[ Новые сообщения · Участники · Правила форума · Поиск · RSS ]
 
Работай из дома! 18+

ГДЗ по Математике. 5 класс
БрошкаДата: Понедельник, 29.12.2014, 09:23 | Сообщение # 241
Генерал-майор
Группа: Проверенные
Сообщений: 378
Награды: 0
Репутация: 0
Статус: Offline


 
Работай из дома! 18+
 
 




Задача № 1201

Напишите все цифры, которые можно поставить вместо звездочки, чтобы получилось верное неравенство: а) 0,*3 > 0,13; в) 5,64 > 5,*8; д) 12,*4 > 12,53; б) 0,1* < 0,18; г) 3,51 < 3,*1; е) 0,001 < 0,0*1.

Ответ на задание



Задача № 1202

Напишите число, меньшее 0,000001.

Ответы на задание



Задача № 1203

Примите за единичный отрезок длину десяти клеток тетради и отметьте на координатном луче точки: А(0,7), В(1,2), С(1,8).

Ответ на задачу



Задача № 1204

Разложите по разрядам 49 008 и 67 813 742.

Ответ на задание



Задача № 1205

Выполните действия:

Ответ на задачку

Фото: 7419843.jpg (32.1 Kb) · 2217647.jpg (16.5 Kb) · 5745536.jpg (18.3 Kb) · 9383566.jpg (22.1 Kb) · 6388864.jpg (43.3 Kb)
 
 
БрошкаДата: Понедельник, 29.12.2014, 09:28 | Сообщение # 242
Генерал-майор
Группа: Проверенные
Сообщений: 378
Награды: 0
Репутация: 0
Статус: Offline


 
Работай из дома! 18+
 
 


Задача № 1206

Два поезда вышли в разное время навстречу друг другу из двух городов, расстояние между которыми 782 км. Скорость первого поезда 52 км/ч, а второго 61 км/ч. Пройдя 416 км, первый поезд встретился со вторым. На сколько один из поездов вышел раньше другого?

Ответ на задание



Задача № 1207

С одной и той же станции в одно и то же время вышли в противоположных направлениях два поезда. Скорость одного поезда 50 км/ч, а скорость другого 85 км/ч. Через какое время расстояние между ними будет равно 540 км?

Ответы на задание



Задача № 1208

Чтобы добраться из города до села, я проехал 5 ч на поезде, 2 ч на автобусе и 3 ч прошел пешком. Скорость автобуса была 35 км/ч, скорость поезда вдвое больше скорости автобуса, а пешком я шел со скоростью, на 65 км/ч меньшей, чем скорость поезда. Какой путь я проделал от города до села?

Ответ на задачу



Задача № 1209

Поле в 1260 га засеяли озимой пшеницей вместо яровой и собрали по 28 ц зерна с гектара. Урожайность яровой пшеницы была 18 ц с гектара. Какую прибавку зерна получили со всей площади?

Ответ на задание



Задача № 1210

Решите уравнение:

а) 14л: - (8дг + Зх) = 1512;
б) 11 у - (5у - 3у) = 8136.

Ответ на задачку

Фото: 8195711.jpg (28.0 Kb) · 5191554.jpg (21.9 Kb) · 5208140.jpg (25.5 Kb) · 0994471.jpg (20.7 Kb) · 6293644.jpg (22.9 Kb)
 
 
БрошкаДата: Понедельник, 29.12.2014, 09:33 | Сообщение # 243
Генерал-майор
Группа: Проверенные
Сообщений: 378
Награды: 0
Репутация: 0
Статус: Offline


 
Работай из дома! 18+
 
 


Задача № 1211

На пальто израсходовали 3,2 м ткани, а на костюм — 2,63 м. Сколько ткани израсходовали на пальто и костюм вместе? Решите задачу сложением десятичных дробей и путем перехода к сантиметрам.

Ответ на задание



Задача № 1212

Масса автомобиля «Нива» 11,5 ц, а масса автомобиля «Волга» 14,2 ц. На сколько масса «Волги» больше массы «Нивы»? Решите задачу с помощью десятичных дробей и переводом данных в килограммы.

