[ Новые сообщения · Участники · Правила форума · Поиск · RSS ]
 
Работай из дома! 18+

ГДЗ по Математике. 5 класс
БрошкаДата: Четверг, 25.12.2014, 15:38 | Сообщение # 196
Генерал-майор
Группа: Проверенные
Сообщений: 378
Награды: 0
Репутация: 0
Статус: Offline


 
Работай из дома! 18+
 
 




Задача № 976

Напишите: а) все правильные дроби со знаменателем 6; б) все неправильные дроби с числителем 5.

Ответ на задание



Задача № 977

При каких значениях а дробь:

Ответы на задание



Задача № 978

Машина за 6 мин может вырыть канаву длиной в 1 м. Какой длины канаву выроет машина за 1 мин; 5 мин; 7 мин; 11 мин?

Ответ на задачу



Задача № 979

Одним килограммом краски можно покрасить 5 м2 поверхности. Сколько понадобится краски, чтобы покрасить 3 м2; 6 м2; 13 м2 поверхности?

Ответ на задание



Задача № 980

Бригада строителей построила ферму за 48 дней. По плану требовалось этого времени. Сколько дней отводилось на постройку фермы по плану?

Ответ на задачку

Фото: 3778950.jpg (29.0 Kb) · 5833711.jpg (29.9 Kb) · 7872754.jpg (27.1 Kb) · 6773404.jpg (25.9 Kb) · 3324871.jpg (23.4 Kb)
 
 
БрошкаДата: Четверг, 25.12.2014, 15:40 | Сообщение # 197
Генерал-майор
Группа: Проверенные
Сообщений: 378
Награды: 0
Репутация: 0
Статус: Offline


 
Работай из дома! 18+
 
 


Задача № 981

Токарь за 3 ч выточил на токарном станке 135 деталей, выполнив дневной нормы. Сколько деталей он должен был выточить за рабочий день (8 часов) по норме? Сколько деталей он выточит за рабочий день, если будет работать с той же производительностью?

Ответ на задание



Задача № 982

Токарь выточил на токарном станке 135 деталей, выполнив дневной нормы. Какова его дневная норма?

Ответы на задание



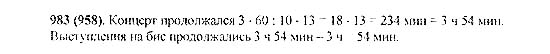
Задача № 983

Концерт юных музыкантов вместо запланированных 3 ч продолжался этого времени, так как зрители просили повторить некоторые понравившиеся выступления. Сколько времени продолжался концерт? Сколько минут продолжались выступления на бис?

Ответ на задачу



Задача № 984

Вычислите устно:

Ответ на задание



Задача № 985

Сколько минут в часе? Какую часть часа составляет 1 мин; 7 мин; 15 мин?

Ответ на задачку

Фото: 8976476.jpg (32.8 Kb) · 2350625.jpg (22.8 Kb) · 8981181.jpg (27.2 Kb) · 5106445.jpg (29.5 Kb) · 1699585.jpg (24.2 Kb)
 
 
БрошкаДата: Четверг, 25.12.2014, 15:43 | Сообщение # 198
Генерал-майор
Группа: Проверенные
Сообщений: 378
Награды: 0
Репутация: 0
Статус: Offline


 
Работай из дома! 18+
 
 


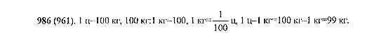
Задача № 986

Во сколько раз центнер больше килограмма? Какую часть центнера составляет килограмм? На сколько центнер больше килограмма?

Ответ на задание



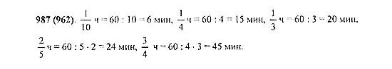
Задача № 987

Сколько минут в

Ответы на задание



Задача № 988

Сложите числа 81.

Ответ на задачу



Задача № 989

Половина числа равна 18. Найдите это число. Треть числа равна 27.Найдите это число. Три четверти числа равны 60. Найдите это число.

Ответ на задание



Задача № 990

Какая часть четырехугольника ABCD (рис. 125) закрашена? Какая часть осталась незакрашенной?

