[ Новые сообщения · Участники · Правила форума · Поиск · RSS ]
 
Работай из дома! 18+

ГДЗ по Математике. 5 класс
БрошкаДата: Пятница, 26.12.2014, 14:37 | Сообщение # 226
Генерал-майор
Группа: Проверенные
Сообщений: 378
Награды: 0
Репутация: 0
Статус: Offline


 
Работай из дома! 18+
 
 




Задача № 1126

Составьте задачу по уравнению:

Ответ на задание

$IMAGE1$

Задача № 1127

По рисунку 137 составьте уравнение и решите его.

Ответы на задание



Задача № 1128

в старинных книгах можно встретить такие названия дробей: — пол, полтина, — пятина, — седьмина, — десятина. По думайте, как появились следующие названия: — четь, — полчети, — полполчети, — полполполч'ети (малая четь). Дробь называли «треть». Попробуйте догадаться, как называли дроби Подумайте, почему смешанные числа называли: 1 — полвтора, 2 — полтретья, 3 — полчётверта, 4 — полпяты, 5 — пол шесты и т. д. Сохранился ли такой способ чтения в наше время?

Ответ на задачу

$IMAGE3$

Задача № 1129

Из дробей выделите целую часть, а смешанные числа запишите в виде неправильных дробей. ИЗО. Выполните действия:

Ответ на задание



Задача № 1130

Ответ на задачку

Фото: 4423740.jpg (30.5 Kb) · 2919396.jpg (46.8 Kb) · 6367532.jpg (32.9 Kb)
 
 
БрошкаДата: Пятница, 26.12.2014, 14:44 | Сообщение # 227
Генерал-майор
Группа: Проверенные
Сообщений: 378
Награды: 0
Репутация: 0
Статус: Offline


 
Работай из дома! 18+
 
 


Задача № 1131

. Лесник прошел 3 км и 4 ч ехал на лошади. С какой скоростью он ехал на лошади, если весь путь равен 34 км?

Ответ на задание



Задача № 1132

Пошел дождь. Под водосточную трубу поставили пустую бочку, в нее вливалось каждую минуту 8 л воды, а через щель в бочке выливалось 3 л воды в минуту. Сколько литров воды будет в бочке через 1 мин; 2 мин; 3 мин? Успеет ли бочка наполниться, если ее объем 400 л, а дождь шел 1 ч 10 мин?

Ответы на задание



Задача № 1133

Легковой автомобиль движется со скоростью 70 км/ч, а грузовой — со скоростью 40 км/ч. Сейчас легковой автомобиль находится сзади грузо- вика на расстоянии 60 км. Оба автомобиля движутся в одном направлении. Какое расстояние будет между ними через 1 ч, через 2 ч, через 3 ч?

Ответ на задачу



Задача № 1134

Решите задачу:

1) В третьем классе 35 учеников. Из них умеют играть в шахматы. Сколько ребят в этом классе еще не научились играть в шахматы?
2) В бригаде 15 человек. Из них владеют только одной специальностью, а остальные — двумя. Сколько человек в бригаде владеют двумя специальностями?

Ответ на задание



Задача № 1135

Найдите значение выражения:

1)(38 • 35 - 35) : 259;
2)(43 • 21 + 1671) : 429.

Ответ на задачку

Фото: 0489850.jpg (26.5 Kb) · 7617300.jpg (33.4 Kb) · 6888654.jpg (33.4 Kb) · 0743814.jpg (36.3 Kb) · 1887088.jpg (29.6 Kb)
 
 
БрошкаДата: Пятница, 26.12.2014, 14:48 | Сообщение # 228
Генерал-майор
Группа: Проверенные
Сообщений: 378
Награды: 0
Репутация: 0
Статус: Offline


 
Работай из дома! 18+
 
 


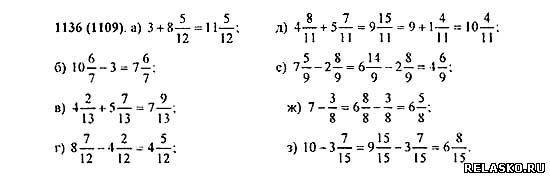
Задача № 1136

Выполните действия:

Ответ на задание



Задача № 1137

Длина прямоугольника 1 4/20 м, а ширина на 3/20 м меньше длины. Найдите периметр прямоугольника.

