[ Новые сообщения · Участники · Правила форума · Поиск · RSS ]
 
Работай из дома! 18+

ГДЗ по Математике. 5 класс
БрошкаДата: Среда, 24.12.2014, 16:39 | Сообщение # 121
Генерал-майор
Группа: Проверенные
Сообщений: 378
Награды: 0
Репутация: 0
Статус: Offline


 
Работай из дома! 18+
 
 




Задача № 601

Ответ на задание



Задача № 602

По рисунку 56 составьте уравнение и найдите массу каждого батона. (Масса гирь дана в килограммах.)

Ответы на задание



Задача № 603

По рисунку 57 найдите длину отрезка ВС, если AD = 40 см.

Ответ на задачу



Задача № 604

Периметр треугольника ABC равен 64 см, сторона АВ меньше стороны АС на 7 см, но больше стороны ВС на 12 см. Найдите длину каждой стороны треугольника ABC.

Ответ на задание



Задача № 605

В соревнованиях по стрельбе участвовали 12 человек. Сколько патронов получил каждый участник, если потребовалось 8 коробок, по 30 патронов в каждой?

Ответ на задачку

Фото: 5551232.jpg (48.2 Kb) · 2086482.jpg (34.3 Kb) · 3599615.jpg (26.7 Kb) · 4230085.jpg (42.8 Kb) · 6501634.jpg (25.7 Kb)
 
 
БрошкаДата: Среда, 24.12.2014, 16:41 | Сообщение # 122
Генерал-майор
Группа: Проверенные
Сообщений: 378
Награды: 0
Репутация: 0
Статус: Offline


 
Работай из дома! 18+
 
 


Задача № 606

Три заготовителя собрали 240 кг лекарственных трав. Первый собрал 87 кг, а первый и второй вместе — 174 кг. Сколько килограммов лекарственных трав собрал второй заготовитель и сколько третий?

Ответ на задание



Задача № 607

Решите задачу:

1) Велосипедист ехал 2 ч с некоторой скоростью. После того как он проедет еще 4 км, его путь станет равным 30 км. С какой скоростью ехал велосипедист? 2) Мотоциклист ехал 3 ч с некоторой скоростью. Если он проедет еще 12 км, то его путь станет равен 132 км. С какой скоростью ехал мотоциклист? 3) В мешке 20 кг крупы. После того как крупой наполнили несколько пакетов по 3 кг, в мешке осталось 5 кг. Сколько пакетов наполнили крупой? 4) В бидоне 39 л молока. После того как молоком наполнили несколько двухлитровых банок, в бидоне осталось 7 л. Сколько банок наполнили?

Ответы на задание



Задача № 608

Найдите значение выражения: 1) 47 040 : 14:7 : 32; 3) 46 • 9520 : 68 : 7; 2) 101 376 : 48 : 24 : 8; 4) 319 488 : 96 : 64 • 23.

Ответ на задачу



Задача № 609

Примените распределительное свойство умножения: а) 11 • (60 + а); в) (х - 9) • 24; б) 21 • (38 - b); г) (у + 4) • 38.

Ответ на задание



Задача № 610

Найдите значение выражения, применив распределительное свойство умножения: а) (250 + 25) • 4; в) 8 • 11 + 8 • 29; б) 6 • (150 + 16); г) 36 • 184 + 36 • 816.

Ответ на задачку

Фото: 6687066.jpg (28.5 Kb) · 8923066.jpg (66.1 Kb) · 3279040.jpg (36.3 Kb) · 9897082.jpg (32.2 Kb) · 1242323.jpg (35.1 Kb)
 
 
БрошкаДата: Среда, 24.12.2014, 16:44 | Сообщение # 123
Генерал-майор
Группа: Проверенные
Сообщений: 378
Награды: 0
Репутация: 0
Статус: Offline


 
Работай из дома! 18+
 
 


Задача № 611

Найдите значение выражения: а) (30 - 2) • 5; в) 85 • 137 - 75 • 137; б) 7 • (60 - 2); г) 78 • 214 - 78 • 204.

