[ Новые сообщения · Участники · Правила форума · Поиск · RSS ]
 
Работай из дома! 18+

ГДЗ по Математике. 5 класс
БрошкаДата: Понедельник, 29.12.2014, 10:32 | Сообщение # 256
Генерал-майор
Группа: Проверенные
Сообщений: 378
Награды: 0
Репутация: 0
Статус: Offline


 
Работай из дома! 18+
 
 




Задача № 1276

Трасса лыжных гонок состоит из 4 участков. Первый участок имеет длину 4,35 км, второй — 5,75 км, третий — 6,95 км и четвертый — 2,8 км. Найдите длину всей трассы и округлите ответ: а) до десятых долей километра; б) до целых километров.

Ответ на задание



Задача № 1277

Найдите периметр четырехугольника ABCD, если АВ = 6,2 дм, CD больше АВ на 3,14 дм, но меньше ВС на 2,31 дм; AD больше ВС на 1,2 дм. Ответ округлите: а) до десятых долей дециметра; б) до целых дециметров.

Ответы на задание



Задача № 1278

Вычислите устно:

Ответ на задачу



Задача № 1279

Восстановите цепочку вычислений:

Ответ на задание



Задача № 1280

На координатном луче число х расположено между числами а и b. Определите, к какому из чисел ближе х, если: а) а = 2,3, b = 2,7, x = 2,6; в) а = 5,6, b = 5,7, x = 5,65. б) а = 1,34, b= 1,35, х = 1,342;

Ответ на задачку

Фото: 1251056.jpg (20.0 Kb) · 5984964.jpg (26.2 Kb) · 5365157.jpg (23.3 Kb) · 2792501.jpg (28.2 Kb) · 8522130.jpg (33.0 Kb)
 
 
БрошкаДата: Понедельник, 29.12.2014, 10:36 | Сообщение # 257
Генерал-майор
Группа: Проверенные
Сообщений: 378
Награды: 0
Репутация: 0
Статус: Offline


 
Работай из дома! 18+
 
 


Задача № 1281

К числу 76 890 приписали справа нуль, два нуля, три нуля. Во сколько раз увеличилось число? Прочитайте каждое из получившихся чисел.

Ответ на задание



Задача № 1282

В числе 89 452 200 зачеркнули два последних нуля. Во сколько раз уменьшилось число?

Ответы на задание



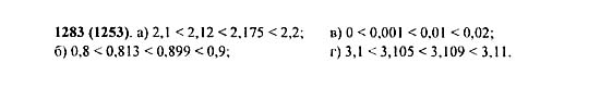
Задача № 1283

Укажите два числа, которые на координатном луче расположены между числами: а) 2,1 и 2,2; в)0 и 0,02; b)0,8 и 0,9; г) 3,1 и 3,11.

Ответ на задачу



Задача № 1284

Шахматная доска состоит из 8 рядов, по 8 клеток в каждом из них. Какую часть доски составляет:

а) один ряд клеток;
в) одна клетка;
б) 3 ряда клеток;
г) 7 клеток?
Шахматный конь может двигаться на две клетки по вертикали или горизонтали и на одну клетку в сторону. Подумайте, может ли конь переместиться из клетки А шахматной доски в клетку В.

Ответ на задание



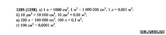
Задача № 1285

Какую часть кубического метра составляет:

а) 1 л; б) 10 дм3; в) 100 л; г) 100 см3?

Ответ на задачку

Фото: 8847319.jpg (32.0 Kb) · 2842373.jpg (16.8 Kb) · 8452210.jpg (22.0 Kb) · 0536694.jpg (36.4 Kb) · 3880580.jpg (24.5 Kb)
 
 
БрошкаДата: Понедельник, 29.12.2014, 10:39 | Сообщение # 258
Генерал-майор
Группа: Проверенные
Сообщений: 378
Награды: 0
Репутация: 0
Статус: Offline


 
Работай из дома! 18+
 
 


Задача № 1286

Найдите число, которое:

а) на 1 больше 3 б) на меньше 1

Ответ на задание



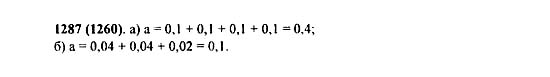
Задача № 1287

Используя рисунок 150, найдите число а:

Ответы на задание



Задача № 1288

Согласны ли вы с утверждением: «Если участки огорожены заборами одинаковой длины, то площади этих участков равны»? Подтвердите свое мнение примерами.