Ответы на задание



Задача № 1138

В один из дней зимних каникул мальчик 2 3/5 ч катался на лыжах, а на коньках на 1 4/5 ч меньше. Сколько всего времени он катался на лыжах и коньках?

Ответ на задачу



Задача № 1139

Веревку длиной 256 м разрезали на две части, одна из которых в 7 раз длиннее второй. На сколько метров одна часть веревки длиннее второй?

Ответ на задание



Задача № 1140

В археологических раскопках древнего города участвовали две экспедиции. В первой было в три раза больше сотрудников, чем во второй. Когда во вторую экспедицию прибыли еще 18 человек, то в двух экспедициях вместе стало 66 сотрудников. Сколько стало сотрудников во второй экспедиции?

Ответ на задачку

Фото: 1389508.jpg (40.5 Kb) · 4859477.jpg (30.0 Kb) · 8896309.jpg (23.1 Kb) · 8398290.jpg (28.2 Kb) · 9737384.jpg (31.7 Kb)
 
 
БрошкаДата: Пятница, 26.12.2014, 14:57 | Сообщение # 229
Генерал-майор
Группа: Проверенные
Сообщений: 378
Награды: 0
Репутация: 0
Статус: Offline


 
Работай из дома! 18+
 
 


Задача № 1141

В куске 112 м материи. Из 11/16 куска сшили детские костюмы. Сколько метров материи осталось?

Ответ на задание



Задача № 1142

Площадь прямоугольника 616 м2, а его длина 28 м. Найдите площадь такого квадрата, у которого периметр равен периметру прямоугольника.

Ответы на задание



Задача № 1143

Выполните действия:
6. Десятичные дроби. Сложение и вычитание десятичных дробей Десятичная запись дробных чисел Как короче записывают дроби, знаменатель которых единица с несколькими нулями? Как называют такую запись дроби? Сколько цифр будет стоять после запятой в десятичной записи дроби 18 ? Какое число будет в этой записи после запятой и какое до запятой?

Ответ на задачу



Задача № 1144

Запишите в виде десятичной дроби:

Ответ на задание



Задача № 1145

Прочитайте десятичные дроби:

а) 2,7; 11,4; 401,1; 666,6; 0,8; 9,9; 99,9; 909,9;
б) 5,64; 21,87; 381,77; 54,60; 2,80; 0,55; 0,09; 0,77;
в) 1,579; 12,882; 326,703; 145,008; 21,094; 0,049; 0,001;
г) 203,6; 20,36; 0,02036; 0,20506; 0,010101.

Ответ на задачку

Фото: 3424305.jpg (20.1 Kb) · 7298566.jpg (27.1 Kb) · 8766217.jpg (22.4 Kb) · 8561996.jpg (27.2 Kb) · 3974374.jpg (102.8 Kb)
 
 
БрошкаДата: Пятница, 26.12.2014, 15:04 | Сообщение # 230
Генерал-майор
Группа: Проверенные
Сообщений: 378
Награды: 0
Репутация: 0
Статус: Offline


 
Работай из дома! 18+
 
 


Задача № 1146

Запишите в виде десятичных дробей числа:

а) 7 целых 8 десятых; 5 целых 45 сотых; 0 целых 59 сотых; 78 целых 1 сотая; 4 целых 601 тысячная; 76 целых 32 тысячных;
б) 6 целых 6 тысячных; 0 целых 2 сотых; 9 целых 3 тысячных; 785 целых 5 тысячных; 33 целых 8 десятитысячных.