Ответ на задание



Задача № 612

Упростите выражение: а) 4а + 90а; б) 86b - 77b; в) 209m + m; г) 302n - n.

Ответы на задание



Задача № 613

Найдите значение выражения: а) 24а + 47а + 53а + 76а, если а = 47; б) 128р - 72р - 28р, если р = 11.

Ответ на задачу



Задача № 614

Решите уравнение:
а) 14x + 27x = 656; в) 49z - z = 384;
б) 81у - 38у = 645; г) 102k - 4k = 1960.

Ответ на задание



Задача № 615

При каком значении z сумма 5z и 15z равна 840?

Ответ на задачку

Фото: 1348486.jpg (33.8 Kb) · 6651813.jpg (26.8 Kb) · 8420315.jpg (34.6 Kb) · 1095930.jpg (33.9 Kb) · 1947492.jpg (23.9 Kb)
 
 
БрошкаДата: Среда, 24.12.2014, 16:49 | Сообщение # 124
Генерал-майор
Группа: Проверенные
Сообщений: 378
Награды: 0
Репутация: 0
Статус: Offline


 
Работай из дома! 18+
 
 


Задача № 616

Масса одного метра рельса равна 32 кг. Сколько понадобится железнодорожных вагонов грузоподъемностью 60 т, чтобы перевезти все рельсы, необходимые для постройки одноколейной железной дороги длиной 180 км?

Ответ на задание



Задача № 617

В бидоне 36 л молока. Когда из него перелили в другой бидон 4 л, в обоих бидонах молока стало поровну. Сколько литров молока было в другом бидоне?

Ответы на задание



Задача № 618

В двух карманах было 28 орехов, причем в левом кармане в 3 раза больше, чем в правом. Сколько орехов было в каждом кармане?

Ответ на задачу



Задача № 619

Площадь физкультурного зала в 6 раз больше площади классной комнаты. Найдите площадь зала, если она больше площади классной комнаты на 250 м2.

Ответ на задание



Задача № 620

На складе всего 88 л сока; трехлитровых банок апельсинового сока столько же, сколько пятилитровых банок яблочного сока. Сколько литров апельсинового сока на складе?

Ответ на задачку

Фото: 6500162.jpg (35.9 Kb) · 1714847.jpg (31.6 Kb) · 2281434.jpg (36.9 Kb) · 0534196.jpg (40.1 Kb) · 7188702.jpg (36.4 Kb)
 
 
БрошкаДата: Среда, 24.12.2014, 16:52 | Сообщение # 125
Генерал-майор
Группа: Проверенные
Сообщений: 378
Награды: 0
Репутация: 0
Статус: Offline


 
Работай из дома! 18+
 
 


Задача № 621

Чтобы сделать казеиновый клей, берут 11 частей воды, 5 частей нашатырного спирта и 4 части казеина (по массе). Сколько получится казеинового клея, если на него будет израсходовано нашатырного спирта на 60 г меньше, чем воды?

Ответ на задание



Задача № 622

Для приготовления вишневого варенья на 2 части вишни берут 3 части сахара (по массе). Сколько вишни и сколько сахара пошло на варенье, если сахара пошло на 7 кг 600 г больше, чем вишни?

Ответы на задание



Задача № 623

С двух яблонь собрали 67 кг яблок, причем с одной яблони собрали на 19 кг больше, чем с другой. Сколько килограммов яблок собрали с каждой яблони?

Ответ на задачу



Задача № 624

Из 523 цыплят, выведенных в инкубаторе, петушков оказалось на 25 меньше, чем курочек. Сколько курочек и сколько петушков было выведено в инкубаторе?