Ответы на задание



Задача № 1213

Выполните сложение:

а) 0,769 + 42,389;
б) 5,8 + 22,191;
в) 95,381 + 3,219;
г) 8,9021 + 0,68;
д) 2,7 + 1,35 + 0,8;
е) 13,75 + 8,2 + 0,115.

Ответ на задачу



Задача № 1214

Выполните вычитание:

а) 9,4 - 7,3; б) 16,78 - 5,48;
в) 7,79 - 3,79; г) 11,1 - 2,8;
д) 88,252 - 4,69; е) 6,6 - 5,99.

Ответ на задание



Задача № 1215

С одного участка собрали 95,37 т зерна, а с другого — на 16,8 т больше. Сколько тонн зерна собрали с двух участков?

Ответ на задачку

Фото: 2432374.jpg (21.8 Kb) · 7625056.jpg (21.8 Kb) · 6988262.jpg (27.3 Kb) · 2361972.jpg (22.7 Kb) · 1314340.jpg (20.0 Kb)
 
 
БрошкаДата: Понедельник, 29.12.2014, 09:38 | Сообщение # 244
Генерал-майор
Группа: Проверенные
Сообщений: 378
Награды: 0
Репутация: 0
Статус: Offline


 
Работай из дома! 18+
 
 


Задача № 1216

Один тракторист вспахал 13,8 га земли, что оказалось на 4,7 га меньше, чем вспахал второй тракторист. Сколько гектаров земли вспахали оба тракториста вместе?

Ответ на задание



Задача № 1217

От куска провода длиной 30 м отрезали 4,75 м. Сколько метров провода осталось в куске?

Ответы на задание



Задача № 1218

Груз, поднимаемый вертолетом, легче вертолета на 4,72 т. Какова масса вертолета вместе с грузом, если масса груза 1,24 т?

Ответ на задачу



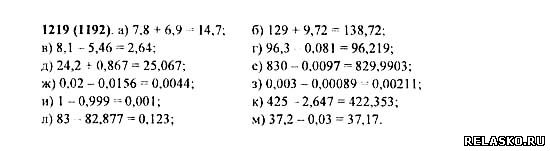
Задача № 1219

Выполните действие:

а) 7,8 + 6,9; д) 24,2 + 0,867; и) 1 - 0,999;
б) 129 + 9,72; е) 830 - 0,0097; к) 425 - 2,647;
в) 8,1 - 5,46; ж) 0,02 - 0,0156; л) 83 - 82,877;
г) 96,3 - 0,081; з) 0,003 - 0,00089; м) 37,2 - 0,03.

Ответ на задание



Задача № 1220

Собственная скорость катера (скорость в стоячей воде) равна 21,6 км/ч, а скорость течения реки 4,7 км/ч. Найдите скорость катера по течению и против течения.

Ответ на задачку

Фото: 8634999.jpg (19.7 Kb) · 5402304.jpg (17.7 Kb) · 7942364.jpg (19.9 Kb) · 4458612.jpg (33.0 Kb) · 6998657.jpg (22.6 Kb)
 
 
БрошкаДата: Понедельник, 29.12.2014, 09:40 | Сообщение # 245
Генерал-майор
Группа: Проверенные
Сообщений: 378
Награды: 0
Репутация: 0
Статус: Offline


 
Работай из дома! 18+
 
 


Задача № 1221

Скорость теплохода по течению равна 37,6 км/ч. Найдите собственную скорость теплохода и его скорость против течения, если скорость течения реки 3,9 км/ч.

Ответ на задание



Задача № 1222

Скорость велосипедиста 15 км/ч, а скорость пешехода на 9,7 км/ч меньше. На сколько уменьшится расстояние между ними за 1 ч, если они движутся навстречу друг другу? На сколько увеличивается расстояние между ними за 1 ч, если они движутся из одной точки в противоположные стороны?