Ответ на задание



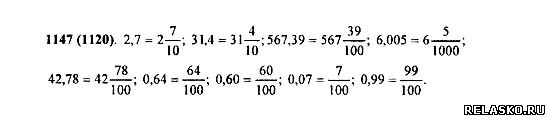
Задача № 1147

Запишите в виде дроби или смешанного числа: 2,7; 31,4; 567,39; 6,005; 42,78; 0,64; 0,60; 0,07; 0,99.

Ответы на задание



Задача № 1148


Выразите:

а) в дециметрах: 5 дм 6 см; 3 дм 1 см; 9 см;
б) в центнерах: 24 ц 6 кг; 72 кг; 30 ц 65 кг;
в) в килограммах: 6 кг 339 г; 5 кг 58 г; 6 т 14 кг 8 г;
г) в тоннах и килограммах: 1,785 т; 24,300 т; 4,076 т; 5,050 т;
д) в метрах и сантиметрах: 3,78 м; 2,09 м;
е) в квадратных метрах и квадратных дециметрах 3,15 м2; 4,08 м2.

Ответ на задачу



Задача № 1149

Запишите в виде десятичных дробей частные: 182 : 10; 5405 : 100; 631 : 10 000; 74 : 1000; 849 : 1000; 3 : 100 000.

Ответ на задание



Задача № 1150

Начертите отрезки: АВ = 1,3 см; CD = 2,1 см; МР = 0,8 см.

Ответ на задачку

$IMAGE5$
Фото: 7236820.jpg (20.1 Kb) · 2769226.jpg (25.6 Kb) · 3152758.jpg (36.9 Kb) · 8774236.jpg (22.2 Kb)
 
 
БрошкаДата: Пятница, 26.12.2014, 15:07 | Сообщение # 231
Генерал-майор
Группа: Проверенные
Сообщений: 378
Награды: 0
Репутация: 0
Статус: Offline


 
Работай из дома! 18+
 
 


Задача № 1151

Вычислите устно:

Ответ на задание



Задача № 1152

Назовите целую и дробную части числа:

Ответы на задание



Задача № 1153

Сравните числа: 23, 2300, 023, 230, 00 023.

Ответ на задачу



Задача № 1154

Замените дробью или смешанным числом частные: 9:2; 5:11; 8 : 10; 15 : 10.

Ответ на задание



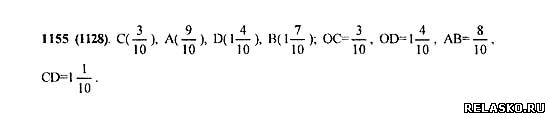
Задача № 1155

Укажите координаты точек А, В, С, D (рис. 138). Каково расстояние в единичных отрезках между точками: О и С, О и D, А и В, С и D?

Ответ на задачку

Фото: 2287885.jpg (25.3 Kb) · 9092721.jpg (30.0 Kb) · 6578843.jpg (16.9 Kb) · 2802745.jpg (18.7 Kb) · 7934167.jpg (21.3 Kb)
 
 
БрошкаДата: Пятница, 26.12.2014, 15:22 | Сообщение # 232
Генерал-майор
Группа: Проверенные
Сообщений: 378
Награды: 0
Репутация: 0
Статус: Offline


 
Работай из дома! 18+
 
 


Задача № 1156

Какое число записывается:

а) единицей с четырьмя последующими нулями;
б) единицей с шестью последующими нулями;
в) единицей с семью последующими нулями?

Ответ на задание



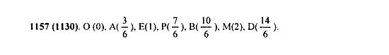
Задача № 1157

Определите координаты точек, отмеченных на рисунке 139. Назовите эти координаты в порядке убывания. Назовите два числа, которые больше любой из этих координат.

Ответы на задание



Задача № 1158

Выполните действия:

Ответ на задачу



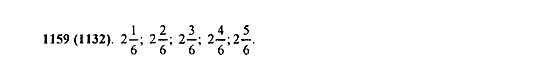
Задача № 1159

Запишите все числа, у которых целая часть 2, а знаменатель дробной части 6.