Ответ на задачу



Задача № 1289

Скорость течения реки 60 м/мин. Продвигается ли лодка, в каком направлении и с какой скоростью, если ее собственная скорость: а) 90 м/мин направлена по течению; б) 90 м/мин направлена против течения; в) 60 м/мин направлена по течению; г) 60 м/мин направлена против течения?

Ответ на задание



Задача № 1290

Запишите 4 числа, первое из которых 4,612, а каждое следующее на 2,154 больше предыдущего.

Ответ на задачку

Фото: 3103711.jpg (18.6 Kb) · 2186874.jpg (18.2 Kb) · 7052828.jpg (30.0 Kb) · 8423841.jpg (32.9 Kb) · 7186754.jpg (21.3 Kb)
 
 
БрошкаДата: Понедельник, 29.12.2014, 10:43 | Сообщение # 259
Генерал-майор
Группа: Проверенные
Сообщений: 378
Награды: 0
Репутация: 0
Статус: Offline


 
Работай из дома! 18+
 
 


Задача № 1291

Найдите значение выражения 84 - а и выражения а + 6,546 , если а = 30,4; 2,454; 83,998.

Ответ на задание



Задача № 1292

Представьте произведение 2,75 * 3 в виде суммы и найдите его значение.

Ответы на задание



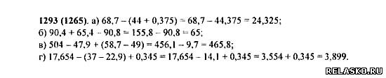
Задача № 1293

Выполните действия:

а) 68,7 - (44 + 0,375); в) 504 - 47,9 + (58,7 - 49);
б) 90,4 + 65,4 - 90,8; г) 17,654 - (37 - 22,9) + 0,345.

Ответ на задачу



Задача № 1294

Вместо звездочки поставьте знак >, = или < так, чтобы получилось верное равенство или неравенство:

а) 0,483 * 0,479; в) 95,3 * 95,300; б) 4,781 * 4,79; г) 0,045 * 0,0045.

Ответ на задание



Задача № 1295

Собственная скорость лодки 4,5 км/ч, скорость течения 2,5 км/ч. Найдите скорость лодки при движении по течению и против течения. Какой путь пройдет лодка по течению за 4 ч и какой путь она пройдет против течения за 3 ч?

Ответ на задачку

Фото: 2615242.jpg (29.2 Kb) · 8630137.jpg (17.9 Kb) · 8471416.jpg (28.4 Kb) · 3042573.jpg (19.2 Kb) · 6337862.jpg (26.6 Kb)
 
 
БрошкаДата: Понедельник, 29.12.2014, 10:50 | Сообщение # 260
Генерал-майор
Группа: Проверенные
Сообщений: 378
Награды: 0
Репутация: 0
Статус: Offline


 
Работай из дома! 18+
 
 


Задача № 1296

Решите задачу:

1) В школу завезли 24 т угля. За зиму израсходовали 7/8 привезенного угля. Сколько тонн угля осталось?
2)Маляры израсходовали 5/6 купленной краски для ремонта школы. Сколько краски осталось, если купили ее 300 кг?

Ответ на задание



Задача № 1297

Округлите дроби:

а) 1,69; 1,198; 37,444; 37,5444; 802,3022 до целых; б) 0,3691; 0,8218; 0,9702; 81,3501 до десятых

Ответы на задание



Задача № 1298

Для каждого из чисел найдите натуральные приближенные значения с недостатком и с избытком: 3,97; 21,609; 10,394; 1,057.

