[ Новые сообщения · Участники · Правила форума · Поиск · RSS ]
 
Работай из дома! 18+

ГДЗ по Математике. 5 класс
БрошкаДата: Понедельник, 29.12.2014, 13:52 | Сообщение # 286
Генерал-майор
Группа: Проверенные
Сообщений: 378
Награды: 0
Репутация: 0
Статус: Offline


 
Работай из дома! 18+
 
 




Задача № 1426

Лодка шла по течению со скоростью 12,6 км/ч, а против течения — со скоростью 8,8 км/ч. Найдите скорость течения, зная, что собственная скорость лодки не изменялась.

Ответ на задание



Задача № 1427

Две лодки, собственная скорость каждой из которых 12,5 км/ч, движутся по реке навстречу одна другой. Через сколько часов они встретятся, если сейчас расстояние между ними 80 км, а скорость течения 2,5 км/ч? Решите ту же задачу, если скорость течения 3 км/ч. Какое условие в задаче лишнее?

Ответы на задание



Задача № 1428

Запишите в миллионах:

Ответ на задачу



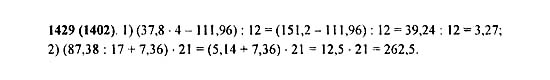
Задача № 1429

Найдите значение выражения:

Ответ на задание



Задача № 1430

Решите задачу: 1) Сумма двух чисел 15,9. Одно число на 3,7 больше другого. Найдите эти числа. 2) Сумма двух чисел 19,8. Одно из них на 5,4 меньше другого. Найдите эти числа.

Ответ на задачку

Фото: 2343048.jpg (28.2 Kb) · 5817365.jpg (33.1 Kb) · 2361668.jpg (31.0 Kb) · 5266730.jpg (22.6 Kb) · 8176505.jpg (40.8 Kb)
 
 
БрошкаДата: Понедельник, 29.12.2014, 13:56 | Сообщение # 287
Генерал-майор
Группа: Проверенные
Сообщений: 378
Награды: 0
Репутация: 0
Статус: Offline


 
Работай из дома! 18+
 
 


Задача № 1431

Найдите значение произведения:

а) 48,5 • 0,1; 83,75 • 0,1; 5,76 • 0,1; 27 • 0,1;
б) 435,7 • 0,01; 4,2 • 0,01; 82,1 ■ 0,01; 82 • 0,01; 0,01 • 0,01;
в) 56,2 • 0,001; 0,3 • 0,001; 427,5 • 0,0001; 365 • 0,0001.

Ответ на задание



Задача № 1432

Выполните умножение:

а) 0,2 • 0,3; д) 0,85 • 4,07; и) 125 • 1,6;
б) 0,25 • 0,4; е) 5,497 • 0,42; к) 3,14 • 500;
в) 2,87 • 5,6; ж) 8,5 • 1,04; л) 630 • 0,544;
г) 1,4 • 4,76; з) 0,25 • 0,0008; м) 3,12 • 0,012.

Ответы на задание



Задача № 1433

Длина школьного коридора 30,24 м, а ширина 5,12 м. Найдите его площадь в квадратных метрах. Ответ округлите до сотых.

Ответ на задачу



Задача № 1434

Скорость планеты Меркурий при движении вокруг Солнца 47,8 км/с, а скорость планеты Венера на 12,8 км/с меньше. Какой путь пройдет каждая планета за 5 с; за 12,5 с; за 20,9 с?

Ответ на задание



Задача № 1435

От Заречной до Мухино я шел 0,8 ч со скоростью 5,5 км/ч, а от Мухино до Каменки ехал на велосипеде 1,4 ч со скоростью 12,5 км/ч. На сколько километров Мухино дальше от Каменки, чем от Заречной?