Ответ на задачку

Фото: 7053043.jpg (24.4 Kb) · 7445061.jpg (27.6 Kb) · 7451061.jpg (31.1 Kb) · 3870792.jpg (21.6 Kb) · 9033207.jpg (26.2 Kb)
 
 
БрошкаДата: Четверг, 25.12.2014, 15:46 | Сообщение # 199
Генерал-майор
Группа: Проверенные
Сообщений: 378
Награды: 0
Репутация: 0
Статус: Offline


 
Работай из дома! 18+
 
 


Задача № 991

Выразите в граммах: а) 3 кг 400 г; б) 2 кг 30 г; в) 15 кг.

Ответ на задание



Задача № 992

Расположите в порядке возрастания дроби: Расположите эти же дроби в порядке убывания.

Ответы на задание



Задача № 993

Назовите четыре дроби, которые меньше, чем

Ответ на задачу



Задача № 994

Назовите 5 дробей, которые больше, чем

Ответ на задание



Задача № 995

Начертите квадрат со стороной 4 см. Покажите на чертеже: квадрата, квадрата. Найдите площади этих частей квадрата и объясните полученный результат.

Ответ на задачку

Фото: 6502109.jpg (24.1 Kb) · 9069581.jpg (30.0 Kb) · 0055860.jpg (25.0 Kb) · 7158300.jpg (22.1 Kb) · 2956156.jpg (34.2 Kb)
 
 
БрошкаДата: Четверг, 25.12.2014, 15:49 | Сообщение # 200
Генерал-майор
Группа: Проверенные
Сообщений: 378
Награды: 0
Репутация: 0
Статус: Offline


 
Работай из дома! 18+
 
 


Задача № 996

В первый день бригада собрала 5 т 400 кг картофеля, а во второй — на 1 т 200 кг меньше, чем в первый. В третий день бригада собрала в 2 раза больше картофеля, чем во второй. Сколько картофеля собрано бригадой за эти три дня?

Ответ на задание



Задача № 997

Составьте задачу по уравнению: а) (y + 6) - 2= 15; б) 2(а - 5) = 24; в) 3(25 + b) + 15 = 135.

Ответы на задание

$IMAGE2$

Задача № 998

В первом вагоне ехали а человек, а во втором — b человек. На остановке из первого вагона вышли с человек, а из второго — d человек. Какой смысл имеют следующие выражения:
а + b; с + d; (а + Ь) - (с + d);а - с; b - d; (а - с) + (b - d)?
Объясните, почему
(а + b) - (с + d) = (а - с) + (b - d) при а > с, b > d.
Проверьте это равенство при а = 45, b = 39, с - 14, d = 12.
Используя полученное равенство, вычислите значение выражения:
а) (548 + 897) - (148 + 227); б) (391 + 199) - (181 + 79).

Ответ на задачу



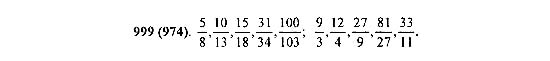
Задача № 999

Придумайте пять дробей, у которых числитель на 3 меньше знаменателя. Запишите пять дробей, у которых числитель в 3 раза больше знаменателя.

Ответ на задание



Задача № 1000

При каких значениях х дробь будет неправильной?

Ответ на задачку

Фото: 2191909.jpg (36.1 Kb) · 3626747.jpg (56.2 Kb) · 9037827.jpg (24.3 Kb) · 3155679.jpg (24.7 Kb)
 
 
БрошкаДата: Четверг, 25.12.2014, 16:16 | Сообщение # 201
Генерал-майор
Группа: Проверенные
Сообщений: 378
Награды: 0
Репутация: 0
Статус: Offline


 
Работай из дома! 18+
 
 


Задача № 1001

Фермер наметил собрать с поля 12 т овощей, а собрал этого количества. Сколько тонн овощей собрал фермер?

Ответ на задание



Задача № 1002

Турист прошел за первый день 18 км, что составляет пути, который он должен пройти во второй день. Сколько километров должен пройти турист за эти два дня?