Ответ на задание



Задача № 625

Найдите значение выражения: а) 5007 • (11 815 : 85 - (4806 - 4715)); б) 6003 • (24 396 : 76 - 319 + 26); в) 213 213 : (403 -36-14 469); г) 7866 : 38 - 16 146 : 78

Ответ на задачку

Фото: 4014280.jpg (48.1 Kb) · 9470699.jpg (41.6 Kb) · 9817044.jpg (37.1 Kb) · 5228862.jpg (37.0 Kb) · 5792280.jpg (40.6 Kb)
 
 
БрошкаДата: Среда, 24.12.2014, 17:00 | Сообщение # 126
Генерал-майор
Группа: Проверенные
Сообщений: 378
Награды: 0
Репутация: 0
Статус: Offline


 
Работай из дома! 18+
 
 


Задача № 626

Разгадайте чайнворд, помещенный на форзаце в конце учебника.

Ответ на задание



Задача № 627

Найдите значение выражения:

а) 48 - 29 + 37 - 19;
б) 156 + 228 - 193 - 66;
в) 39 • 45 : 65 • 2;
г) 1024 : 128 • 15 : 10;
д) 245 : 7 - 224 : 16 + 35 • 11;
е) 322 : 23 • 70 - 161 • 9 : 69;
ж) 315 : (162 + 12 • 24 - 11 • 39) + 558 : 31;
з) (24 • 7 - 377 : 29) • (2378 : 58 - 38);
и) (120 + 16 • 7) • 240 : (300 - 5 • 44);
к) (372 + 118 • 6) : (38 • 35 - 34 • 37) - 12;
л) 3124 : (3 • 504 - 4 • 307) + 10 403 : 101;
м) 15 + (12 322 : (24 + 37) - 12 • 15) : (35 • 2 - 59).

Ответы на задание



Задача № 628

Измените порядок действий на основании свойств сложения, вычитания и умножения для удобства вычислений: а) 348 + 54 + 46; г) 54 • 2 • 50; б) 543 + 89 - 43; д) 34 • 8 + 66 • 8; в) 427 - 33 - 67; е) 135 • 12 - 35 • 12.

Ответ на задачу



Задача № 629

Запишите выражение по следующей программе вычислений: 1. Сложить числа 215 и 748. 2. Вычесть из 591 число 318. 3. Перемножить результаты команд 1 и 2. Найдите значение этого выражения.

Ответ на задание



Задача № 630

Составьте программу вычисления выражения 381 • 29 - 7248 : 24 и найдите значение этого выражения.

Ответ на задачку

Фото: 2405310.jpg (29.4 Kb) · 0959381.jpg (82.6 Kb) · 0971852.jpg (42.0 Kb) · 6740090.jpg (24.8 Kb) · 0499142.jpg (33.2 Kb)
 
 
БрошкаДата: Среда, 24.12.2014, 17:03 | Сообщение # 127
Генерал-майор
Группа: Проверенные
Сообщений: 378
Награды: 0
Репутация: 0
Статус: Offline


 
Работай из дома! 18+
 
 


Задача № 631

Выполните действия по схеме (рис. 59).

Ответ на задание



Задача № 632

Составьте схему вычисления и найдите значение выражения: а) 86 • 12 : 8 + 1414 : 14; б) (32 • 15 - 250) : 46 + (180 : 12 - 8) • 9.

Ответы на задание



Задача № 633

Восстановите цепочку вычислений:

Ответ на задачу

$IMAGE3$

Задача № 634

Вычислите устно:

Ответ на задание



Задача № 635

Решите уравнение: а) х + 20 = 37; б) у + 37 = 20; в) а - 37 = 20; г) 20 - m = 37; д) 37 - с = 20; е) 20 + k = 0.