Ответ на задачку

Фото: 3992728.jpg (31.5 Kb) · 4379589.jpg (32.1 Kb) · 8699230.jpg (19.2 Kb) · 4069179.jpg (37.3 Kb) · 5193238.jpg (21.2 Kb)
 
 
БрошкаДата: Понедельник, 29.12.2014, 14:00 | Сообщение # 288
Генерал-майор
Группа: Проверенные
Сообщений: 378
Награды: 0
Репутация: 0
Статус: Offline


 
Работай из дома! 18+
 
 


Задача № 1436

Скорый поезд догонит товарный через 21 мин. Найдите расстояние между ними, если скорость товарного поезда 1,2 км/мин, а скорого 1,5 км/мин

Ответ на задание



Задача № 1437

Длина прямоугольного параллелепипеда равна а см, ширина Ь см и высота с см. Найдите объем, площадь поверхности и сумму длин всех ребер этого параллелепипеда, если:

а) а = 5,9, b = 4, с = 12;
б) а = 14,1, b = 8, с = 2,5;
в) а = 0,67, b = 0,85, с = 2,52;
г) а = 2,07, b = 0,95, с = 4,24.

Ответы на задание



Задача № 1438

Одновременно из села в город выехали два автомобиля. Скорость первого равна 40 км/ч, а второго — в 1,5 больше. Каким будет расстояние между автомобилями через 2,5 ч?

Ответ на задачу



Задача № 1439

Упростите:
а) 8,3а + 1,7а; в) 2,5с + 1,2 + 3,6с + 5;
б) 71,4Ь - 70,26; г) 8,8 - 9,7d - 2,5d - 3,7.

Ответ на задание



Задача № 1440

Найдите значение выражения:

а) 0,7542л: + 0,2458* - 20,9, если х = 220;
б) 66,6/у - 44,4f/ + 8,11, если у = 10.

Ответ на задачку

Фото: 0120598.jpg (18.7 Kb) · 2980066.jpg (78.4 Kb) · 7565857.jpg (24.4 Kb) · 2335321.jpg (25.9 Kb) · 1225541.jpg (26.9 Kb)
 
 
БрошкаДата: Понедельник, 29.12.2014, 14:04 | Сообщение # 289
Генерал-майор
Группа: Проверенные
Сообщений: 378
Награды: 0
Репутация: 0
Статус: Offline


 
Работай из дома! 18+
 
 


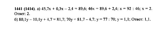
Задача № 1441

Решите уравнение:

а) 45,1х + 0,3* - 2,4 = 89,6;
б) 80,1(/ - 10,1 у + 4,7 = 81,7.

Ответ на задание



Задача № 1442

Найдите значение выражения:

а) 0,32 • 10; в) ОД2 + ОД3; д) 2,52 • 1000; б) 0,23 • 100; г) 42 • ОД3; е) 0,62 + 0,82 - 0,23

Ответы на задание



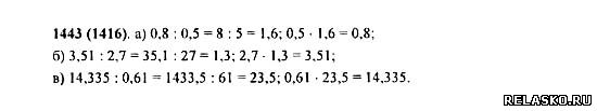
Задача № 1443

Найдите частное и выполните проверку умножением: а) 0,8 : 0,5; б) 3,51 : 2,7; в) 14,335 : 0,61.

Ответ на задачу



Задача № 1444

Найдите частное и выполните проверку делением: а) 0,096 : 0,12; б) 0,126 : 0,9; в) 42,105 : 3,5.

Ответ на задание



Задача № 1445

Выполните деление:

а) 7,56 : 0,6; ж) 6,944 : 3,2; н) 14,976 : 0,72;
б) 0,161 : 0,7; з) 0,0456 : 3,8; о) 168,392 : 5,6;
в) 0,468 : 0,09; и) 0,182 : 1,3; п) 24,576 : 4,8;
г) 0,00261 : 0,03; к) 131,67 : 5,7; р) 16,51 : 1,27;
д) 0,824 : 0,8; л) 189,54 : 0,78; с) 46,08 : 0,384;
е) 10,5 : 3,5; м) 636 : 0,12; т) 22,256 : 20,8.

Ответ на задачку

Фото: 3054145.jpg (24.8 Kb) · 2211264.jpg (37.2 Kb) · 7768960.jpg (23.5 Kb) · 8063560.jpg (26.7 Kb) · 0165716.jpg (51.8 Kb)
 
 
БрошкаДата: Понедельник, 29.12.2014, 14:07 | Сообщение # 290
Генерал-майор
Группа: Проверенные
Сообщений: 378
Награды: 0
Репутация: 0
Статус: Offline


 
Работай из дома! 18+
 
 


Задача № 1446

Запишите выражения: а) частное от деления суммы а и 2,6 на разность b и 8,5; б) сумму частного х и 3,7 и частного 3,1 и у.