Ответ на задачу



Задача № 1299

Запишите число, которое:

а) меньше миллиона в 10 раз; на 10;
б) больше миллиона в 10 раз; на 10;
в) больше числа 709 в 100 раз; в 1000 раз;
г) меньше числа 623 100 000 в 10 раз; в 1000 раз; в 100 000 раз.

Ответ на задание



Задача № 1300

Найдите значение выражения:
а) 8000 • 60 000; в) 250 000 • 600 • 40;
б) 1700 • 800 000; г) 19 000 • 20 000 • 50.

Ответ на задачку

Фото: 5921955.jpg (26.3 Kb) · 6156069.jpg (23.3 Kb) · 1788469.jpg (18.8 Kb) · 4719458.jpg (21.7 Kb) · 0090378.jpg (27.3 Kb)
 
 
БрошкаДата: Понедельник, 29.12.2014, 11:16 | Сообщение # 261
Генерал-майор
Группа: Проверенные
Сообщений: 378
Награды: 0
Репутация: 0
Статус: Offline


 
Работай из дома! 18+
 
 


Задача № 1301

Собственная скорость теплохода 21,6 км/ч. Скорость течения 4,9 км/ч. Найдите скорость теплохода по течению и против течения.

Ответ на задание



Задача № 1302

Теплоход шел по озеру 3 ч со скоростью 27 км/ч, а потом 4 ч по реке, впадающей в это озеро. Найдите весь путь, который прошел теплоход за эти 7 ч, если скорость течения реки 3 км/ч.

Ответы на задание



Задача № 1303

В сокровищнице Кощея Бессмертного 32 000 ларцов, в каждом ларце 210 одинаковых по массе слитков золота и серебра. Какова масса запасов золота и серебра у Кощея, если масса десятка слитков 900 г?

Ответ на задачу



Задача № 1304

Поставьте вместо звездочек пропущенные цифры: 7. Умножение и деление десятичных дробей 34. Умножение десятичных дробей на натуральные числа. Что значит умножить десятичную дробь на натуральное число? Сформулируйте правило умножения десятичной дроби на натуральное число. Как умножить десятичную дробь на 10; на 100; на 1000?

Ответ на задание



Задача № 1305

Представьте произведение в виде суммы и найдите его значение: а) 8,75 • 4; б) 2,3 • 5.

Ответ на задачку

Фото: 6450403.jpg (22.0 Kb) · 9924478.jpg (24.5 Kb) · 6341540.jpg (21.7 Kb) · 6824393.jpg (19.4 Kb) · 2880768.jpg (21.2 Kb)
 
 
БрошкаДата: Понедельник, 29.12.2014, 11:19 | Сообщение # 262
Генерал-майор
Группа: Проверенные
Сообщений: 378
Награды: 0
Репутация: 0
Статус: Offline


 
Работай из дома! 18+
 
 


Задача № 1306

Найдите значение выражения:

а) 8,9 • 6; ж) 4,55 -6-7;
б) 3,75 • 12; з) 12,344 • 15 • 16;
в) 0,075 • 24; и) (2,8 + 5,3) • 12;
г) 10,45 • 42;
к) (8,7 - 4,3) • 15;
д) 137,64 • 35; л) (6,31 + 2,59) • 25;
е) 25,85 • 98; м) (7,329 - 2,079) • 14.

Ответ на задание



Задача № 1307

Запишите сумму в виде произведения и выполните умножение: а) 3,69 + 3,69 + 3,69 + 3,69 + 3,69; б) 18,04 + 18,04 + 18,04 + 18,04 + 18,04 + 18,04

Ответы на задание



Задача № 1308

Все стороны шестиугольника имеют одинаковую длину 9,76 см. Найдите периметр шестиугольника.

Ответ на задачу



Задача № 1309

Масса одного электромотора равна 57,85 кг. Найдите массу 9 таких электромоторов.