Ответ на задачку

Фото: 7209370.jpg (25.5 Kb) · 2489350.jpg (60.6 Kb) · 7419297.jpg (30.7 Kb) · 7400545.jpg (54.3 Kb)
 
 
БрошкаДата: Среда, 24.12.2014, 17:05 | Сообщение # 128
Генерал-майор
Группа: Проверенные
Сообщений: 378
Награды: 0
Репутация: 0
Статус: Offline


 
Работай из дома! 18+
 
 


Задача № 636

При вычитании каких натуральных чисел может получиться 12? Сколько пар таких чисел? Ответьте на те же вопросы для умножения и для деления

Ответ на задание



Задача № 637

Даны три числа: первое — трехзначное, второе — значение частного от деления шестизначного числа на десять, а третье — 5921. Можно ли указать наибольшее и наименьшее из этих чисел?

Ответы на задание



Задача № 638

Упростите выражение: а) 2а + 612 + 1а + 324; б) 12у + 29у + 781 + 219;

Ответ на задачу



Задача № 639

Решите уравнение: а) 8х - 7х + 10 = 12; б) 13у + 15у- 24 = 60; в) Зz - 2z + 15 = 32; г) 6t + 5t - 33 = 0; д) (х + 59) : 42 = 86; е) 528 : k - 24 = 64; ж) р : 38 - 76 = 38; з) 43m- 215 = 473; и) 89n + 68 = 9057; к) 5905 - 21 v = 316; л) 34s - 68 = 68; м) 54b - 28 = 26.

Ответ на задание



Задача № 640

Животноводческая ферма обеспечивает привес 750 г на одно животное в сутки. Какой привес получает комплекс за 30 дней на 800 животных?

Ответ на задачку

Фото: 8807957.jpg (42.0 Kb) · 8769374.jpg (40.1 Kb) · 8578491.jpg (36.7 Kb) · 5148350.jpg (65.3 Kb) · 4349408.jpg (27.2 Kb)
 
 
БрошкаДата: Среда, 24.12.2014, 17:08 | Сообщение # 129
Генерал-майор
Группа: Проверенные
Сообщений: 378
Награды: 0
Репутация: 0
Статус: Offline


 
Работай из дома! 18+
 
 


Задача № 641

В двух больших и пяти маленьких бидонах 130 л молока. Сколько молока входит в маленький бидон, если его вместимость в четыре раза меньше вместимости большего?

Ответ на задание



Задача № 642

Собака увидела хозяина, когда была от него на расстоянии 450 м, и побежала к нему со скоростью 15 м/с. Какое расстояние между хозяином и собакой будет через 4 с; через 10 с; через t с?

Ответы на задание



Задача № 643

Решите с помощью уравнения задачу: 1) У Михаила в 2 раза больше орехов, чем у Николая, а у Пети в 3 раза больше, чем у Николая. Сколько орехов у каждого, если у всех вместе 72 ореха? 2) Три девочки собрали на берегу моря 35 ракушек. Галя нашла в 4 раза больше, чем Маша, а Лена — в 2 раза больше, чем Маша. Сколько ракушек нашла каждая девочка?

Ответ на задачу



Задача № 644

Составьте программу вычисления выражения 8217 + 2138 • (6906 - 6841) : 5 - 7064. Запишите эту программу в виде схемы. Найдите значение выражения.

Ответ на задание



Задача № 645

Напишите выражение по следующей программе вычисления: 1. Умножить 271 на 49. 2. Разделить 1001 на 13. 3. Результат выполнения команды 2 умножить на 24. 4. Сложить результаты выполнения команд 1 и 3. Найдите значение этого выражения.

Ответ на задачку

Фото: 9080551.jpg (35.3 Kb) · 0163985.jpg (31.0 Kb) · 9381415.jpg (61.8 Kb) · 8966227.jpg (61.5 Kb) · 0398017.jpg (26.1 Kb)
 
 
БрошкаДата: Среда, 24.12.2014, 17:12 | Сообщение # 130
Генерал-майор
Группа: Проверенные
Сообщений: 378
Награды: 0
Репутация: 0
Статус: Offline


 
Работай из дома! 18+
 
 


Задача № 646

Напишите выражение по схеме (рис. 60). Составьте программу его вычисления и найдите его значение.