Ответ на задание



Задача № 1447

Прочитайте выражение:

Ответы на задание



Задача № 1448

Шаг человека равен 0,8 м. Сколько шагов надо ему сделать, чтобы пройти расстояние 100 м?

Ответ на задачу



Задача № 1449

Алеша проехал на поезде 162,5 км за 2,6 ч. С какой скоростью шел поезд?

Ответ на задание



Задача № 1450

Найдите массу 1 см3 льда, если масса 3,5 см3 льда равна 3,08 г.

Ответ на задачку

Фото: 8372868.jpg (17.4 Kb) · 8441377.jpg (28.6 Kb) · 7041370.jpg (19.3 Kb) · 8720088.jpg (18.7 Kb) · 2348700.jpg (18.4 Kb)
 
 
БрошкаДата: Понедельник, 29.12.2014, 14:11 | Сообщение # 291
Генерал-майор
Группа: Проверенные
Сообщений: 378
Награды: 0
Репутация: 0
Статус: Offline


 
Работай из дома! 18+
 
 


Задача № 1451

Веревку разрезали на две части. Длина одной части 3,25 м, а длина другой части в 1,3 раза меньше первой. Какова была длина веревки?

Ответ на задание



Задача № 1452

Веревку разрезали на две части. Длина одной части 3,25 м, а длина другой части в 1,3 раза меньше первой. Какова была длина веревки?

Ответы на задание



Задача № 1453

На приготовление уроков Боря затратил в 3,5 раза меньше времени, чем на прогулку. Сколько времени ушло у Бори на прогулку и на приготовление уроков, если на прогулку ушло 2,8 ч?

Ответ на задачу



Задача № 1454

На приготовление уроков Боря затратил в 3,5 раза меньше времени, чем на прогулку. Сколько времени ушло у Бори на прогулку и на приготовление уроков, если на прогулку ушло 2,8 ч?

Ответ на задание



Задача № 1455

Алюминиевый шар, объем которого 50 см3, имеет массу 135 г. Чему равна масса стального шара того же объема, если масса 1 см3 алюминия на 5,2 г меньше массы 1 см3 стали?

Ответ на задачку

Фото: 9932171.jpg (19.7 Kb) · 7064345.jpg (20.0 Kb) · 0900269.jpg (20.7 Kb) · 6974515.jpg (20.5 Kb) · 6999636.jpg (22.4 Kb)
 
 
БрошкаДата: Понедельник, 29.12.2014, 14:36 | Сообщение # 292
Генерал-майор
Группа: Проверенные
Сообщений: 378
Награды: 0
Репутация: 0
Статус: Offline


 
Работай из дома! 18+
 
 


Задача № 1456

Питательный раствор для подкормки растений поступает в теплицу по двум трубам. Первая была открыта 0,6 ч, а вторая 0,4 ч. В результате поступило 3,32 л раствора. Сколько питательного раствора подается за 1 ч по второй трубе, если по первой поступает 3,6 л раствора за 1 ч?

Ответ на задание



Задача № 1457

Выполните деление:

Ответы на задание



Задача № 1458

На сколько килограммов масса 1 м3 пробки меньше массы 1 м3 воды, если масса 1 см3 воды равна 1 г, а масса 1 см3 пробки равна 0,22 г?

Ответ на задачу



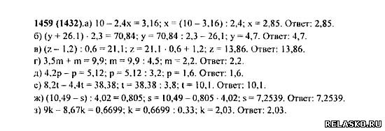
Задача № 1459

Решите уравнение:

а) 10 - 2,4* = 3,16; д) 4,2р - р - 5,12;
б) (у + 26,1) • 2,3 = 70,84; е) 8,2t - 4,4* = 38,38;
в) (г - 1,2) : 0,6 = 21,1; ж) (10,49 - s) : 4,02 = 0,805;
г) 3,5т + т = 9,9; з) 9k - 8,67/г - 0,6699.