Ответ на задание



Задача № 1310

Выполните умножение:

а) 6,42 • 10; 0,17 • 10; 3,8 • 10; 0,1 • 10; 0,01 • 10;
б) 6,387 • 100; 20,35 • 100; 0,006 • 100; 0,75 • 100; 0,1 • 100; 0,01 • 100;
в) 45,48 • 1000; 7,8 ■ 1000; 0,00081 • 1000; 0,006 • 10 000; 0,102 • 10 000.

Ответ на задачку

Фото: 9252019.jpg (37.0 Kb) · 3313085.jpg (22.3 Kb) · 8934019.jpg (18.1 Kb) · 2393686.jpg (18.6 Kb) · 5419903.jpg (31.4 Kb)
 
 
БрошкаДата: Понедельник, 29.12.2014, 11:23 | Сообщение # 263
Генерал-майор
Группа: Проверенные
Сообщений: 378
Награды: 0
Репутация: 0
Статус: Offline


 
Работай из дома! 18+
 
 


Задача № 1311

Запишите цифрами числа: 4,4 тыс.; 87,4 тыс.; 764,3 тыс.; 8,9 млн; 67,56 млн; 0,956 млн; 1,1 млрд; 0,27 млрд.

Ответ на задание



Задача № 1312

Автомашина прошла 3 ч со скоростью 48,4 км/ч и 5 ч со скоростью 56,6 км/ч. Какой путь прошла автомашина за все это время?

Ответы на задание



Задача № 1313

Пятачок съел 3 баночки меда, по 0,65 кг в каждой, а Винни-Пух — 10 горшочков меда, по 0,84 кг в каждом. Сколько меда они съели? На сколько больше меда съел Винни-Пух, чем Пятачок?

Ответ на задачу



Задача № 1314

Для сборки прибора первого вида требуется 1,4 ч, а для сборки прибора второго вида — на 0,6 ч меньше. Сколько всего времени потребуется для сборки 3 приборов первого вида и 5 приборов второго вида?

Ответ на задание



Задача № 1315

Найдите значение выражения:

а) 61,Зх, если х = 8; 42; 100;
б) 100а + Ь, если а = 3,214 и Ь = 7,5;
в) 14с + 6d, если с = 2,3 и d = 3,7;
г) 5,2т + 3,7т - 4,1т, если m = 5; 10; 15; 120.

Ответ на задачку

Фото: 8302492.jpg (25.7 Kb) · 2534907.jpg (18.9 Kb) · 8290424.jpg (25.0 Kb) · 2351299.jpg (22.2 Kb) · 2029261.jpg (41.9 Kb)
 
 
БрошкаДата: Понедельник, 29.12.2014, 11:27 | Сообщение # 264
Генерал-майор
Группа: Проверенные
Сообщений: 378
Награды: 0
Репутация: 0
Статус: Offline


 
Работай из дома! 18+
 
 


Задача № 1316

Вычислите устно:

Ответ на задание



Задача № 1317

Найдите значение выражения:

а) 2,7 - 0,6; г) 0,69 + 0; ж) 4,9 + 6,3; б) 3,5 + 2,3; д) 3,6 + 0,8; з) 0,84 - 0,22. в) 5,8 ^ 1,9; е) 7.1

Ответы на задание



Задача № 1318

Вычислите:

а) 0,29 + 0,35; г) 0,57 + 0,3; ж) 3 + 0,24; б)0,67 - 0,48; д) 1,36 + 2,0; 3)2-0,6. в) 0,74-0,2; е) 2,45 - 1,3;

Ответ на задачу



Задача № 1319

Восстановите цепочку вычислений, если х - 0,8; 1,3; 1,8; 2,3.

Ответ на задание



Задача № 1320

Какую цифру (одну и ту же) можно подставить вместо звездочки, чтобы было верно: а) 2,*3 = 2,3*; б) 3,*5 > 2,8*; в) 0,*7 < 0,3*; г) 0,7*5 < 0,86*?