Ответ на задание



Задача № 647

Решите уравнение:

а) Зх + bх + 96 = 1568;
б) 357z - 1492 - 1843 - 11 469;
в) 2у + 7у + 78 = 1581;
г) 256m - 147m - 1871 - 63 747;
д) 88 880 : 110 + х = 809;
е) 6871 + р : 121 = 7000;
ж) 3810 + 1206 : у = 3877;
з) к + 12 705 : 121 = 105.

Ответы на задание



Задача № 648

Найдите частное: а) 1 989 680 : 187; в) 9 018 009 : 1001; б) 572 163 : 709; г) 533 368 000 : 83 600.

Ответ на задачу



Задача № 649

Теплоход 3 ч шел по озеру со скоростью 23 км/ч, а потом 4 ч по реке. Сколько километров прошел теплоход за эти 7 ч, если по реке он шел на 3 км/ч быстрее, чем по озеру?

Ответ на задание



Задача № 650

Сейчас расстояние между собакой и кошкой 30 м. Через сколько секунд собака догонит кошку, если скорость собаки 10 м/с, а кошки — 7 м/с?

Ответ на задачку

Фото: 7408262.jpg (34.0 Kb) · 4647790.jpg (59.5 Kb) · 1280569.jpg (29.7 Kb) · 7751151.jpg (30.8 Kb) · 1141897.jpg (29.4 Kb)
 
 
БрошкаДата: Среда, 24.12.2014, 17:16 | Сообщение # 131
Генерал-майор
Группа: Проверенные
Сообщений: 378
Награды: 0
Репутация: 0
Статус: Offline


 
Работай из дома! 18+
 
 


Задача № 651

Найдите в таблице (рис. 61) все числа по порядку от 2 до 50. Это упражнение полезно выполнить несколько раз; можно соревноваться с товарищем: кто быстрее отыщет все числа?

Ответ на задание

$IMAGE1$

Задача № 652

Составьте таблицу квадратов чисел от 11 до 20.

Ответы на задание



Задача № 653

Представьте в виде степени произведение:

а) 6 • 6 • 6 • 6 • 6 • 6 • 6; в) 73 • 73; б) 25 • 25 • 25 • 25 • 25; г) 11 • 11 • 11 • 11; д) 9 • 9 • 9; е) m• m • m • m • m • m; ж) х • х • х; з) у• у •у• у• у• у• у •у; и) k • к к) n • n • n •n • n; л) (х + 1)(х + 1)(х + 1); м) (7 - n)(7 - n).

Ответ на задачу



Задача № 654

Представьте в виде произведения степень: а) 75; г) 10002; ж) k3; к) (m + 2)4; б) 124; д) 607; з) а8; л) (а - 7)2; в) 153; е) n9; и) х2; м) (х 4- у)3.

Ответ на задание



Задача № 655

Найдите значения: 252; 1002; 103; II3; 123; 153.

Ответ на задачку

Фото: 0426776.jpg (33.0 Kb) · 9493263.jpg (26.2 Kb) · 5661575.jpg (41.6 Kb) · 9533605.jpg (34.5 Kb)
 
 
БрошкаДата: Среда, 24.12.2014, 17:23 | Сообщение # 132
Генерал-майор
Группа: Проверенные
Сообщений: 378
Награды: 0
Репутация: 0
Статус: Offline


 
Работай из дома! 18+
 
 


Задача № 656

Найдите значения степеней: 25; 106; I20; З4; 411; 44.

Ответ на задание



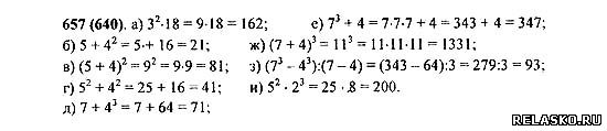
Задача № 657

Найдите значение выражения:
а) З2 • 18;
д) 7 + 43;
и) 52 • 23;
б) 5 + 42;
е) 73 + 4;
к) 25 + З4;
в) (5 + 4)2;
ж) (7 + 4)3;
л) (30 : З)5 - 1003;
г) 52 + 42;
з) (73 - 43) : (7 - 4);
м) (102 - 26) : 6 + 110.

