[ Новые сообщения · Участники · Правила форума · Поиск · RSS ]
 
Работай из дома! 18+

ГДЗ по Математике. 5 класс
БрошкаДата: Понедельник, 29.12.2014, 11:53 | Сообщение # 271
Генерал-майор
Группа: Проверенные
Сообщений: 378
Награды: 0
Репутация: 0
Статус: Offline


 
Работай из дома! 18+
 
 




Задача № 1351

Для приготовления компота составили смесь из 8 частей (по массе) сухих яблок, 4 частей урюка и 3 частей изюма. Сколько килограммов каждого из сухофруктов понадобилось для 2,7 кг такой смеси?

Ответ на задание



Задача № 1352

В двух мешках 1,28 ц муки. В первом мешке на 0,12 ц муки больше, чем во втором. Сколько центнеров муки в каждом мешке?

Ответы на задание



Задача № 1353

В двух корзинах 18,6 кг яблок. В первой корзине яблок на 2,4 кг меньше, чем во второй. Сколько килограммов яблок в каждой корзине?

Ответ на задачу



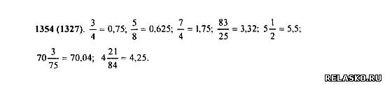
Задача № 1354

Представьте в виде десятичной дроби:

Ответ на задание



Задача № 1355

Чтобы собрать 100 г меда, пчела доставляет в улей 16 тыс. нош нектара. Какова масса одной ноши нектара?

Ответ на задачку

Фото: 0558828.jpg (32.8 Kb) · 2556616.jpg (32.1 Kb) · 3263525.jpg (31.9 Kb) · 7114095.jpg (21.4 Kb) · 3020432.jpg (18.7 Kb)
 
 
БрошкаДата: Понедельник, 29.12.2014, 11:59 | Сообщение # 272
Генерал-майор
Группа: Проверенные
Сообщений: 378
Награды: 0
Репутация: 0
Статус: Offline


 
Работай из дома! 18+
 
 


Задача № 1356

В пузырьке 30 г лекарства. Найдите массу одной капли лекарства, если в пузырьке 1500 капель

Ответ на задание



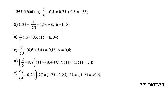
Задача № 1357

Представьте обыкновенную дробь в виде десятичной и выполните действия:

Ответы на задание



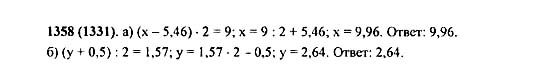
Задача № 1358

Вычислите:

Ответ на задачу



Задача № 1359

Вычислите:

Ответ на задание



Задача № 1360

Вычислите:

Ответ на задачку

Фото: 3190212.jpg (18.5 Kb) · 2882287.jpg (33.3 Kb) · 3451136.jpg (22.6 Kb) · 0100521.jpg (46.6 Kb) · 3458336.jpg (35.1 Kb)
 
 
БрошкаДата: Понедельник, 29.12.2014, 12:02 | Сообщение # 273
Генерал-майор
Группа: Проверенные
Сообщений: 378
Награды: 0
Репутация: 0
Статус: Offline


 
Работай из дома! 18+
 
 


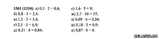
Задача № 1361

Выполните умножение:

Ответ на задание



Задача № 1362

а) 0,3 • 2; б) 0,8 • 3; в) 1,2 • 2; Догадайтесь, а) 2,9* = 2,9; б) 5,25* = 0; г) 2,3 • 3; Д) 0,21 • 4; е) 1,6 • 5; ж) 3,7 • 10; з) 0,09 • 6; каковы корни уравнения: в) 3,7n = 37; д) а3 = а; е) m2 = тm? и) 0,18 • 5; к) 0,87 • 0.

Ответы на задание



Задача № 1363

Как изменится значение выражения 2,5а, если а: увеличить на 1? увеличить на 2? увеличить в 2 раза?

Ответ на задачу



Задача № 1364

Расскажите, как на координатном луче отметить число: 1/4 3/4 0,25; 0 5; 0,75. Подумайте, какие из данных чисел равны. Какой дроби со знаменателем 4 равны 0,5?

Ответ на задание



Задача № 1365

Подумайте, по какому правилу составлен ряд чисел, и запишите еще два числа этого ряда: а) 1,2; 1,8; 2,4; 3; ... в) 0,9; 1,8; 3,6; 7,2; ... б) 9,6; 8,9; 8,2; 7,5; ... г) 1,2; 0,7; 2,2; 1,4; 3,2; 2,1; ...