Ответ на задание



Задача № 1460

В двух цистернах было 119,88 т бензина. В первой цистерне бензина было больше, чем во второй, в 1,7 раза. Сколько бензина было в каждой цистерне?

Ответ на задачку

Фото: 9513576.jpg (27.4 Kb) · 3033703.jpg (31.5 Kb) · 0711249.jpg (20.0 Kb) · 1914441.jpg (43.7 Kb) · 3385293.jpg (32.8 Kb)
 
 
БрошкаДата: Понедельник, 29.12.2014, 14:40 | Сообщение # 293
Генерал-майор
Группа: Проверенные
Сообщений: 378
Награды: 0
Репутация: 0
Статус: Offline


 
Работай из дома! 18+
 
 


Задача № 1461

С трех участков собрали 87,36 т капусты. При этом с первого участка собрали в 1,4 раза больше, а со второго в 1,8 раза больше, чем с третьего участка. Сколько тонн капусты собрали с каждого участка?

Ответ на задание



Задача № 1462

Кенгуру ниже жирафа в 2,4 раза, а жираф выше кенгуру на 2,52 м. Какова высота жирафа и какова высота кенгуру?

Ответы на задание



Задача № 1463

Два пешехода находились на расстоянии 4,6 км друг от друга. Они пошли навстречу друг другу и встретились через 0,8 ч. Найдите скорость каждого пешехода, если скорость одного из них в 1,3 раза больше скорости другого.

Ответ на задачу



Задача № 1464

Выполните действия:

а) (130,2 - 30,8) : 2,8 - 21,84:
б) 8,16 : (1,32 + 3,48) - 0,345;
в) 3,712 : (7 - 3,8) + 1,3 • (2,74 + 0,66);
г) (3,4 : 1,7 + 0,57 : 1,9) ■ 4,9 + 0,0825 : 2,75;
д) (4,44 : 3,7 - 0,56 : 2,8) : 0,25 - 0,8;
е) 10,79 : 8,3 • 0,7 - 0,46 • 3,15 : 6,9

Ответ на задание



Задача № 1465

Представьте обыкновенную дробь в виде десятичной и найдите значение выражения:

Ответ на задачку

Фото: 4906065.jpg (38.9 Kb) · 5891864.jpg (29.0 Kb) · 6746158.jpg (38.4 Kb) · 8813038.jpg (43.0 Kb) · 2246989.jpg (29.7 Kb)
 
 
БрошкаДата: Понедельник, 29.12.2014, 14:49 | Сообщение # 294
Генерал-майор
Группа: Проверенные
Сообщений: 378
Награды: 0
Репутация: 0
Статус: Offline


 
Работай из дома! 18+
 
 


Задача № 1466

Выполните действие.

Ответ на задание



Задача № 1467

Выполните действие:

Ответы на задание



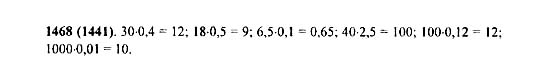
Задача № 1468

Найдите: 0,4 числа 30; 0,5 числа 18; 0,1 числа 6,5; 2,5 числа 40; 0,12 числа 100; 0,01 числа 1000.

Ответ на задачу



Задача № 1469

Каково значение выражения 5683,25а при а = 10; 0,1; 0,01; 100; 0,001; 1000; 0,00001?

Ответ на задание



Задача № 1470

Подумайте, какие из чисел могут быть точными, какие — приближенными: а) в классе 32 ученика; б) расстояние от Москвы до Киева 900 км; в) у параллелепипеда 12 ребер; г) длина стола 1,3 м; д) население Москвы 8 млн человек; е) в пакете 0,5 кг муки; ж) площадь острова Куба 105 000 км2; з) в школьной библиотеке 10 000 книг; и) одна пядь равна 4 вершкам, а вершок равен 4,45 см (вершок длина фаланги указательного пальца).

Ответ на задачку

Фото: 0483945.jpg (32.5 Kb) · 3477561.jpg (26.5 Kb) · 5055378.jpg (20.1 Kb) · 9175508.jpg (39.0 Kb) · 2640578.jpg (22.2 Kb)
 
 
БрошкаДата: Понедельник, 29.12.2014, 14:54 | Сообщение # 295
Генерал-майор
Группа: Проверенные
Сообщений: 378
Награды: 0
Репутация: 0
Статус: Offline


 
Работай из дома! 18+
 
 


Задача № 1471

Найдите три решения неравенства:

а) 1,2 < х < 1,6; в) 0,001 < х < 0,002; б) 2,1 < х < 2,3; г) 0,01 < х < 0,011.