Ответ на задание



Задача № 1160

Из чисел , выделите целую часть, а числа ; запишите в виде неправильной дроби.

Ответ на задачку

Фото: 9346703.jpg (20.5 Kb) · 8582076.jpg (18.4 Kb) · 5200130.jpg (24.7 Kb) · 1135342.jpg (17.2 Kb) · 1464818.jpg (30.9 Kb)
 
 
БрошкаДата: Пятница, 26.12.2014, 15:27 | Сообщение # 233
Генерал-майор
Группа: Проверенные
Сообщений: 378
Награды: 0
Репутация: 0
Статус: Offline


 
Работай из дома! 18+
 
 


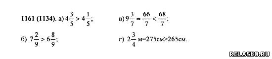
Задача № 1161

Сравните:

Ответ на задание



Задача № 1162

На рисунке 140 показан план квартала города. Ширина каждого дома 25 м, длина 50 м, ширина дорог 25 м. Расскажите, как ближайшим путем пройти от точки А до школы; до почты; до ателье; до дома № 9. Как бы вы объяснили дорогу от дома № 5 до дома № 11; до дома № 6?

Ответы на задание

$IMAGE2$

Задача № 1163

Длина прямоугольного параллелепипеда 14 см, ширина 8 см и высота 7 см. Найдите высоту другого прямоугольного параллелепипеда, если его длина 28 см, ширина 7 см, а объем равен объему первого параллелепипеда.

Ответ на задачу



Задача № 1164

Решите задачу:

1) Масса арбуза и трех одинаковых дынь 10 кг. Дыня в 2 раза легче арбуза. Какова масса арбуза?
2) Масса тыквы и трех одинаковых кабачков 20 кг. Тыква в 2 раза тяжелее кабачка. Какова масса тыквы?
3) За три прыжка кенгуру преодолел расстояние 20 м 70 см. Первые два прыжка оказались одинаковыми, а третий — на 1 м 20 см длиннее. Какова длина второго прыжка кенгуру?
4) Расстояние до норы в 6 м заяц преодолел в четыре прыжка. Первые три прыжка оказались одинаковыми, а последний на 40 см короче остальных. Найдите длину второго прыжка зайца

Ответ на задание



Задача № 1165

.Решите уравнение:

1)х : 16 = 4759 + 1441; 3) 13 600 : 2 = 3876 - 3851;
2)у : 27 = 2467 - 1867; 4) (2865 + k) * 125 = 542 875.

Ответ на задачку

Фото: 8424445.jpg (21.2 Kb) · 8835976.jpg (25.8 Kb) · 5794784.jpg (66.7 Kb) · 4860314.jpg (29.3 Kb)
 
 
БрошкаДата: Пятница, 26.12.2014, 15:30 | Сообщение # 234
Генерал-майор
Группа: Проверенные
Сообщений: 378
Награды: 0
Репутация: 0
Статус: Offline


 
Работай из дома! 18+
 
 


Задача № 1166

Запишите в виде десятичной дроби числа:

Ответ на задание



Задача № 1167

Сравните:

Ответы на задание



Задача № 1168

Выразите:

а) в километрах: 8 км 907 м; 35 м; 250 м; 1 м;
б) в центнерах и килограммах: 4,2 ц; 7,33 ц; 0,24 ц; 0,05 ц.

Ответ на задачу



Задача № 1169

Из двух пунктов, расстояние между которыми 7 км 500 м, одновременно в одном направлении вышел пешеход со скоростью б км/ч и выехал автобус. Определите скорость автобуса, если он догнал пешехода через 15 мин.

Ответ на задание



Задача № 1170

С трех лугов собрали 197 ц сена. С первого и второго лугов собрали поровну, а с третьего — на 11 ц больше, чем с первого. Сколько сена собрали с каждого луга?