Ответ на задачку

Фото: 2564633.jpg (23.4 Kb) · 2991776.jpg (24.4 Kb) · 3438601.jpg (25.5 Kb) · 6905725.jpg (35.4 Kb) · 0820415.jpg (22.9 Kb)
 
 
БрошкаДата: Понедельник, 29.12.2014, 11:32 | Сообщение # 265
Генерал-майор
Группа: Проверенные
Сообщений: 378
Награды: 0
Репутация: 0
Статус: Offline


 
Работай из дома! 18+
 
 


Задача № 1321

Отметьте на координатном луче точки с координатами: 0,2; 0,5; 0,8; 1,4;

Ответ на задание



Задача № 1322

Во сколько раз лестница на девятый этаж длиннее лестницы на третий этаж этого дома?

Ответы на задание



Задача № 1323

Найдите пропущенное число:

Ответ на задачу



Задача № 1324

Округлите:

а) 2,789; 0,8321; 247,356 до десятых; б) 32 028,7; 16 513,5; 811,9 до тысяч.

Ответ на задание



Задача № 1325

Выполните действия:

а) 1243,5 + (279,48 + 105,24); в) 542,3 + (600 - 541,3);
б) 28,348 - (12,652 - 0,7); г) (38,45 - 27,35) - 8,45.

Ответ на задачку

Фото: 9384112.jpg (34.5 Kb) · 3472778.jpg (34.1 Kb) · 6039318.jpg (32.8 Kb) · 5303667.jpg (21.1 Kb) · 9436908.jpg (30.1 Kb)
 
 
БрошкаДата: Понедельник, 29.12.2014, 11:37 | Сообщение # 266
Генерал-майор
Группа: Проверенные
Сообщений: 378
Награды: 0
Репутация: 0
Статус: Offline


 
Работай из дома! 18+
 
 


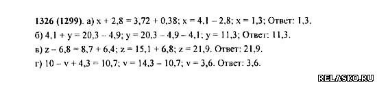
Задача № 1326

Решите уравнение:

а) х + 2,8 = 3,72 + 0,38; в) 2 - 6,8 = 8,7 + 6,4;
б) 4,1 + у = 20,3 - 4,9; г) 10 - и + 4,3 = 10,7.

Ответ на задание



Задача № 1327

С одной станции в противоположных направлениях вышли два поезда в одно и то же время. Скорость одного поезда 65 км/ч, а скорость другого на а км/ч больше. Какое расстояние будет между поездами через 3 ч? Составьте выражение для решения задачи и найдите его значение при а = 10; 25; 40

Ответы на задание



Задача № 1328

Решите задачу:

1) Скорость дельфина в 2 раза больше скорости акулы. Скорость акулы на 25 км/ч меньше скорости дельфина. Какова скорость каждого животного?
2) Масса петуха меньше массы индюка в 5 раз, а масса индюка на 8 кг больше массы петуха. Какова масса каждой птицы?

Ответ на задачу



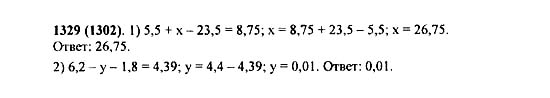
Задача № 1329

Решите уравнение: 1) 5,5 + х - 23,5 = 8,75; 2)6,2-1/-1,8 = 4,39.

Ответ на задание



Задача № 1330

Найдите значение выражения:

а) 84,25 • 3; в) 0,125 • 312; д) (4,8 + 3,5) • 15;
б) 0,255 • 28; г) 6,75 • 144; е) (18,6 - 9,1) • 32.

Ответ на задачку

Фото: 3734029.jpg (28.9 Kb) · 4104692.jpg (35.3 Kb) · 3025804.jpg (41.2 Kb) · 5941077.jpg (23.2 Kb) · 6582199.jpg (24.7 Kb)
 
 
БрошкаДата: Понедельник, 29.12.2014, 11:40 | Сообщение # 267
Генерал-майор
Группа: Проверенные
Сообщений: 378
Награды: 0
Репутация: 0
Статус: Offline


 
Работай из дома! 18+
 
 


Задача № 1331

Найдите периметр восьмиугольника, если каждая его сторона имеет длину 3,75 см.