Ответ на задание



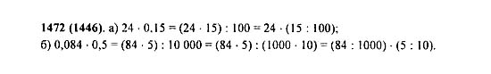
Задача № 1472

Сравните, не вычисляя, значения выражений:

а) 24 • 0,15 и (24 • 15) : 100;
б) 0,084 ■ 0,5 и (84 • 5) : 10 000.

Объясните полученный ответ.

Ответы на задание



Задача № 1473

Округлите числа:

Ответ на задачу



Задача № 1474

Выполните деление:

Ответ на задание



Задача № 1475

Велосипедист выехал из села со скоростью 12 км/ч. Через 2 ч в противоположном направлении из того же села выехал другой велосипедист, причем скорость второго в 1,25 раза больше скорости первого. Какое расстояние будет между ними через 3,3 ч после выезда второго велосипедиста?

Ответ на задачку

Фото: 4675809.jpg (27.3 Kb) · 1091591.jpg (22.4 Kb) · 6615826.jpg (29.7 Kb) · 8845544.jpg (31.7 Kb) · 0730213.jpg (24.9 Kb)
 
 
БрошкаДата: Понедельник, 29.12.2014, 14:58 | Сообщение # 296
Генерал-майор
Группа: Проверенные
Сообщений: 378
Награды: 0
Репутация: 0
Статус: Offline


 
Работай из дома! 18+
 
 


Задача № 1476

Собственная скорость лодки 8,5 км/ч, а скорость течения 1,3 км/ч. Какое расстояние пройдет лодка по течению за 3,5 ч? Какое расстояние пройдет лодка против течения за 5,6 ч?

Ответ на задание



Задача № 1477

Завод изготовил 3,75 тыс. деталей и продал их по цене 950 р. за штуку. Расходы завода на изготовление одной детали составили 637,5 р. Найдите прибыль, полученную заводом от продажи этих деталей.

Ответы на задание



Задача № 1478

Ширина прямоугольного параллелепипеда 7,2 см, что составляет 3/4 длины и 5/4 высоты. Найдите объем этого параллелепипеда и округлите ответ до целых.

Ответ на задачу



Задача № 1479

Папа Карло пообещал каждый день давать Пьеро по 4 сольдо, а Буратино в первый день 1 сольдо, а в каждый следующий день на 1 сольдо больше, если он будет вести себя хорошо. Буратино обиделся: он решил, что, как бы ни старался, никогда не сможет получить в сумме столько же сольдо, сколько Пьеро. Подумайте, прав ли Буратино.

Ответ на задание



Задача № 1480

На 3 шкафа и 9 книжных полок пошло 231 м досок, причем на шкаф идет в 4 раза больше материала, чем на полку. Сколько метров досок идет на шкаф и сколько — на полку?

Ответ на задачку

Фото: 9798138.jpg (29.1 Kb) · 6336119.jpg (20.8 Kb) · 1100746.jpg (27.4 Kb) · 1495837.jpg (29.5 Kb) · 7750813.jpg (32.4 Kb)
 
 
БрошкаДата: Понедельник, 29.12.2014, 15:02 | Сообщение # 297
Генерал-майор
Группа: Проверенные
Сообщений: 378
Награды: 0
Репутация: 0
Статус: Offline


 
Работай из дома! 18+
 
 


Задача № 1481

Решите задачу:

1) Первое число равно 6,3 и составляет 3/7 второго числа. Третье число составляет 2/3 второго. Найдите второе и третье числа.
2) Первое число 8,1. Второе число составляет 5/9 от первого числа и 3/4 от третьего числа. Найдите второе и третье числа.

Ответ на задание



Задача № 1482

Найдите значение выражения:

1)(7 - 5,38)-2,5: 2)(8 - 6,46)-1,5.