Ответ на задачку

Фото: 2045459.jpg (34.7 Kb) · 4282967.jpg (18.9 Kb) · 6762667.jpg (23.9 Kb) · 0747728.jpg (21.0 Kb) · 2121533.jpg (34.8 Kb)
 
 
БрошкаДата: Пятница, 26.12.2014, 15:41 | Сообщение # 235
Генерал-майор
Группа: Проверенные
Сообщений: 378
Награды: 0
Репутация: 0
Статус: Offline


 
Работай из дома! 18+
 
 


Задача № 1171

. Выполните действия: сравнение десятичных дробей Изменится ли десятичная дробь, если в конце ее приписать нуль? А 6 нулей? Сформулируйте правило сравнения десятичных дробей

Ответ на задание



Задача № 1172

Напишите десятичную дробь:

а) с четырьмя знаками после запятой, равную 0,87;
б) с пятью знаками после запятой, равную 0,541;
в) с тремя знаками после запятой, равную 35;
г) с двумя знаками после запятой, равную 8,40000.

Ответы на задание



Задача № 1173

Приписав справа нули, уравняйте число знаков после запятой в десятичных дробях: 1,8; 13,54 и 0,789.

Ответ на задачу



Задача № 1174

Запишите короче дроби:

Ответ на задание



Задача № 1175

Сравните числа: 85,09 и 67,99; 55,7 и 55,7000; 0,5 и 0,724; 0,908 и 0,918; 7,6431 и 7,6429; 0,0025 и 0,00247.

Ответ на задачку

Фото: 2776543.jpg (26.7 Kb) · 7985559.jpg (19.0 Kb) · 5357430.jpg (16.0 Kb) · 2096502.jpg (17.8 Kb) · 3181095.jpg (21.0 Kb)
 
 
БрошкаДата: Пятница, 26.12.2014, 15:44 | Сообщение # 236
Генерал-майор
Группа: Проверенные
Сообщений: 378
Награды: 0
Репутация: 0
Статус: Offline


 
Работай из дома! 18+
 
 


Задача № 1176

Расставьте в порядке возрастания числа: 3,456; 3,465; 8,149; 8,079; 0,453. А числа 0,0082; 0,037; 0,0044; 0,08; 0,0091 расставьте в порядке убывания.

Ответ на задание



Задача № 1177

Примите за единичный отрезок длину десяти клеток тетради и отметьте на координатном луче точки А(0,1), B(0,5), С(0,9), D(l,2), E(1,7).

Ответы на задание



Задача № 1178

Какая из точек лежит левее на координатном луче: а) А(1,2) или B(1,7); б) С(0,31) или D(0,35); в) E(3,3) или K(3,25)?

Ответ на задачу



Задача № 1179

Какая из точек лежит правее на координатном луче: а) А(2,8) или B(2,4); б) С(0,45) или D(0,49); в) T(7,85) или K(7,9)?

Ответ на задание



Задача № 1180

Замените звездочки знаками < или > так, чтобы получилось верное неравенство: 21 * 18,75; 8,006 * 9,0001; 7,2 * 7,2005; 4,009 * 3,999.

Ответ на задачку

Фото: 0717121.jpg (19.3 Kb) · 7795320.jpg (19.3 Kb) · 1747032.jpg (23.9 Kb) · 1334929.jpg (23.8 Kb) · 6995358.jpg (18.3 Kb)
 
 
БрошкаДата: Пятница, 26.12.2014, 15:49 | Сообщение # 237
Генерал-майор
Группа: Проверенные
Сообщений: 378
Награды: 0
Репутация: 0
Статус: Offline


 
Работай из дома! 18+
 
 


Задача № 1181

Какие цифры можно поставить вместо звездочки, чтобы получилось верное неравенство: а) 2,*1 > 2,01; б) 1,34 < 1,3*?

Ответ на задание



Задача № 1182

Между какими соседними натуральными числами находится дробь:

а) 2,7; б)12,21;
в) 3,343; г) 9,111?