Ответы на задание



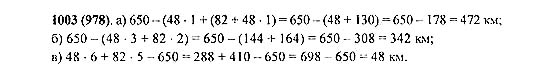
Задача № 1003

Из Санкт-Петербурга в Москву вышел товарный поезд со скоростью 48 км/ч, а через час после этого из Москвы в Санкт-Петербург вышел скорый поезд со скоростью 82 км/ч. Найдите расстояние между поездами:
а) через 1 ч после выхода скорого поезда; б) через 3 ч после выхода товарного поезда; в) через 5 ч после выхода скорого поезда. Расстояние от Москвы до Санкт-Петербурга 650 км.

Ответ на задачу



Задача № 1004

Найдите значение выражения:

а) 8060 -45-45 150 : 75 • 105;
в) (123 - 93) : (12 - 9); б) (2 254 175 + 94 447) : 414 - 1329;
г) (б2 + З2)2.

Ответ на задание



Задача № 1005

Из помидоров массой кг и огурцов массой кг сделали салат. Какова масса салата?

Ответ на задачку

Фото: 3056057.jpg (22.1 Kb) · 0481363.jpg (25.8 Kb) · 8822983.jpg (32.8 Kb) · 9586585.jpg (37.3 Kb) · 3338132.jpg (24.0 Kb)
 
 
БрошкаДата: Четверг, 25.12.2014, 16:19 | Сообщение # 202
Генерал-майор
Группа: Проверенные
Сообщений: 378
Награды: 0
Репутация: 0
Статус: Offline


 
Работай из дома! 18+
 
 


Задача № 1006

Масса станка равна т, а масса его упаковки т. Найдите массу станка вместе с упаковкой.

Ответ на задание



Задача № 1007

В первый день картофель посадили на участка, а во второй день на у участка. Какая часть участка была засажена картофелем за эти два дня?

Ответы на задание



Задача № 1008

Одна бригада получила т гвоздей, а вторая — на т меньше. Сколько гвоздей получила вторая бригада?

Ответ на задачу



Задача № 1009

За два дня засеяли поля. В первый день засеяли поля. Какую часть поля засеяли во второй день?

Ответ на задание



Задача № 1010

Цистерна на наполнена бензином, цистерны перелили в бочку. Какая часть цистерны осталась заполненной бензином?

Ответ на задачку

Фото: 0313764.jpg (26.1 Kb) · 8567625.jpg (24.2 Kb) · 6864361.jpg (24.2 Kb) · 0550200.jpg (23.9 Kb) · 2434809.jpg (24.9 Kb)
 
 
БрошкаДата: Четверг, 25.12.2014, 16:22 | Сообщение # 203
Генерал-майор
Группа: Проверенные
Сообщений: 378
Награды: 0
Репутация: 0
Статус: Offline


 
Работай из дома! 18+
 
 


Задача № 1011

Выполните действие:

Ответ на задание



Задача № 1012

Найдите значение выражения:

Ответы на задание



Задача № 1013

Из 11 теплиц овощеводческого хозяйства 4 засажены помидорами, а 2 — огурцами. Какая часть теплиц занята огурцами и помидорами? Решите задачу двумя способами.

Ответ на задачу



Задача № 1014

Для посадки леса выделили участок площадью 300 га. Ель высадили на участка, а сосну — на участка. Сколько гектаров занято елью и сосной вместе?

Ответ на задание



Задача № 1015

Бригада решила изготовить 175 изделий сверх плана. В первый день она изготовила этого количества, во второй день — этого количества. Сколько изделий изготовила бригада за эти два дня? Сколько изделий ей осталось изготовить?