Ответ на задачку

Фото: 5187757.jpg (25.3 Kb) · 2274093.jpg (25.9 Kb) · 9973179.jpg (28.3 Kb) · 8697867.jpg (23.2 Kb) · 1232144.jpg (50.6 Kb)
 
 
БрошкаДата: Понедельник, 29.12.2014, 12:05 | Сообщение # 274
Генерал-майор
Группа: Проверенные
Сообщений: 378
Награды: 0
Репутация: 0
Статус: Offline


 
Работай из дома! 18+
 
 


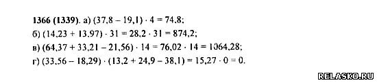
Задача № 1366

Выполните действия:

а) (37,8 - 19,1) • 4; в) (64,37 + 33,21 - 21,56) • 14;
б) (14,23 + 13,97) • 31; г) (33,56 - 18,29) • (13,2 + 24.9 - 38,1).

Ответ на задание



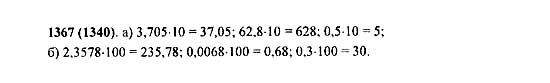
Задача № 1367

Увеличьте каждое из чисел:

а) 3,705; 62,8; 0,5 в 10 раз; б) 2,3578; 0,0068; 0,3 в 100 раз.

Ответы на задание



Задача № 1368

Округлите число 82 719,364: а) до единиц; в) до десятых; д) до тысяч. б) до сотен; г) до сотых;

Ответ на задачу



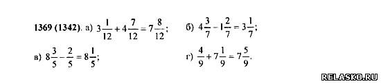
Задача № 1369

Выполните действие:

Ответ на задание



Задача № 1370

Выполните действие:

Ответ на задачку

Фото: 9147254.jpg (25.9 Kb) · 1169112.jpg (21.6 Kb) · 2902458.jpg (23.5 Kb) · 3516360.jpg (21.8 Kb) · 5200148.jpg (19.7 Kb)
 
 
БрошкаДата: Понедельник, 29.12.2014, 12:43 | Сообщение # 275
Генерал-майор
Группа: Проверенные
Сообщений: 378
Награды: 0
Репутация: 0
Статус: Offline


 
Работай из дома! 18+
 
 


Задача № 1371

Коля, Петя, Женя и Сеня взвесились на весах. Получились результаты: 37,7 кг; 42,5 кг; 39,2 кг; 40,8 кг. Найдите массу каждого мальчика, если звестно, что Коля тяжелее Сени и легче Пети, а Женя легче Сени.

Ответ на задание



Задача № 1372

Упростите выражение и найдите его значение:

а) 23,9 - 18,55 - m, если m = 1,64; б) 16,4 + к + 3,8, если k - 2,7.

Ответы на задание



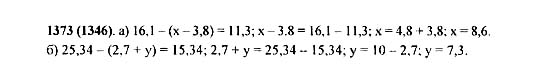
Задача № 1373

Решите уравнения:

Ответ на задачу



Задача № 1374

Найдите значение выражения:

Ответ на задание



Задача № 1375

Выполните деление:

Ответ на задачку

Фото: 6893193.jpg (27.4 Kb) · 0886703.jpg (23.4 Kb) · 3304408.jpg (22.8 Kb) · 1703292.jpg (27.4 Kb) · 7550116.jpg (32.1 Kb)
 
 
БрошкаДата: Понедельник, 29.12.2014, 12:46 | Сообщение # 276
Генерал-майор
Группа: Проверенные
Сообщений: 378
Награды: 0
Репутация: 0
Статус: Offline


 
Работай из дома! 18+
 
 


Задача № 1376

Автомашина шла по шоссе 3 ч со скоростью 65,8 км/ч, а затем 5 ч она шла по грунтовой дороге. С какой скоростью она шла по грунтовой дороге, если весь ее путь равен 324,9 км?

Ответ на задание



Задача № 1377

На складе было 180,4 т угля. Для отопления школ отпущено 3/11 этого угля. Сколько тонн угля осталось на складе?

Ответы на задание



Задача № 1378

Вспахали 5/7 поля. Найдите площадь этого поля, если вспахали 32,5 га.