Ответы на задание



Задача № 1183

Найдите какое-нибудь значение х, при котором верно неравенство:

а) 1,41 < х < 4,75;
г) 2,99 < х < 3;
б) 0,1 < х < 0,2;
д) 7 < х < 7,01;
в) 2,7 < х < 2,8;
е) 0,12 < х < 0,13.

Ответ на задачу



Задача № 1184

Сравните величины:

а) 98,52 м и 65,39 м;
д) 0,605 т и 691,3 кг;
б) 149,63 кг и 150,08 кг;
е) 4,572 км и 4671,3 м;
в) 3,55°С и 3,61°С;
ж) 3,835 га и 383,7 а;
г) 6,781 ч и 6,718 ч;
з) 7,521 л и 7538 см3.

Можно ли сравнить 3,5 кг и 8,12 м? Приведите несколько примеров величин, которые нельзя сравнивать.

Ответ на задание



Задача № 1185

Вычислите устно:

Ответ на задачку

Фото: 4930430.jpg (21.3 Kb) · 5883627.jpg (18.4 Kb) · 9904306.jpg (22.7 Kb) · 0050411.jpg (36.8 Kb) · 0524720.jpg (23.7 Kb)
 
 
БрошкаДата: Пятница, 26.12.2014, 15:53 | Сообщение # 238
Генерал-майор
Группа: Проверенные
Сообщений: 378
Награды: 0
Репутация: 0
Статус: Offline


 
Работай из дома! 18+
 
 


Задача № 1186

Вычислите устно:

Ответ на задание



Задача № 1187

Можно ли сказать, сколько цифр после запятой в записи десятичной дроби, если ее название заканчивается словом:

а) сотых; б) десятитысячных; в) десятых; г) миллионных?

Ответы на задание



Задача № 1188

Какую часть килограмма составляют: 1 г; 10 г; 100 г; 300 г?

Ответ на задачу



Задача № 1189

Найдите число, если 1/10 его равна: 20; 15; 3; 1

Ответ на задание



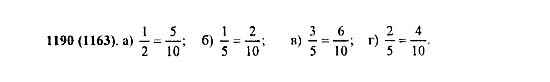
Задача № 1190

Используя рисунок 142, попробуйте догадаться, какое число стоит вместо звездочки:

Ответ на задачку

Фото: 3270562.jpg (50.8 Kb) · 1614100.jpg (18.9 Kb) · 7628839.jpg (18.3 Kb) · 3478848.jpg (17.8 Kb) · 3547887.jpg (18.9 Kb)
 
 
БрошкаДата: Пятница, 26.12.2014, 15:58 | Сообщение # 239
Генерал-майор
Группа: Проверенные
Сообщений: 378
Награды: 0
Репутация: 0
Статус: Offline


 
Работай из дома! 18+
 
 


Задача № 1191

Все шесть граней куба — квадраты. Подумайте, какие из фигур, изображенных на рисунке 143, являются разверткой поверхности куба.

Ответ на задание



Задача № 1192

Выразите в тоннах и килограммах:

а) 3,236 т; в) 0,006 т; д) 8,009 т; б) 11,800 т; г) 7,001 т; е) 10,001 т.

Ответы на задание



Задача № 1193

Выразите:

а) в миллионах: 8 984 ООО; 91,78 млрд; б) в тысячах: 1306; 8,065 млн; 17,8 млрд.

Ответ на задачу



Задача № 1194

Какую массу показывают каждые весы (рис. 144)? Запишите результат в килограммах.

Ответ на задание



Задача № 1195

Запишите в виде десятичных дробей частные: 7206 : 100; 61 : 1000; 7 : 100; 1849 : 1000.