Ответы на задание



Задача № 1223

Расстояние между городами 156 км. Из них навстречу друг другу выехали два велосипедиста. Один проезжает в час 13,6 км, а второй — 10,4 км. Через сколько часов они встретятся?

Ответ на задачу



Задача № 1224

Веревку разрезали на пять кусков. Первый кусок больше второго на 4,2 м, но меньше третьего на 2,3 м. Четвертый кусок больше пятого на 3,7 м, но меньше третьего на 1,3 м. Какова длина веревки, если длина четвертого куска 7,8 м?

Ответ на задание



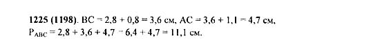
Задача № 1225

Найдите периметр треугольника ABC, если АВ = 2,8 см, ВС больше АВ на 0,8 см, но меньше АС на 1,1 см.

Ответ на задачку

Фото: 3159659.jpg (22.7 Kb) · 0835670.jpg (27.9 Kb) · 6494411.jpg (25.3 Kb) · 5127485.jpg (28.0 Kb) · 9896230.jpg (19.9 Kb)
 
 
БрошкаДата: Понедельник, 29.12.2014, 09:44 | Сообщение # 246
Генерал-майор
Группа: Проверенные
Сообщений: 378
Награды: 0
Репутация: 0
Статус: Offline


 
Работай из дома! 18+
 
 


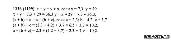
Задача № 1226

Используя буквы х и у> запишите переместительное свойство сложения и проверьте его, если х = 7,3, а у = 29. Используя буквы a, b и с, запишите сочетательное свойство сложения и проверьте его при а = 2,3; b = 4,2 и с = 3,7.

Ответ на задание



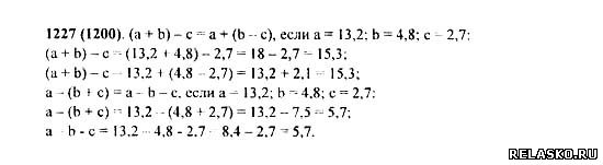
Задача № 1227

Используя буквы а, Ь и с, запишите свойство вычитания числа из суммы и свойство вычитания суммы из числа. Проверьте эти свойствапри а = 13,2; b = 4,8 и с = 2,7.

Ответы на задание



Задача № 1228

Используя свойства сложения и вычитания, вычислите самым удобным способом значение выражения:

а) 2,31 + (7,65 + 8,69);
б) 0,387 + (0,613 + 3,142);
в) (7,891 + 3,9) + (6,1 + 2,109);
г) 14,537 - (2,237 + 5,9);
д) (24,302 + 17,879) - 1,302;
е) (25,243 + 17,77) - 2,77.

Ответ на задачу



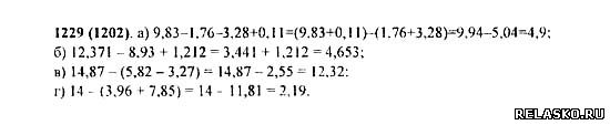
Задача № 1229

Выполните действия:

а) 9,83 - 1,76 - 3,28 + 0,11; в) 14,87 - (5,82 - 3,27);
б) 12,371 - 8,93 4- 1,212; г) 14 - (3,96 + 7,85).

Ответ на задание



Задача № 1230

Сколько единиц в каждом разряде числа: 32,547; 2,6034?

Ответ на задачку

Фото: 3279921.jpg (27.5 Kb) · 6771326.jpg (31.1 Kb) · 4279871.jpg (41.0 Kb) · 7007992.jpg (27.2 Kb) · 8081330.jpg (30.9 Kb)
 
 
БрошкаДата: Понедельник, 29.12.2014, 09:48 | Сообщение # 247
Генерал-майор
Группа: Проверенные
Сообщений: 378
Награды: 0
Репутация: 0
Статус: Offline


 
Работай из дома! 18+
 
 


Задача № 1231

Разложите по разрядам число:

а) 24,578; б) 0,520001.