Ответ на задание



Задача № 1332

Каждый ящик с яблоками имеет массу 30,25 кг. Найдите массу 76 таких ящиков.

Ответы на задание



Задача № 1333

Найдите значение произведения:

а) 4,55 • 10; г) 8,354 • 100; ж) 3,8457 • 1000;
б) 18,3 • 10; д) 2,3 • 100; з) 0,0358 • 1000;
в) 0,235 • 10; е) 0,048 • 100; и) 0,003 • 1000

Ответ на задачу



Задача № 1334

Найдите значение выражения:

Ответ на задание



Задача № 1335

Никита проехал 3 ч на автобусе и 4 ч на поезде. На сколько километров больше Никита проехал на поезде, чем на автобусе, если скорость автобуса была 40,6 км/ч, а скорость поезда — 55,2 км/ч?

Ответ на задачку

Фото: 7745897.jpg (17.9 Kb) · 8131660.jpg (18.6 Kb) · 8600672.jpg (27.2 Kb) · 5710036.jpg (29.6 Kb) · 8811078.jpg (20.7 Kb)
 
 
БрошкаДата: Понедельник, 29.12.2014, 11:43 | Сообщение # 268
Генерал-майор
Группа: Проверенные
Сообщений: 378
Награды: 0
Репутация: 0
Статус: Offline


 
Работай из дома! 18+
 
 


Задача № 1336

На автомобиль погрузили 6 ящиков, по 0,25 т каждый, и 3 контейнера, по 0,44 т каждый. Какова масса всего этого груза?

Ответ на задание



Задача № 1337

Велосипедист проехал за час 12 км. Какое расстояние он проедет с той же скоростью: за 4 ч;

Ответы на задание



Задача № 1338

Масса пирога 1600 г. Какова масса 3 таких пирогов? 1/8 пирога? 3/8 пирога?

Ответ на задачу



Задача № 1339

Вместо звездочек поставьте пропущенные цифры:

Ответ на задание



Задача № 1340

. Выполните деление:

а) 20,7 : 9; б) 243,2 : 8;
в) 88,298 г) 772,8 :
д) 93,15 : е) 0,644 : : 7 12 23 92
ж) 1 : 80; з) 0,909 : 45;
и) 3 : 32; к) 0,01242 : 69;
л) 1,016 : 8; м) 7,368 : 24.

Ответ на задачку

Фото: 8215296.jpg (18.8 Kb) · 6939521.jpg (20.4 Kb) · 6894636.jpg (23.2 Kb) · 5447982.jpg (19.8 Kb) · 6954256.jpg (40.4 Kb)
 
 
БрошкаДата: Понедельник, 29.12.2014, 11:46 | Сообщение # 269
Генерал-майор
Группа: Проверенные
Сообщений: 378
Награды: 0
Репутация: 0
Статус: Offline


 
Работай из дома! 18+
 
 


Задача № 1341

В самолет для полярной экспедиции загрузили 3 трактора, массой 1,2 т каждый, и 7 аэросаней. Масса всех аэросаней на 2 т больше массы тракторов. Какова масса одних аэросаней?

Ответ на задание



Задача № 1342

Стороны одного прямоугольника 12 см и 6,6 см. Площадь второго прямоугольника в 11 раз меньше площади первого. Найдите ширину второго прямоугольника, если его длина 8 см.

Ответы на задание



Задача № 1343

Турист должен был пройти за два дня 25,2 км. В первый день он прошел 3/7 пути. Сколько километров прошел турист во второй день?

Ответ на задачу



Задача № 1344

Собрали 36,9 т клубники. На консервный завод отправили 7/9 собранной клубники, а остальную клубнику передали для продажи населению. Сколько тонн клубники было продано населению?