Ответы на задание



Задача № 1483

Найдите значение частного:

а) 17,01 : 6,3; г) 1,4245 : 3,5; ж) 0,02976 : 0,024;
б) 1,598 : 4,7; д) 193,2 : 8,4; з) 11,59 : 3,05;
в) 39,156 : 7,8; е) 0,045 : 0,18; и) 74,256 : 18,2.

Ответ на задачу



Задача № 1484

Путь от дома до школы равен 1,1 км. Девочка проходит этот путь за 0,25 ч. С какой скоростью идет девочка?

Ответ на задание



Задача № 1485

В двухкомнатной квартире площадь одной комнаты 20,64 м2, а площадь другой комнаты в 2,4 раза меньше. Найдите площадь этих двух комнат вместе.

Ответ на задачку

Фото: 7727209.jpg (24.3 Kb) · 2169049.jpg (19.0 Kb) · 1639757.jpg (35.2 Kb) · 6757419.jpg (18.1 Kb) · 8410339.jpg (20.3 Kb)
 
 
БрошкаДата: Понедельник, 29.12.2014, 15:07 | Сообщение # 298
Генерал-майор
Группа: Проверенные
Сообщений: 378
Награды: 0
Репутация: 0
Статус: Offline


 
Работай из дома! 18+
 
 


Задача № 1486

Двигатель за 7,5 ч расходует 111 л горючего. Сколько литров горючего израсходует двигатель за 1,8 ч?

Ответ на задание



Задача № 1487

Металлическая деталь объемом в 3,5 дм3 имеет массу 27,3 кг. Другая деталь из этого же металла имеет массу 10,92 кг. Каков объем второй детали?

Ответы на задание



Задача № 1488

В цистерну через две трубы налили 2,28 т бензина. Через первую трубу поступало 3,6 т бензина в час, и она была открыта 0,4 ч. Через вторую трубу поступало за час на 0,8 т бензина меньше, чем через первую. Сколько времени была открыта вторая труба?

Ответ на задачу



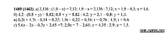
Задача № 1489

Решите уравнение: а) 2,136 : (1,9 - х) = 7,12; в) 0,2« + 1,7* - 0,54 = 0,22; б) 4,2 • (0,8 + у) = 8,82; г) 5,6г - 2z - 0,7г + 2,65 = 7.

Ответ на задание



Задача № 1490

Товар массой в 13,3 т распределили на три автомашины. На первую автомашину погрузили в 1,3 раза больше, а на вторую — в 1,5 раза больше, чем на третью автомашину. Сколько тонн товара погрузили на каждую автомашину?

Ответ на задачку

Фото: 3609386.jpg (19.6 Kb) · 0929286.jpg (21.9 Kb) · 1835482.jpg (23.4 Kb) · 4782298.jpg (30.6 Kb) · 6125896.jpg (38.9 Kb)
 
 
БрошкаДата: Понедельник, 29.12.2014, 15:10 | Сообщение # 299
Генерал-майор
Группа: Проверенные
Сообщений: 378
Награды: 0
Репутация: 0
Статус: Offline


 
Работай из дома! 18+
 
 


Задача № 1491

Два пешехода вышли одновременно из одного места в противоположных направлениях. Через 0,8 ч расстояние между ними стало равным 6,8 км. Скорость одного пешехода была в 1,5 раза больше скорости другого. Найдите скорость каждого пешехода.

Ответ на задание



Задача № 1492

Выполните действия:

а) (21,2544 : 0,9 + 1,02 • 3,2) : 5,6;
б) 4,36 : (3,15 + 2,3) + (0,792 - 0,78) • 350;
в) (3,91 : 2,3 • 5,4 - 4,03) • 2,4;
г) 6,93 : (0,028 + 0,36 • 4,2) - 3,5.

Ответы на задание



Задача № 1493

В школу пришел врач и принес для прививки 0,25 кг сыворотки. Скольким ребятам он может сделать уколы, если для каждого укола нужно 0,002 кг сыворотки?

Ответ на задачу



Задача № 1494

В магазин завезли 2,8 т пряников. До обеда было продано 5/7 этих пряников. Сколько тонн пряников осталось еще продать?