Ответ на задание



Задача № 1232

Запишите десятичную дробь, в которой:

а) 15 целых, 3 десятых, 7 сотых и 9 тысячных;
б) 0 целых, 3 десятых, 0 сотых и 4 тысячных.

Ответы на задание



Задача № 1233

Выразите длину отрезка АВ = 5 м 7 дм 6 см 2 мм:

а) в метрах; в) в сантиметрах;
б) в дециметрах; г) в миллиметрах.

Выразите длину отрезка СМ в метрах, дециметрах, сантиметрах и миллиметрах, если СМ = 4,573 м.

Ответ на задачу



Задача № 1234

Отметьте на координатном луче точки с координатами: 0,46; 0,8; 1,25; 0,36; 0,77; 1,47. Единичный отрезок равен 1 дм.

Ответ на задание



Задача № 1235

Найдите координаты точек А, B, С, D и К (рис. 146).

Ответ на задачку

Фото: 3956004.jpg (19.3 Kb) · 3009221.jpg (16.1 Kb) · 2368377.jpg (30.4 Kb) · 8419670.jpg (19.5 Kb) · 3616218.jpg (17.3 Kb)
 
 
БрошкаДата: Понедельник, 29.12.2014, 09:56 | Сообщение # 248
Генерал-майор
Группа: Проверенные
Сообщений: 378
Награды: 0
Репутация: 0
Статус: Offline


 
Работай из дома! 18+
 
 


Задача № 1236

Зная, что 11,87 - 7,39 = 4,48, найдите значение выражения или решите уравнение:

а) 7,39 + 4,48; г) 7,39 + у = 11,87;
б) 11,87 - 4,48; д) 4,48 + z = 11,87;
в) х- 7,39 = 4,48; е) 11,87 - р = 7,39.

Ответ на задание



Задача № 1237

Прочитайте показания термометров (рис. 147). Сколько градусов будет показывать каждый из них, если его столбик: а) поднимется на 4 малых деления; на 2 больших деления; на 0,5°С; на 1,3°С; б) опустится на 7 малых делений; на одно большое деление; на 0,3°С; на 1,4°С?

Ответы на задание



Задача № 1238

.Решите уравнение:

Ответ на задачу



Задача № 1239

Вычислите устно:

Ответ на задание



Задача № 1240

Восстановите цепочку вычислений:

Ответ на задачку

Фото: 3309949.jpg (28.3 Kb) · 1550635.jpg (80.9 Kb) · 5254927.jpg (31.8 Kb) · 1227891.jpg (24.4 Kb) · 4979981.jpg (47.5 Kb)
 
 
БрошкаДата: Понедельник, 29.12.2014, 09:59 | Сообщение # 249
Генерал-майор
Группа: Проверенные
Сообщений: 378
Награды: 0
Репутация: 0
Статус: Offline


 
Работай из дома! 18+
 
 


Задача № 1241

Назовите какое-либо число, расположенное на координатном луче:

а) между числами 0,1 и 0,2;
б) между 0,02 и 0,03;
в) левее 0,001, но правее 0.

Ответ на задание



Задача № 1242

Какую часть квадратного метра составляет:

а) 1 дм2; б) 1 см2; в) 10 дм2; г) 100 см2?

Ответы на задание



Задача № 1243

Стороны треугольника 3/7 4/7 5/7. Найдите его периметр.

Ответ на задачу



Задача № 1244

Найдите число, если 3/10 его равны: 30; 15; 6.

Ответ на задание



Задача № 1245

Какая часть периода хоккейного матча сыграна, если с начала матча прошло: 5 мин; 10 мин; 15 мин; 1 мин 20 с; 20 с? (Период продолжается 20 мин.)

Ответ на задачку

Фото: 5590267.jpg (18.6 Kb) · 7591897.jpg (19.2 Kb) · 8564600.jpg (19.2 Kb) · 7001634.jpg (18.7 Kb) · 0495922.jpg (21.7 Kb)
 
 
БрошкаДата: Понедельник, 29.12.2014, 10:02 | Сообщение # 250
Генерал-майор
Группа: Проверенные
Сообщений: 378
Награды: 0
Репутация: 0
Статус: Offline


 
Работай из дома! 18+
 
 


Задача № 1246

Сколько Буратино заплатил за арбуз, который стоил 20 сольдо и еще пол-арбуза?