Ответы на задание



Задача № 658

Пользуясь таблицами квадратов и кубов чисел, найдите значение д, если: 121 - n2; n2 = 196; n2 = 10 000; 125 = n3; n3 = 512.

Ответ на задачу



Задача № 659

Вычислите устно:

Ответ на задание



Задача № 660

Угадайте корни уравнения:

а) х • х = 25;
в) а • а = 1;
б) у • у = 81;
г)Ь•Ь•Ь = 0.

Ответ на задачку

Фото: 6326181.jpg (27.8 Kb) · 2347541.jpg (39.9 Kb) · 2789047.jpg (27.2 Kb) · 4410136.jpg (31.9 Kb) · 0528649.jpg (29.7 Kb)
 
 
БрошкаДата: Среда, 24.12.2014, 17:27 | Сообщение # 133
Генерал-майор
Группа: Проверенные
Сообщений: 378
Награды: 0
Репутация: 0
Статус: Offline


 
Работай из дома! 18+
 
 


Задача № 661

Какие цифры заменены звездочками? Подумайте, какие уравнения пришлось решать для нахождения 7752 неизвестных цифр.

Ответ на задание



Задача № 662

Каков порядок выполнения действий при вычислении значения выражения: а) 160 + 37 - 20; б) 90 - 60 : 15; в) 80 - 15 + 25? Если возможно, укажите другой порядок действий, приводящий к тому же результату.

Ответы на задание



Задача № 663

Составьте выражение по следующей программе: 1. Разделить 58 344 на 429. 2. 215 умножить на 48. 3. Сложить результаты команд 1 и 2. Найдите значение получившегося выражения.

Ответ на задачу



Задача № 664

Составьте схему вычисления выражения: (39 • 71 + 25 • 95) - (248 : 4 - 176 : 11).

Ответ на задание



Задача № 665

Решите задачу:

1) Сумма двух чисел 549. Одно из них в 8 раз больше другого. Найдите эти числа.
2) Сумма двух чисел 378. Одно из них в 8 раз меньше другого. Найдите эти числа.
3) Разность двух чисел 342. Одно из них в 7 раз меньше другого. Найдите эти числа.
4) Разность двух чисел 516. Одно из них в 7 раз больше другого. Найдите эти числа.

Ответ на задачку

Фото: 2561689.jpg (31.6 Kb) · 7399189.jpg (31.0 Kb) · 1725409.jpg (24.7 Kb) · 5180469.jpg (35.0 Kb) · 6461418.jpg (72.9 Kb)
 
 
БрошкаДата: Среда, 24.12.2014, 17:31 | Сообщение # 134
Генерал-майор
Группа: Проверенные
Сообщений: 378
Награды: 0
Репутация: 0
Статус: Offline


 
Работай из дома! 18+
 
 


Задача № 666

Найдите значения: 182; 53; 132; 203; 402; 303.

Ответ на задание



Задача № 667

Найдите значения: 24; З3; 105; 112; 1004; 206.

Ответы на задание



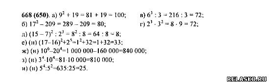
Задача № 668

Найдите значение выражения: а) 92 + 19; е) (17 - 16)8 + 25; б) 172 - 209; ж) 106 - 204; в) б3 : 3; з) З4 • 104; г) 23 • З2; и) 54 : 52. д) (15 - 7)2 : 23;

Ответ на задачу



Задача № 669

Из Москвы и Ростова-на-Дону одновременно вышли навстречу друг другу два поезда. Поезд из Москвы шел со скоростью 65 км/ч, а поезд из Ростова-на-Дону — со скоростью на 7 км/ч меньшей. На каком расстоянии друг от друга будут поезда через 6 ч после начала движения, если расстояние между Москвой и Ростовом-на-Дону 1230 км?