Ответ на задание



Задача № 1495

От куска ткани отрезали 5,6 м. Сколько метров ткани было в куске, если отрезали 2/7 этого куска?

Ответ на задачку

Фото: 7032347.jpg (37.5 Kb) · 9130706.jpg (34.6 Kb) · 2821080.jpg (18.9 Kb) · 2929227.jpg (21.1 Kb) · 8710085.jpg (17.7 Kb)
 
 
БрошкаДата: Понедельник, 29.12.2014, 15:18 | Сообщение # 300
Генерал-майор
Группа: Проверенные
Сообщений: 378
Награды: 0
Репутация: 0
Статус: Offline


 
Работай из дома! 18+
 
 


Задача № 1496

Найдите среднее арифметическое чисел 2 и 10. Изобразите на координатном луче число 2, число 10 и их среднее арифметическое. Сделайте вывод.

Ответ на задание



Задача № 1497

Найдите среднее арифметическое чисел:

а) 70,6 и 71,3;
б) 0,1; 0,2 и 0,3;
в) 1,11; 1,12; 1,19 и 1,48;
г) 7,381; 5,004; 6,118; 8,019; 7,815 и 5,863.

Ответы на задание



Задача № 1498

На рисунке 153 АВ = ВС, где А(8,9) и 5(9,5). Найдите координату точки С. Чему равно среднее арифметическое координат точек А и С?

Ответ на задачу



Задача № 1499

Четыре поля имеют площадь по 200 га каждое. На первом поле собрали 7220 ц пшеницы, на втором — 7560 ц пшеницы, на третьем — 7090 ц пшеницы и на четвертом — 7130 ц пшеницы. Определите урожайность пшеницы на каждом поле и найдите среднюю урожайность.

Ответ на задание



Задача № 1500

С поля площадью 87 га сняли урожай 10 450 ц картофеля, а с поля площадью 113 га собрали 14 980 ц картофеля. Найдите среднюю урожайность картофеля на этих полях.

Ответ на задачку



Продолжение решебника по Математике для 5-го класса

Фото: 3008527.jpg (23.4 Kb) · 9962184.jpg (27.3 Kb) · 1213219.jpg (25.1 Kb) · 5411220.jpg (30.6 Kb) · 6886291.jpg (20.9 Kb)
 
 
Поиск:

Работай из дома! 18+
 
 
 
 
 
 

 
Последние темы на форуме:
 
  • Новогодние праздники 2021-2022 официальные выходные
  • Показатели давления и сердцебиения у женщины 57 лет
  • Гороскоп на декабрь 2021 Женщина Телец
  • Гороскоп на январь 2022 от Павла Глоба
  • Гороскоп на декабрь 2021 от Павла Глоба
  • Гороскоп на ноябрь 2021 от Павла Глоба
  • Стенограмма судьбы - Содержание серий, актеры и роли сериала
  • Мосгаз. Западня - Содержание серий, актеры и роли 2021
  • Тобол - Содержание серий, актеры и роли сериала. 2021
  • Гороскоп для Тигра на сегодня от Павла Глоба
  • Утраченные воспоминания - Содержание серий, актеры и роли
  • Чёрно-белая любовь - Содержание серий, актеры и роли сериала
  • Забытая женщина - Содержание серий, актеры и роли сериала
  • Тайна спящей дамы - Содержание серий, актеры и роли сериала
  • Сериал Часы с кукушкой - Содержание серий, актеры и роли
  •  
     

     
    Обращаем ваше внимание на то, что данный интернет-сайт www.kinolog.do.am носит исключительно информационный характер и ни при каких условиях не является публичной офертой, определяемой положениями Статьи 437 (2) Гражданского кодекса РФ. Цена и наличие товара может отличаться от действительной. Пожалуйста, уточняйте цены и наличие товара у наших менеджеров.
    Администрация сайта не несет ответственности за действия и содержание размещаемой информации пользователей: комментарии, материалы, сообщения и темы на форуме, публикации, объявления и т.д.
    Правообладателям | Реклама | Учебники | Политика
    Отопление, водоснабжение, газоснабжение, канализация © 2003 - 2021
    Рейтинг@Mail.ru Рейтинг арматурных сайтов. ARMTORG.RU Яндекс.Метрика