Ответ на задачку

Фото: 6838578.jpg (41.2 Kb) · 5295655.jpg (68.2 Kb) · 5374386.jpg (36.3 Kb) · 4880048.jpg (27.5 Kb) · 2781183.jpg (33.4 Kb)
 
 
БрошкаДата: Четверг, 25.12.2014, 16:25 | Сообщение # 204
Генерал-майор
Группа: Проверенные
Сообщений: 378
Награды: 0
Репутация: 0
Статус: Offline


 
Работай из дома! 18+
 
 


Задача № 1016

Картофелем засажено поля овощеводческого хозяйства. Огурцами засеяно на поля больше, чем морковью, и на поля меньше, чем картофелем. Какая часть поля засеяна огурцами и какая морковью? Какая часть поля занята картофелем, огурцами и морковью вместе?

Ответ на задание



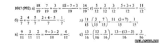
Задача № 1017

Выполните действия:

Ответы на задание



Задача № 1018

Решите уравнение:

Ответ на задачу



Задача № 1019

В палатке было 2 ц 70 кг фруктов. Яблоки составляли всех фруктов, а груши — всех фруктов. На сколько масса яблок больше массы груш? Решите задачу двумя способами.

Ответ на задание



Задача № 1020

В первый день турист прошел всего пути, а во второй день — всего пути. Известно, что за эти два дня турист прошел 36 км. Сколько километров составляет весь путь туриста?

Ответ на задачку

Фото: 4817038.jpg (33.6 Kb) · 3247978.jpg (39.7 Kb) · 7074661.jpg (38.4 Kb) · 8222572.jpg (41.5 Kb) · 8907645.jpg (29.4 Kb)
 
 
БрошкаДата: Четверг, 25.12.2014, 16:29 | Сообщение # 205
Генерал-майор
Группа: Проверенные
Сообщений: 378
Награды: 0
Репутация: 0
Статус: Offline


 
Работай из дома! 18+
 
 


Задача № 1021

Первый рассказ занимал книги, а второй рассказ — книги. Известно, что первый рассказ занимал на 12 страниц больше, чем второй. Сколько страниц во всей книге?

Ответ на задание



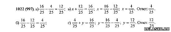
Задача № 1022

Воспользовавшись равенством — найдите значения выражении и решите уравнения:

Ответы на задание



Задача № 1023

Вычислите устно:

Ответ на задачу



Задача № 1024

На экскурсию отправляются 260 человек. Сколько нужно заказать автобусов, если в каждом автобусе должно быть не более 30 пассажиров?

Ответ на задание



Задача № 1025

Начертите отрезок. Затем начертите отрезок, длина которого равна:

Ответ на задачку

Фото: 8266430.jpg (39.3 Kb) · 6122724.jpg (33.0 Kb) · 6529427.jpg (29.6 Kb) · 6270559.jpg (23.2 Kb) · 8810104.jpg (33.7 Kb)
 
 
БрошкаДата: Четверг, 25.12.2014, 16:32 | Сообщение # 206
Генерал-майор
Группа: Проверенные
Сообщений: 378
Награды: 0
Репутация: 0
Статус: Offline


 
Работай из дома! 18+
 
 


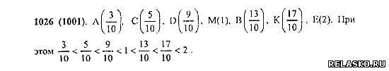
Задача № 1026

Найдите координаты точек Л, S, С, D, Е, М, К (рис. 128) и сравните эти координаты с 1.

Ответ на задание



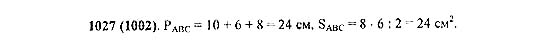
Задача № 1027

Вычислите периметр и площадь треугольника ABC (рис. 129).

Ответы на задание



Задача № 1028

Сравните:

Ответ на задачу



Задача № 1029

Ответ на задание



Задача № 1030

Найдите все значения х, при которых дробь - будет правильной, а дробь — неправильной.

Ответ на задачку

Фото: 2531096.jpg (30.4 Kb) · 8383523.jpg (23.1 Kb) · 7494783.jpg (30.6 Kb) · 4334831.jpg (23.6 Kb) · 7054858.jpg (29.6 Kb)
 
 
БрошкаДата: Четверг, 25.12.2014, 16:37 | Сообщение # 207
Генерал-майор
Группа: Проверенные
Сообщений: 378
Награды: 0
Репутация: 0
Статус: Offline


 
Работай из дома! 18+
 
 


Задача № 1031

Назовите 3 правильные дроби, числитель которых больше, чем 100. Назовите 3 неправильные дроби, знаменатель которых больше, чем 200.