Ответ на задание



Задача № 670

С двух станций, расстояние между которыми 720 км, вышли одновременно навстречу друг другу два поезда. Скорость первого поезда 75 км/ч, а скорость второго на 10 км/ч больше. На каком расстоянии друг от друга будут поезда через 4 ч?

Ответ на задачку

Фото: 6805654.jpg (31.1 Kb) · 0835248.jpg (30.0 Kb) · 8617796.jpg (31.9 Kb) · 9029904.jpg (25.7 Kb) · 5727516.jpg (23.3 Kb)
 
 
БрошкаДата: Среда, 24.12.2014, 17:34 | Сообщение # 135
Генерал-майор
Группа: Проверенные
Сообщений: 378
Награды: 0
Репутация: 0
Статус: Offline


 
Работай из дома! 18+
 
 


Задача № 671

Составьте программу вычислений для нахождения значения выражения 67 392 : (3504 - 3408) + 19 232 : 601 и изобразите ее схемой. Найдите значение выражения.

Ответ на задание



Задача № 672

Выполните действия: 14 • (3600 • 18 - 239 200 : 46).

Ответы на задание



Задача № 673

Попробуйте рассказать, что это за свойство. Проверьте, выполняется ли оно для квадратов нескольких следующих чисел.

Ответ на задачу



Задача № 674

Найдите по формуле s = vt путь, пройденный: а) со скоростью 96 м/мин за 25 мин; б) со скоростью 7 км/ч за 6 ч.

Ответ на задание



Задача № 675

Найдите по формуле пути значение скорости v если: а) t = 12 ч, s = 240 км; б) t = 5 с, s = 15 м.

Ответ на задачку




Продолжение решебника по Математике

Фото: 2261857.jpg (40.8 Kb) · 3516080.jpg (19.0 Kb) · 4281192.jpg (29.7 Kb) · 9397627.jpg (21.4 Kb) · 2375279.jpg (20.3 Kb)
 
 
Поиск:

Работай из дома! 18+
 
 
 
 
 
 

 
Последние темы на форуме:
 
  • Новогодние праздники 2021-2022 официальные выходные
  • Показатели давления и сердцебиения у женщины 57 лет
  • Гороскоп на декабрь 2021 Женщина Телец
  • Гороскоп на январь 2022 от Павла Глоба
  • Гороскоп на декабрь 2021 от Павла Глоба
  • Гороскоп на ноябрь 2021 от Павла Глоба
  • Стенограмма судьбы - Содержание серий, актеры и роли сериала
  • Мосгаз. Западня - Содержание серий, актеры и роли 2021
  • Тобол - Содержание серий, актеры и роли сериала. 2021
  • Гороскоп для Тигра на сегодня от Павла Глоба
  • Утраченные воспоминания - Содержание серий, актеры и роли
  • Чёрно-белая любовь - Содержание серий, актеры и роли сериала
  • Забытая женщина - Содержание серий, актеры и роли сериала
  • Тайна спящей дамы - Содержание серий, актеры и роли сериала
  • Сериал Часы с кукушкой - Содержание серий, актеры и роли
  •  
     

     
    Обращаем ваше внимание на то, что данный интернет-сайт www.kinolog.do.am носит исключительно информационный характер и ни при каких условиях не является публичной офертой, определяемой положениями Статьи 437 (2) Гражданского кодекса РФ. Цена и наличие товара может отличаться от действительной. Пожалуйста, уточняйте цены и наличие товара у наших менеджеров.
    Администрация сайта не несет ответственности за действия и содержание размещаемой информации пользователей: комментарии, материалы, сообщения и темы на форуме, публикации, объявления и т.д.
    Правообладателям | Реклама | Учебники | Политика
    Отопление, водоснабжение, газоснабжение, канализация © 2003 - 2021
    Рейтинг@Mail.ru Рейтинг арматурных сайтов. ARMTORG.RU Яндекс.Метрика