Ответ на задачу



Задача № 1379

Решите уравнение:

а) 15* = 0,15; е) 8р - 2р - 14,21 = 75,19; б) 3,08 : у = 4; ж) 295,1 : (д - 3) = 13; в) За + 8а = 1,87; з) 34 • (т + 1,2) = 61,2; г) 7г - 32 = 5,12; и) 15 • (k - 0,2) = 21. д) 2t + 5t + 3,18 == 25,3;

Ответ на задание



Задача № 1380

Найдите значение выражения:

а) 0,24 : 4 + 15,3 : 5 + 12,4 : 8 + 0,15 : 30;
б)(1,24 + 3,56) : 16;
в) 2,28 + 3,72 : 12;
г) 3,6 + 2,4 : (11,7 - 3,7).

Ответ на задачку

Фото: 4028331.jpg (20.9 Kb) · 9376604.jpg (21.8 Kb) · 9435591.jpg (17.8 Kb) · 3480016.jpg (46.5 Kb) · 6025725.jpg (28.4 Kb)
 
 
БрошкаДата: Понедельник, 29.12.2014, 12:49 | Сообщение # 277
Генерал-майор
Группа: Проверенные
Сообщений: 378
Награды: 0
Репутация: 0
Статус: Offline


 
Работай из дома! 18+
 
 


Задача № 1381

С трех лугов собрали 19,7 т сена. С первого и второго лугов собрали сена поровну, а с третьего собрали на 1,1 т больше, чем с каждого из первых двух. Сколько сена собрали с каждого луга?

Ответ на задание



Задача № 1382

Магазин за 3 дня продал 1240,8 кг сахара. В первый день было продано 543 кг, во второй — в 2 раза больше, чем в третий. Сколько килограммов сахара продано в третий день?

Ответы на задание



Задача № 1383

Машина прошла первый участок пути за 3 ч, а второй участок — за 2 ч. Длина обоих участков вместе 267 км. С какой скоростью шла машина на каждом участке, если скорость на втором участке была на 8,5 км/ч больше, чем на первом?

Ответ на задачу



Задача № 1384

Обратите в десятичные дроби:

Ответ на задание



Задача № 1385

Постройте фигуру, равную фигуре, изображенной на рисунке 151.

Ответ на задачку

$IMAGE5$
Фото: 0262120.jpg (36.0 Kb) · 4844419.jpg (27.6 Kb) · 6842063.jpg (36.8 Kb) · 3034018.jpg (21.5 Kb)
 
 
БрошкаДата: Понедельник, 29.12.2014, 12:54 | Сообщение # 278
Генерал-майор
Группа: Проверенные
Сообщений: 378
Награды: 0
Репутация: 0
Статус: Offline


 
Работай из дома! 18+
 
 


Задача № 1386

Из города выехал велосипедист со скоростью 13,4 км/ч. Через 2 ч вслед за ним выехал другой велосипедист, скорость которого 17,4 км/ч. Через сколько часов после своего выезда второй велосипедист догонит первого?

Ответ на задание



Задача № 1387

Катер, двигаясь против течения, за 6 ч прошел 177,6 км. Найдите собственную скорость катера, если скорость течения равна 2,8 км/ч.

Ответы на задание



Задача № 1388

Кран, который подает в минуту 30 л воды, за 5 мин наполнил ванну. Потом кран закрыли и открыли сливное отверстие, через которое вся вода вылилась за б мин. Сколько литров воды выливалось за 1 мин?

Ответ на задачу



Задача № 1389

Решите уравнение:

а) 26 • (* + 427) = 15 756; в) 22 374 : (А - 125) = 1243;
б) 101 • (351 + у) = 65 549; г) 38 007 : (4223 - 0 = 9.

Ответ на задание



Задача № 1390

Найдите площадь прямоугольника со сторонами 12,5 дм и 6,2 дм. Решите эту же задачу, переводя дециметры в сантиметры.

Ответ на задачку

Фото: 5590840.jpg (21.1 Kb) · 1142149.jpg (20.0 Kb) · 5897787.jpg (17.8 Kb) · 9718878.jpg (32.0 Kb) · 4243796.jpg (20.2 Kb)
 
 
БрошкаДата: Понедельник, 29.12.2014, 12:58 | Сообщение # 279
Генерал-майор
Группа: Проверенные
Сообщений: 378
Награды: 0
Репутация: 0
Статус: Offline


 
Работай из дома! 18+
 
 


Задача № 1391

Выполните умножение:

а) 354,2 • 0,1; г) 2,8 • 0,1; ж) 54 • 0,001;
б) 248,34 • 0,1; д) 4,5 • 0,01; з) 37 • 0,0001;
в) 3788,2 • 0,001; е) 0,08 • ОД; и) 0,01 • 0,0001.

