериала. 2021
  • Гороскоп для Тигра на сегодня от Павла Глоба
  • Утраченные воспоминания - Содержание серий, актеры и роли
  • Чёрно-белая любовь - Содержание серий, актеры и роли сериала
  • Забытая женщина - Содержание серий, актеры и роли сериала
  • Тайна спящей дамы - Содержание серий, актеры и роли сериала
  • Сериал Часы с кукушкой - Содержание серий, актеры и роли
  •  
     

     
    Обращаем ваше внимание на то, что данный интернет-сайт www.kinolog.do.am носит исключительно информационный характер и ни при каких условиях не является публичной офертой, определяемой положениями Статьи 437 (2) Гражданского кодекса РФ. Цена и наличие товара может отличаться от действительной. Пожалуйста, уточняйте цены и наличие товара у наших менеджеров.
    Администрация сайта не несет ответственности за действия и содержание размещаемой информации пользователей: комментарии, материалы, сообщения и темы на форуме, публикации, объявления и т.д.
    Правообладателям | Реклама | Учебники | Политика
    Отопление, водоснабжение, газоснабжение, канализация © 2003 - 2021
    Рейтинг@Mail.ru Рейтинг арматурных сайтов. ARMTORG.RU Яндекс.Метрика