Ответ на задание



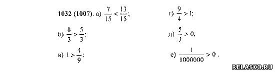
Задача № 1032

Сравните:

Ответы на задание



Задача № 1033

Длина прямоугольного параллелепипеда 8 м, ширина 6 м и высота 12 м. Найдите сумму площадей наибольшей и наименьшей граней этого параллелепипеда

Ответ на задачу



Задача № 1034

Для изготовления 750 м вискозной ткани требуется 10 кг целлюлозы. Из 1 м3 древесины можно получить 200 кг целлюлозы. Сколько метров вискозной ткани можно получить из 20 м3 древесины?

Ответ на задание



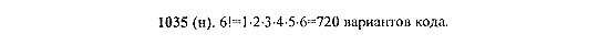
Задача № 1035

Кодовый замок имеет шесть кнопок. Чтобы его открыть, нужно нажать кнопки в определенной последовательности (набрать код). Сколько существует вариантов кода для этого замка?

Ответ на задачку

Фото: 8190738.jpg (32.1 Kb) · 2221691.jpg (27.0 Kb) · 3840273.jpg (36.5 Kb) · 9662960.jpg (27.7 Kb) · 6984561.jpg (21.5 Kb)
 
 
БрошкаДата: Четверг, 25.12.2014, 16:42 | Сообщение # 208
Генерал-майор
Группа: Проверенные
Сообщений: 378
Награды: 0
Репутация: 0
Статус: Offline


 
Работай из дома! 18+
 
 


Задача № 1036

Решите уравнение:

а) (х - 111) • 59 = 11 918;
в) (30 901 - а) : 605 = 51;
б) 975(х - 615) = 12 675;
г) 39 765 : (b - 893) = 1205.

Ответ на задание



Задача № 1037

Решите задачу:

1) Из 30 высаженных семян взошли 23. Какая часть высаженных семян взошла?
2) На пруду плавали 40 лебедей. Из них 30 были белыми. Какую часть всех лебедей составляли белые лебеди?

Ответы на задание



Задача № 1038

Найдите значение выражения:

1) 76 • (3569 + 2795) - (24 078 + 30 785);
2) (43 512-43 006) • 805 - (48 987 + 297 305).

Ответ на задачу



Задача № 1039

За первый час было расчищено от снега всей дороги, а за второй час ту всей дороги. Какая часть дороги была расчищена от снега за эти два часа? На какую часть дороги было расчищено меньше в первый час, чем во второй?

Ответ на задание



Задача № 1040

На платье для первой куклы было израсходовано м ткани, а на платье для второй куклы — ткани. Сколько ткани было израсходовано на оба платья? На сколько больше ткани было израсходовано на платье второй куклы, чем на платье первой куклы?

Ответ на задачку

Фото: 4645582.jpg (38.9 Kb) · 2155132.jpg (26.6 Kb) · 1547689.jpg (32.7 Kb) · 8565033.jpg (32.9 Kb) · 7162178.jpg (34.2 Kb)
 
 
БрошкаДата: Четверг, 25.12.2014, 16:45 | Сообщение # 209
Генерал-майор
Группа: Проверенные
Сообщений: 378
Награды: 0
Репутация: 0
Статус: Offline


 
Работай из дома! 18+
 
 


Задача № 1041

Выполните действия:

Ответ на задание



Задача № 1042

Решите уравнение:

Ответы на задание



Задача № 1043

Геологи прошли маршрут длиной 75 км. В первый день они прошли всего маршрута, а во второй — всего маршрута. Какой путь прошли геологи за эти два дня?

Ответ на задачу



Задача № 1044

От деревни Никольское до города 24 км. Дорога лесом составляет пути, а остальная часть проходит полем. Сколько километров дороги проходит полем?