Ответ на задание



Задача № 1392

Длина пола 6,35 м, а его ширина 4,82 м. Чему равна площадь пола? Ответ округлите до десятых долей квадратного метра.

Ответы на задание



Задача № 1393


При посеве редиса расходуют 0,55 кг семян на один ар. Сколько килограммов семян редиса потребуется для посева на участке площадью 4 а; 0,1 а; 2,3 а; 1,5 а; 0,8 а; 1 га?

Ответ на задачу



Задача № 1394

Скорость поезда 85 км/ч. Сколько километров пройдет поезд за 5 ч; за 0,1 ч; за 3,8 ч; за 1,5 ч; за 0,4 ч?

Ответ на задание



Задача № 1395

Масса 1 см3 железа равна 7,9 г. Найдите массу железной детали объемом 3 см3; 0,1 см3; 4,9 см3; 0,5 см3.

Ответ на задачку

Фото: 6204502.jpg (32.4 Kb) · 2042993.jpg (18.3 Kb) · 3442309.jpg (32.3 Kb) · 4948513.jpg (23.7 Kb) · 0844860.jpg (24.0 Kb)
 
 
БрошкаДата: Понедельник, 29.12.2014, 13:02 | Сообщение # 280
Генерал-майор
Группа: Проверенные
Сообщений: 378
Награды: 0
Репутация: 0
Статус: Offline


 
Работай из дома! 18+
 
 


Задача № 1396

Веревку разрезали на две части. Длина одной части 5,4 м, а другая часть в 2,5 раза больше. Найдите первоначальную длину всей веревки.

Ответ на задание



Задача № 1397

Выполните умножение:

а) 6,25 • 4,8; д) 0,8 • 0,92; и) 1,15 • 0,07;
б) 85,8 • 3,2; е) 2,5 • 0,37; к) 6,023 • 5,6;
в) 74 • 4,9; ж) 3,43 • 0,12; л) 8,4 • 18,478;
г) 12,6 • 7,8; з) 0,25 • 0,48; м) 2,749 • 0,48.

Ответы на задание



Задача № 1398

Запишите выражение:

а) произведение суммы чисел а и 3,1 и числа b;
б) сумма произведения чисел 4,1 и х и числа 8,65;
в) разность произведений чисел 7,8 и m и чисел 0,45 и n;
г) произведение суммы чисел а и b и разности чисел с и d.

Ответ на задачу



Задача № 1399

Прочитайте выражение:

а) (а + 9,7) • (Ъ - 3,61); в) 0,8jc + 0,9у,
б) 6,5т - 7,6п; г) (т - п)(р + k).

Ответ на задание



Задача № 1400

Увеличьте в 2,8 раза число 3,8; 0,705; 100; 9,2.

Ответ на задачку

Фото: 2212250.jpg (19.6 Kb) · 8127322.jpg (33.3 Kb) · 0056050.jpg (18.8 Kb) · 1778362.jpg (31.7 Kb) · 6292012.jpg (19.0 Kb)
 
 
БрошкаДата: Понедельник, 29.12.2014, 13:28 | Сообщение # 281
Генерал-майор
Группа: Проверенные
Сообщений: 378
Награды: 0
Репутация: 0
Статус: Offline


 
Работай из дома! 18+
 
 


Задача № 1401

Придумайте задачу, которая решалась бы умножением:

а) 3,4 на 1,5; б) 3,4 на 0,9

Ответ на задание



Задача № 1402

Запишите с помощью букв а, b, с сочетательное и переместительное свойства умножения и проверьте их при а = 3,5; b = 0,4 и с = 0,6. Используя эти свойства, упростите выражение: а) 4 • 1,7y • 0,25; б) 0,5 • 3,58m • 0,2.

Ответы на задание



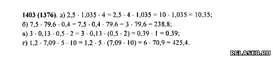
Задача № 1403

Найдите значение произведения:

а) 2,5 • 1,035 -4; в) 3 • 0,13 • 0,5 • 2;
б) 7,5 • 79,6 • 0,4; г) 1,2 • 7,09 -5-10

Ответ на задачу



Задача № 1404

Запишите с помощью букв а, b, с распределительное свойство умножения относительно сложения и относительно вычитания. Проверьте эти свойства при а = 6,2, b = 3,8, с = 0,2. Используя эти свойства, найдите значение выражения:

а) 57,48 • 0,9093 + 42,52 • 0,9093;
б) 6,395 • 835,67 + 6,395 • 164,33;
в) 104,76 • 378,91 - 94,76 • 378,91;
г) 0,78 • 496,6 - 396,6 • 0,78.