Ответ на задание



Задача № 1345

Для посева было приготовлено 25,2 т семян. В первый день на посев израсходовали 4/9 всех семян, а во второй — 4/7 остатка. Сколько семян осталось после двух дней посева?

Ответ на задачку

Фото: 7625567.jpg (18.8 Kb) · 8307232.jpg (20.4 Kb) · 2513152.jpg (21.2 Kb) · 1278123.jpg (21.7 Kb) · 5432961.jpg (27.1 Kb)
 
 
БрошкаДата: Понедельник, 29.12.2014, 11:50 | Сообщение # 270
Генерал-майор
Группа: Проверенные
Сообщений: 378
Награды: 0
Репутация: 0
Статус: Offline


 
Работай из дома! 18+
 
 


Задача № 1346

На соревнованиях по бегу Вася пробежал дистанцию за 1,2 мин, что составило 5/6 времени, затраченного Колей на эту же дистанцию. За какое время Коля пробежал дистанцию?

Ответ на задание



Задача № 1347

Электрифицировано 16,1 км железной дороги, что составляет 7/9 всей дороги между двумя станциями. Какова длина дороги между этими станциями?

Ответы на задание



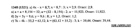
Задача № 1348

Решите уравнение:

а) 4х - х = 8,7; в) а + а + 8,154 = 32;
б) Зу + 5у = 9,6; г) Ik - 4/г - 55,2 = 63,12

Ответ на задачу



Задача № 1349

В двух корзинах 16,8 кг помидоров. В одной корзине в 2 раза больше помидоров, чем в другой. Сколько килограммов помидоров в каждой корзине?

Ответ на задание



Задача № 1350

Площадь первого поля в 5 раз больше площади второго. Чему равна площадь каждого поля, если площадь второго на 23,2 га меньше площади первого?

Ответ на задачку





Продолжение решебника по Математике для 5-го класса

Фото: 8925188.jpg (18.6 Kb) · 4624705.jpg (18.9 Kb) · 4407948.jpg (29.2 Kb) · 4874102.jpg (32.6 Kb) · 4545294.jpg (28.1 Kb)
 
 
Поиск:

Работай из дома! 18+
 
 
 
 
 
 

 
Последние темы на форуме:
 
  • Новогодние праздники 2021-2022 официальные выходные
  • Показатели давления и сердцебиения у женщины 57 лет
  • Гороскоп на декабрь 2021 Женщина Телец
  • Гороскоп на январь 2022 от Павла Глоба
  • Гороскоп на декабрь 2021 от Павла Глоба
  • Гороскоп на ноябрь 2021 от Павла Глоба
  • Стенограмма судьбы - Содержание серий, актеры и роли сериала
  • Мосгаз. Западня - Содержание серий, актеры и роли 2021
  • Тобол - Содержание серий, актеры и роли сериала. 2021
  • Гороскоп для Тигра на сегодня от Павла Глоба
  • Утраченные воспоминания - Содержание серий, актеры и роли
  • Чёрно-белая любовь - Содержание серий, актеры и роли сериала
  • Забытая женщина - Содержание серий, актеры и роли сериала
  • Тайна спящей дамы - Содержание серий, актеры и роли сериала
  • Сериал Часы с кукушкой - Содержание серий, актеры и роли
  •  
     

     
    Обращаем ваше внимание на то, что данный интернет-сайт www.kinolog.do.am носит исключительно информационный характер и ни при каких условиях не является публичной офертой, определяемой положениями Статьи 437 (2) Гражданского кодекса РФ. Цена и наличие товара может отличаться от действительной. Пожалуйста, уточняйте цены и наличие товара у наших менеджеров.
    Администрация сайта не несет ответственности за действия и содержание размещаемой информации пользователей: комментарии, материалы, сообщения и темы на форуме, публикации, объявления и т.д.
    Правообладателям | Реклама | Учебники | Политика
    Отопление, водоснабжение, газоснабжение, канализация © 2003 - 2021
    Рейтинг@Mail.ru Рейтинг арматурных сайтов. ARMTORG.RU Яндекс.Метрика