Ответ на задачку

Фото: 7900249.jpg (20.3 Kb) · 8604969.jpg (22.9 Kb) · 7259390.jpg (22.5 Kb) · 7725163.jpg (20.8 Kb) · 5769515.jpg (19.6 Kb)
 
 
БрошкаДата: Пятница, 26.12.2014, 16:01 | Сообщение # 240
Генерал-майор
Группа: Проверенные
Сообщений: 378
Награды: 0
Репутация: 0
Статус: Offline


 
Работай из дома! 18+
 
 


Задача № 1196

Решите задачу:

а) Теплоход идет вниз по реке. Какова скорость движения теплохода, если скорость течения реки 4 км/ч, а собственная скорость теплохода (скорость в стоячей воде) равна 21 км/ч?
б) Моторная лодка идет вверх по реке. Какова скорость движения лодки, если скорость течения 3 км/ч, а собственная скорость лодки 14 км/ч?

Ответ на задание



Задача № 1197

Разложите по разрядам числа: 5089; 6 781 802; 8000; 98 000 560.

Ответы на задание



Задача № 1198

Выполните действие:

Ответ на задачу



Задача № 1199

Решите задачу:

1) Со станции вышел товарный поезд со скоростью 50 км/ч. Через 3 ч с той же станции вслед за ним вышел электропоезд со скоростью 80 км/ч. Через сколько часов после своего выхода электропоезд догонит товарный поезд?
2) Самолет вылетел с аэродрома со скоростью 500 км/ч. Через 2 ч с этого же аэродрома в том же направлении вылетел другой самолет со скоростью 700 км/ч. Через сколько часов после вылета второй самолет догонит первый?

Ответ на задание



Задача № 1200

Сравните числа:

а) 3,573 и 3,581; в) 7,299 и 7,3; д) 3,29 и 3,3; б) 8,605 и 8,59; г) 6,504 и 6,505; е) 4,85 и 0,1.

Ответ на задачку





Продолжение решебника по Математике для 5-го класса

Фото: 9168209.jpg (24.7 Kb) · 2781065.jpg (22.5 Kb) · 5599282.jpg (43.2 Kb) · 4859675.jpg (36.0 Kb) · 4067214.jpg (21.7 Kb)
 
 
Поиск:

Работай из дома! 18+
 
 
 
 
 
 

 
Последние темы на форуме:
 
  • Новогодние праздники 2021-2022 официальные выходные
  • Показатели давления и сердцебиения у женщины 57 лет
  • Гороскоп на декабрь 2021 Женщина Телец
  • Гороскоп на январь 2022 от Павла Глоба
  • Гороскоп на декабрь 2021 от Павла Глоба
  • Гороскоп на ноябрь 2021 от Павла Глоба
  • Стенограмма судьбы - Содержание серий, актеры и роли сериала
  • Мосгаз. Западня - Содержание серий, актеры и роли 2021
  • Тобол - Содержание серий, актеры и роли сериала. 2021
  • Гороскоп для Тигра на сегодня от Павла Глоба
  • Утраченные воспоминания - Содержание серий, актеры и роли
  • Чёрно-белая любовь - Содержание серий, актеры и роли сериала
  • Забытая женщина - Содержание серий, актеры и роли сериала
  • Тайна спящей дамы - Содержание серий, актеры и роли сериала
  • Сериал Часы с кукушкой - Содержание серий, актеры и роли
  •  
     

     
    Обращаем ваше внимание на то, что данный интернет-сайт www.kinolog.do.am носит исключительно информационный характер и ни при каких условиях не является публичной офертой, определяемой положениями Статьи 437 (2) Гражданского кодекса РФ. Цена и наличие товара может отличаться от действительной. Пожалуйста, уточняйте цены и наличие товара у наших менеджеров.
    Администрация сайта не несет ответственности за действия и содержание размещаемой информации пользователей: комментарии, материалы, сообщения и темы на форуме, публикации, объявления и т.д.
    Правообладателям | Реклама | Учебники | Политика
    Отопление, водоснабжение, газоснабжение, канализация © 2003 - 2021
    Рейтинг@Mail.ru Рейтинг арматурных сайтов. ARMTORG.RU Яндекс.Метрика