Ответ на задание



Задача № 1045

Из 12 дней зимних каникул Лена была 7 дней у бабушки. Какую часть каникул Лена была у бабушки?

Ответ на задачку

Фото: 2636459.jpg (44.0 Kb) · 8124746.jpg (31.2 Kb) · 3036204.jpg (28.6 Kb) · 1206797.jpg (28.4 Kb) · 6274974.jpg (24.2 Kb)
 
 
БрошкаДата: Четверг, 25.12.2014, 16:50 | Сообщение # 210
Генерал-майор
Группа: Проверенные
Сообщений: 378
Награды: 0
Репутация: 0
Статус: Offline


 
Работай из дома! 18+
 
 


Задача № 1046

Из сливок получили 18 кг масла, что составляет массы сливок. Сколько было взято сливок?

Ответ на задание



Задача № 1047

Автомашина за 3 дня прошла 980 км. За первые 2 дня она прошла 725 км. Сколько прошла автомашина в каждый из этих дней, если во второй день она прошла больше, чем в третий день, на 123 км? Никольское

Ответы на задание



Задача № 1048

Турист проехал 378 км. Поездом он ехал 4 ч, а на мотоцикле 3 ч. С какой скоростью турист ехал на мотоцикле, если поезд шел со скоростью 60 км/ч?

Ответ на задачу



Задача № 1049

Выполните действия: а) 2 035 303 998 + 63 008 007 665; б) 23 268 841 675 + 6 777 888.

Ответ на задание



Задача № 1050

Четвертый лишний. В каждом ряду три числа обладают общим свойством, а одно число этим свойством не обладает. Укажите, что это за свойство и какое число лишнее.

Ответ на задачку





Продолжение решебника по Математике для 5-го класса

Фото: 4828480.jpg (22.7 Kb) · 0212634.jpg (31.2 Kb) · 2719859.jpg (24.9 Kb) · 8951751.jpg (28.0 Kb) · 2850293.jpg (47.5 Kb)
 
 
Поиск:

Работай из дома! 18+
 
 
 
 
 
 

 
Последние темы на форуме:
 
  • Новогодние праздники 2021-2022 официальные выходные
  • Показатели давления и сердцебиения у женщины 57 лет
  • Гороскоп на декабрь 2021 Женщина Телец
  • Гороскоп на январь 2022 от Павла Глоба
  • Гороскоп на декабрь 2021 от Павла Глоба
  • Гороскоп на ноябрь 2021 от Павла Глоба
  • Стенограмма судьбы - Содержание серий, актеры и роли сериала
  • Мосгаз. Западня - Содержание серий, актеры и роли 2021
  • Тобол - Содержание серий, актеры и роли сериала. 2021
  • Гороскоп для Тигра на сегодня от Павла Глоба
  • Утраченные воспоминания - Содержание серий, актеры и роли
  • Чёрно-белая любовь - Содержание серий, актеры и роли сериала
  • Забытая женщина - Содержание серий, актеры и роли сериала
  • Тайна спящей дамы - Содержание серий, актеры и роли сериала
  • Сериал Часы с кукушкой - Содержание серий, актеры и роли
  •  
     

     
    Обращаем ваше внимание на то, что данный интернет-сайт www.kinolog.do.am носит исключительно информационный характер и ни при каких условиях не является публичной офертой, определяемой положениями Статьи 437 (2) Гражданского кодекса РФ. Цена и наличие товара может отличаться от действительной. Пожалуйста, уточняйте цены и наличие товара у наших менеджеров.
    Администрация сайта не несет ответственности за действия и содержание размещаемой информации пользователей: комментарии, материалы, сообщения и темы на форуме, публикации, объявления и т.д.
    Правообладателям | Реклама | Учебники | Политика
    Отопление, водоснабжение, газоснабжение, канализация © 2003 - 2021
    Рейтинг@Mail.ru Рейтинг арматурных сайтов. ARMTORG.RU Яндекс.Метрика