Ответ на задание



Задача № 1247

Сравните числа:

а) 12,567 и 125,67; б) 7,399 и 7,4.

Ответы на задание



Задача № 1248

Между какими двумя соседними натуральными числами находится число:

а) 5,1; б)6,32; в) 9,999; г) 25,257?

Ответ на задачу



Задача № 1249

Расставьте в порядке убывания числа: 0,915; 2,314; 0,9078; 2,316; 2,31; 10,45.

Ответ на задание



Задача № 1250

Расставьте в порядке возрастания величины: 8,09 км; 8165,3 м; 8 154 257 мм; 815 376 см.

Ответ на задачку

Фото: 8017558.jpg (20.0 Kb) · 9762394.jpg (17.0 Kb) · 5049987.jpg (18.6 Kb) · 4388661.jpg (17.5 Kb) · 1894690.jpg (24.2 Kb)
 
 
БрошкаДата: Понедельник, 29.12.2014, 10:06 | Сообщение # 251
Генерал-майор
Группа: Проверенные
Сообщений: 378
Награды: 0
Репутация: 0
Статус: Offline


 
Работай из дома! 18+
 
 


Задача № 1251

Решите уравнение:

Ответ на задание



Задача № 1252

Выразите:

а) в метрах: 17 м 8 см; 8 м 17 см; 4 см; 15 дм; б) в тоннах: 3 т 8 ц 67 кг; 1244 кг; 710 кг.

Ответы на задание



Задача № 1253

Решите задачу: 1) На машину погрузили 7 одинаковых мешков с мукой и 12 одинаковых мешков с крупой. Масса мешка с мукой в 2 раза больше массы мешка с крупой. Найдите массу мешка с мукой и мешка с крупой, если всего на машину погрузили 780 кг.
2) Масса индюка меньше массы овцы в 3 раза, а масса трех таких овец больше массы пяти индюков на 60 кг. Какова масса одного индюка и какова масса одной овцы?

Ответ на задачу



Задача № 1254

Разгадайте чайнворд, помещенный на форзаце в конце учебника.

Ответ на задание



Задача № 1255

Выполните сложение:

а) 395,486 + 4,58; г) 1,9679 + 269,0121;
б) 7,6 + 908,67; д) 23,84 + 0,267;
в) 0,54 + 24,1789; е) 0,01237 + 0,0009876.

Ответ на задачку

Фото: 4974388.jpg (30.6 Kb) · 6549105.jpg (23.0 Kb) · 8827188.jpg (42.8 Kb) · 1749179.jpg (24.6 Kb) · 3763466.jpg (26.3 Kb)
 
 
БрошкаДата: Понедельник, 29.12.2014, 10:10 | Сообщение # 252
Генерал-майор
Группа: Проверенные
Сообщений: 378
Награды: 0
Репутация: 0
Статус: Offline


 
Работай из дома! 18+
 
 


Задача № 1256

Выполните вычитание:

а) 0,59 - 0,27; г) 18,01 - 2,9; ж) 7,45 - 4,45;
б) 6,05 - 2,87; д) 15 - 1,12; з) 206,48 - 90,507;
в) 3,1 - 0,09; е) 3 - 0,07; и) 0,067 - 0,00389.

Ответ на задание



Задача № 1257

Одна из сторон треугольника 83,6 см, вторая на 14,8 см длиннее первой, а третья на 8,6 см длиннее второй. Найдите периметр треугольника.

Ответы на задание



Задача № 1258

Трубу длиной 9,35 м разрезали на две части. Длина одной части 2,89 м. На сколько метров вторая часть длиннее первой?

Ответ на задачу



Задача № 1259

Воздушный шар состоит из оболочки, гондолы для пассажиров и газовой горелки для нагрева воздуха внутри оболочки. Масса гондолы 0,24 т, и она меньше массы оболочки на 0,32 т, но больше массы газовой горелки на 0,15 т. Какова масса воздушного шара?