Ответ на задание



Задача № 1405

Упростите выражение:
а) 1,2л: + 3,8л: - 2,7л:; в) 0,72т - 0,24т - 0,46т;
б) 4,5i/ - 2,3у + 1,6у; г) 8,3/е - 4,3/г + 1,6/г.

Ответ на задачку

Фото: 0284805.jpg (19.6 Kb) · 5734026.jpg (34.4 Kb) · 4255898.jpg (28.1 Kb) · 1296656.jpg (60.2 Kb) · 7763929.jpg (27.2 Kb)
 
 
БрошкаДата: Понедельник, 29.12.2014, 13:33 | Сообщение # 282
Генерал-майор
Группа: Проверенные
Сообщений: 378
Награды: 0
Репутация: 0
Статус: Offline


 
Работай из дома! 18+
 
 


Задача № 1406

Найдите значения выражения:

Ответ на задание



Задача № 1407

Найдите значения выражения:

Ответы на задание



Задача № 1408

Найдите сумму площадей стен комнаты, длина которой 6,4 м, ширина 3,5 м и высота 2,69 м. Найдите объем комнаты. Ответы округлите до десятых.

Ответ на задачу



Задача № 1409

Высота прямоугольного параллелепипеда больше его ширины в полтора раза и меньше длины тоже в полтора раза. Найдите объем параллелепипеда, если его ширина 0,4 дм.

Ответ на задание



Задача № 1410

Скорость движения Земли вокруг Солнца 29,8 км/с, а скорость Марса на 5,7 км/с меньше. Какой путь пройдет каждая из планет за 3 с; за 4,5 с; за 16,8 с; за 1 мин?

Ответ на задачку

Фото: 7202174.jpg (70.9 Kb) · 3970426.jpg (36.2 Kb) · 4597313.jpg (26.2 Kb) · 4664990.jpg (22.8 Kb) · 0146436.jpg (35.5 Kb)
 
 
БрошкаДата: Понедельник, 29.12.2014, 13:37 | Сообщение # 283
Генерал-майор
Группа: Проверенные
Сообщений: 378
Награды: 0
Репутация: 0
Статус: Offline


 
Работай из дома! 18+
 
 


Задача № 1411

Площадь одного поля 207,5 га, а площадь второго на 17 га больше. Сколько пшеницы собрали с обоих полей, если с каждого гектара первого поля собирали 32,4 ц, а с каждого гектара второго — 28,6 ц? Ответ округлите до целых.

Ответ на задание



Задача № 1412

Два пешехода вышли одновременно навстречу друг другу и встретились через 2,5 ч. Скорость первого пешехода равна 4,2 км/ч, а скорость второго 5,2 км/ч. Какое расстояние было между пешеходами в начале движения?

Ответы на задание



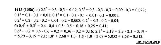
Задача № 1413

Найдите значение выражения:

Ответ на задачу



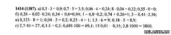
Задача № 1414

Найдите значение выражения:

Ответ на задание



Задача № 1415

Найдите 0.8 числа 90?

Ответ на задачку

Фото: 0855210.jpg (21.7 Kb) · 3811334.jpg (20.6 Kb) · 9057683.jpg (38.5 Kb) · 3334027.jpg (33.4 Kb) · 7039152.jpg (18.3 Kb)
 
 
БрошкаДата: Понедельник, 29.12.2014, 13:43 | Сообщение # 284
Генерал-майор
Группа: Проверенные
Сообщений: 378
Награды: 0
Репутация: 0
Статус: Offline


 
Работай из дома! 18+
 
 


Задача № 1416

Найдите значение:

Ответ на задание



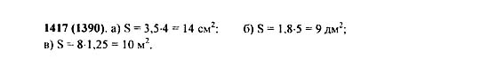
Задача № 1417

Вычислите площадь прямоугольника, если его стороны равны: а) 3,5 см и 4 см; б) 1,8 дм и 5 дм; в) 8 м и 1,25 м.

Ответы на задание



Задача № 1418

Какую цифру (одну и ту же) можно подставить вместо звездочки чтобы было верно: а) 0,5* = 0,*5; б) 0,*3 > 0,5*; в) 6,8*1 < 6,82*?

Ответ на задачу



Задача № 1419

Попробуйте объяснить, почему приписывание нуля справа к натуральному числу увеличивает его значение в 10 раз, а приписывание нуля к десятичной дроби не меняет ее значения.

Ответ на задание



Задача № 1420

Разделите:

а) 42,6; 3,85 и 7 на 10;
б) 586,1; 80,3 и 90 на 100

Ответ на задачку

Фото: 3116935.jpg (29.9 Kb) · 9982913.jpg (18.7 Kb) · 7511684.jpg (20.7 Kb) · 2680441.jpg (57.0 Kb) · 3866652.jpg (21.2 Kb)
 
 
БрошкаДата: Понедельник, 29.12.2014, 13:47 | Сообщение # 285
Генерал-майор
Группа: Проверенные
Сообщений: 378
Награды: 0
Репутация: 0
Статус: Offline


 
Работай из дома! 18+
 
 


Задача № 1421

Выполните деление:

а) 61,699 : 158; в) 1,31313 : 13;
б)46,002:164; г) 1,717 : 17

Ответ на задание



Задача № 1422

Чтобы собрать 100 г меда, пчела посещает 1 млн цветков. Сколько граммов меда собирает пчела с одного цветка?

Ответы на задание



Задача № 1423

Катер, собственная скорость которого 14,8 км/ч, шел 3 ч по течению и 4 ч против течения. Какой путь проделал катер за все это время, если скорость течения 2,3 км/ч?

Ответ на задачу



Задача № 1424

На рисунке 152 попугаи, мартышки и удавы. Сосчитайте их, считая всех подряд по порядку: первый попугай, первый удав, второй попугай, первая мартышка, третий попугай и т. д. Если не удастся сосчитать с первого раза, возвращайтесь к этому заданию несколько раз.

Ответ на задание

$IMAGE4$

Задача № 1425

Два теплохода движутся навстречу друг другу. Сейчас между ними 185,5 км. Первый теплоход имеет собственную скорость 24,5 км/ч и движется по течению, а второй теплоход имеет собственную скорость 28,5 км/ч и движется против течения. Через сколько часов они встретятся, если скорость течения 2,5 км/ч?

Ответ на задачку



Продолжение решебника по Математике для 5-го класса

Фото: 5280016.jpg (20.8 Kb) · 7079771.jpg (18.9 Kb) · 4796742.jpg (20.6 Kb) · 9824796.jpg (22.6 Kb)
 
 
Поиск:

Работай из дома! 18+
 
 
 
 
 
 

 
Последние темы на форуме:
 
  • Новогодние праздники 2021-2022 официальные выходные
  • Показатели давления и сердцебиения у женщины 57 лет
  • Гороскоп на декабрь 2021 Женщина Телец
  • Гороскоп на январь 2022 от Павла Глоба
  • Гороскоп на декабрь 2021 от Павла Глоба
  • Гороскоп на ноябрь 2021 от Павла Глоба
  • Стенограмма судьбы - Содержание серий, актеры и роли сериала
  • Мосгаз. Западня - Содержание серий, актеры и роли 2021
  • Тобол - Содержание серий, актеры и роли сериала. 2021
  • Гороскоп для Тигра на сегодня от Павла Глоба
  • Утраченные воспоминания - Содержание серий, актеры и роли
  • Чёрно-белая любовь - Содержание серий, актеры и роли сериала
  • Забытая женщина - Содержание серий, актеры и роли сериала
  • Тайна спящей дамы - Содержание серий, актеры и роли сериала
  • Сериал Часы с кукушкой - Содержание серий, актеры и роли
  •  
     

     
    Обращаем ваше внимание на то, что данный интернет-сайт www.kinolog.do.am носит исключительно информационный характер и ни при каких условиях не является публичной офертой, определяемой положениями Статьи 437 (2) Гражданского кодекса РФ. Цена и наличие товара может отличаться от действительной. Пожалуйста, уточняйте цены и наличие товара у наших менеджеров.
    Администрация сайта не несет ответственности за действия и содержание размещаемой информации пользователей: комментарии, материалы, сообщения и темы на форуме, публикации, объявления и т.д.
    Правообладателям | Реклама | Учебники | Политика
    Отопление, водоснабжение, газоснабжение, канализация © 2003 - 2021
    Рейтинг@Mail.ru Рейтинг арматурных сайтов. ARMTORG.RU Яндекс.Метрика