Ответ на задание



Задача № 1260

Автомашина в первый час прошла 48,3 км, во второй час — на 15,8 км меньше, чем в первый, а в третий час — на 24,3 км меньше, чем за первые два часа вместе. Какой путь прошла автомашина за эти три часа?

Ответ на задачку

Фото: 9841656.jpg (28.2 Kb) · 0295630.jpg (26.3 Kb) · 1418150.jpg (22.0 Kb) · 7299577.jpg (24.0 Kb) · 5273173.jpg (27.2 Kb)
 
 
БрошкаДата: Понедельник, 29.12.2014, 10:20 | Сообщение # 253
Генерал-майор
Группа: Проверенные
Сообщений: 378
Награды: 0
Репутация: 0
Статус: Offline


 
Работай из дома! 18+
 
 


Задача № 1261

Собственная скорость теплохода 40,5 км/ч, а скорость течения 5,8 км/ч. Найдите скорость теплохода по течению и против течения.

Ответ на задание



Задача № 1262

Скорость катера по течению 23,7 км/ч. Найдите собственную скорость катера и его скорость против течения, если скорость течения 3,8 км/ч.

Ответы на задание



Задача № 1263

Выполните действия:

а) 73,12 - (5,34 + 13,12);
б) 101,3 + (84,7 + 1,11);
в) (47,28 - 34,98) + (55,02 + 34,98);
г) (46,83 + 15,77) - (6,83 - 5,77)

Ответ на задачу



Задача № 1264

Ответ на задание



Задача № 1265

Разложите по разрядам числа: 41,87; 0,6098; 13,5401.

Ответ на задачку

Фото: 8149026.jpg (22.1 Kb) · 5267668.jpg (22.0 Kb) · 6058791.jpg (33.3 Kb) · 2941828.jpg (20.9 Kb) · 0356114.jpg (16.0 Kb)


 
 
БрошкаДата: Понедельник, 29.12.2014, 10:26 | Сообщение # 254
Генерал-майор
Группа: Проверенные
Сообщений: 378
Награды: 0
Репутация: 0
Статус: Offline


 
Работай из дома! 18+
 
 


Задача № 1266

Выразите длину отрезка АВ в метрах, дециметрах, сантиметрах и миллиметрах, если АВ = 8,906 м.

Ответ на задание



Задача № 1267

Отметьте на координатном луче числа: 0,25; 0,5; 0,9; 0,37; 0,73; 1,24. За единичный отрезок примите 1 дм.

Ответы на задание



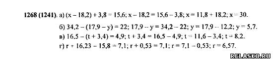
Задача № 1268

Решите уравнение:

а) (х - 18,2) + 3,8 = 15,6; в) 16,5 - (t + 3,4) = 4,9; б) 34,2 - (17,9 - у) = 22; г) г + 16,23 - 15,8 = 7,1.

Ответ на задачу



Задача № 1269

Объем прямоугольного параллелепипеда 84 см3. Этот параллелепипед разделили на две части. Найдите объем каждой части, если: а) объем одной части в 6 раз больше объема другой; б) объем одной части на 40 см3 больше объема другой.

Ответ на задание



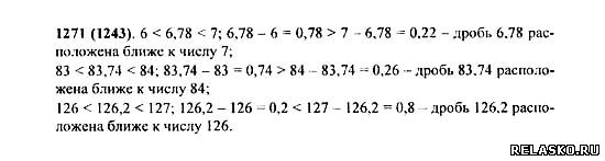
Задача № 1270

Между какими соседними натуральными числами расположена каждая из дробей: 6,78; 83,74; 126,2? К какому из этих чисел дробь ближе?

Ответ на задачку

Фото: 0886883.jpg (17.4 Kb) · 6619427.jpg (19.0 Kb) · 8693276.jpg (30.4 Kb) · 2630003.jpg (49.8 Kb) · 3806901.jpg (35.2 Kb)
 
 
БрошкаДата: Понедельник, 29.12.2014, 10:29 | Сообщение # 255
Генерал-майор
Группа: Проверенные
Сообщений: 378
Награды: 0
Репутация: 0
Статус: Offline


 
Работай из дома! 18+
 
 


Задача № 1271

Длина прямоугольника х см, а его ширина у см. Укажите приближенные значения с недостатком и с избытком для периметра и для площади этого прямоугольника, если: а) 7 < х < 8, 3 < у < 4; б) 20 < х < 25, 16 < у < 18.

Ответ на задание



Задача № 1272

Округлите до единиц дроби: 7,265; 11,638; 0,23; 8,5; 300,499; 6,5108; 0,8.

Ответы на задание



Задача № 1273

Старинная русская мера массы пуд равна 16,38 кг. Округлите это значение до целых, до десятых. Старинная русская мера длины верста равна 1067 м. Округлите это значение до десятков, до сотен. Старинная русская мера длины сажень равна 2,13 м. Округлите это значение до целых, до десятых.

Ответ на задачу



Задача № 1274

Округлите дроби:

а) 2,781; 3,1423; 203,962; 80,46 до десятых; б) 0,07268; 1,35506; 10,081; 76,544; 4,455 до сотых; в) 167,1; 2085,04; 444,4; 300,7; 137 до десятков.

Ответ на задание



Задача № 1275

Одна деталь имеет массу 13,26 кг, вторая — 14,43 кг, третья — 1,66 кг, а четвертая — 15,875 кг. Найдите общую массу этих четырех деталей и округлите результат до десятых долей килограмма. Сравните ответ с результатом, полученным, если сначала округлить данные задачи до десятых долей, а потом ее решить.

Ответ на задачку



Продолжение решебника по Математике для 5-го класса

Фото: 6932863.jpg (34.0 Kb) · 3744483.jpg (36.5 Kb) · 1574438.jpg (19.3 Kb) · 6947888.jpg (21.0 Kb) · 4021060.jpg (28.2 Kb)
 
 
Поиск:

Работай из дома! 18+
 
 
 
 
 
 

 
Последние темы на форуме:
 
  • Новогодние праздники 2021-2022 официальные выходные
  • Показатели давления и сердцебиения у женщины 57 лет
  • Гороскоп на декабрь 2021 Женщина Телец
  • Гороскоп на январь 2022 от Павла Глоба
  • Гороскоп на декабрь 2021 от Павла Глоба
  • Гороскоп на ноябрь 2021 от Павла Глоба
  • Стенограмма судьбы - Содержание серий, актеры и роли сериала
  • Мосгаз. Западня - Содержание серий, актеры и роли 2021
  • Тобол - Содержание серий, актеры и роли сериала. 2021
  • Гороскоп для Тигра на сегодня от Павла Глоба
  • Утраченные воспоминания - Содержание серий, актеры и роли
  • Чёрно-белая любовь - Содержание серий, актеры и роли сериала
  • Забытая женщина - Содержание серий, актеры и роли сериала
  • Тайна спящей дамы - Содержание серий, актеры и роли сериала
  • Сериал Часы с кукушкой - Содержание серий, актеры и роли
  •  
     

     
    Обращаем ваше внимание на то, что данный интернет-сайт www.kinolog.do.am носит исключительно информационный характер и ни при каких условиях не является публичной офертой, определяемой положениями Статьи 437 (2) Гражданского кодекса РФ. Цена и наличие товара может отличаться от действительной. Пожалуйста, уточняйте цены и наличие товара у наших менеджеров.
    Администрация сайта не несет ответственности за действия и содержание размещаемой информации пользователей: комментарии, материалы, сообщения и темы на форуме, публикации, объявления и т.д.
    Правообладателям | Реклама | Учебники | Политика
    Отопление, водоснабжение, газоснабжение, канализация © 2003 - 2021
    Рейтинг@Mail.ru Рейтинг арматурных сайтов. ARMTORG.RU Яндекс.Метрика