[ Новые сообщения · Участники · Правила форума · Поиск · RSS ]
 
Работай из дома! 18+

Решебник по Алгебре. 10 - 11 класс. Мордкович
CSKAДата: Среда, 02.09.2015, 16:44 | Сообщение # 76
Полковник
Группа: Проверенные
Сообщений: 169
Награды: 0
Репутация: 0
Статус: Offline


 
Работай из дома! 18+
 
 


Ответы на задания из параграфа № 21. Мордкович А. Г. Алгебра 10-11 класс.

Для увеличения ответа на задачу, нажмите на картинку



---------------------------------------------------------------------



---------------------------------------------------------------------



---------------------------------------------------------------------



---------------------------------------------------------------------



---------------------------------------------------------------------

Перейти в оглавление решебника по Алгебре. Мордкович
Фото: 9431602.jpg (20.2 Kb) · 0696851.jpg (15.9 Kb) · 3700914.jpg (25.6 Kb) · 0658708.jpg (15.1 Kb) · 2731126.jpg (19.6 Kb)
 
 
CSKAДата: Среда, 02.09.2015, 16:44 | Сообщение # 77
Полковник
Группа: Проверенные
Сообщений: 169
Награды: 0
Репутация: 0
Статус: Offline


 
Работай из дома! 18+
 
 


Ответы на задания из параграфа № 21. Мордкович А. Г. Алгебра 10-11 класс.

Для увеличения ответа на задачу, нажмите на картинку



---------------------------------------------------------------------



---------------------------------------------------------------------



---------------------------------------------------------------------

Перейти в оглавление решебника по Алгебре. Мордкович
Фото: 8194047.jpg (15.0 Kb) · 7323171.jpg (9.8 Kb) · 8236746.jpg (13.1 Kb)
 
 
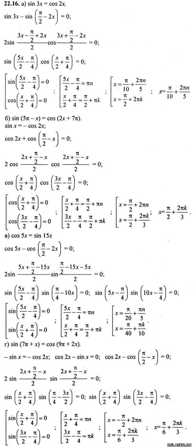
CSKAДата: Среда, 02.09.2015, 16:49 | Сообщение # 78
Полковник
Группа: Проверенные
Сообщений: 169
Награды: 0
Репутация: 0
Статус: Offline


 
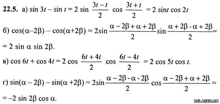
Работай из дома! 18+
 
 


Ответы на задания из параграфа № 22. Мордкович А. Г. Алгебра 10-11 класс.

Для увеличения ответа на задачу, нажмите на картинку



---------------------------------------------------------------------



---------------------------------------------------------------------



---------------------------------------------------------------------



---------------------------------------------------------------------



---------------------------------------------------------------------

Перейти в оглавление решебника по Алгебре. Мордкович
Фото: 0996390.jpg (17.6 Kb) · 4796146.jpg (22.1 Kb) · 9699958.jpg (20.5 Kb) · 1045557.jpg (23.7 Kb) · 8703978.jpg (19.3 Kb)
 
 
CSKAДата: Среда, 02.09.2015, 16:49 | Сообщение # 79
Полковник
Группа: Проверенные
Сообщений: 169
Награды: 0
Репутация: 0
Статус: Offline


 
Работай из дома! 18+
 
 


Ответы на задания из параграфа № 22. Мордкович А. Г. Алгебра 10-11 класс.

Для увеличения ответа на задачу, нажмите на картинку



---------------------------------------------------------------------



---------------------------------------------------------------------



---------------------------------------------------------------------



---------------------------------------------------------------------



---------------------------------------------------------------------

Перейти в оглавление решебника по Алгебре. Мордкович
Фото: 7567240.jpg (26.5 Kb) · 6033367.jpg (23.1 Kb) · 4396395.jpg (29.5 Kb) · 7796987.jpg (26.3 Kb) · 4852535.jpg (39.9 Kb)
 
 
CSKAДата: Среда, 02.09.2015, 16:50 | Сообщение # 80
Полковник
Группа: Проверенные
Сообщений: 169
Награды: 0
Репутация: 0
Статус: Offline


 
Работай из дома! 18+
 
 


Ответы на задания из параграфа № 22. Мордкович А. Г. Алгебра 10-11 класс.

Для увеличения ответа на задачу, нажмите на картинку



---------------------------------------------------------------------



---------------------------------------------------------------------



---------------------------------------------------------------------



---------------------------------------------------------------------



---------------------------------------------------------------------

Перейти в оглавление решебника по Алгебре. Мордкович
Фото: 7920025.jpg (23.9 Kb) · 5700523.jpg (27.7 Kb) · 8742723.jpg (18.2 Kb) · 8508065.jpg (31.2 Kb) · 2289575.jpg (19.9 Kb)
 
 
CSKAДата: Среда, 02.09.2015, 16:50 | Сообщение # 81
Полковник
Группа: Проверенные
Сообщений: 169
Награды: 0
Репутация: 0
Статус: Offline


 
Работай из дома! 18+
 
 


Ответы на задания из параграфа № 22. Мордкович А. Г. Алгебра 10-11 класс.

Для увеличения ответа на задачу, нажмите на картинку



---------------------------------------------------------------------



---------------------------------------------------------------------



---------------------------------------------------------------------



---------------------------------------------------------------------



---------------------------------------------------------------------

Перейти в оглавление решебника по Алгебре. Мордкович
Фото: 0833270.jpg (97.5 Kb) · 8731654.jpg (50.9 Kb) · 9867044.jpg (20.7 Kb) · 7720913.jpg (91.5 Kb) · 9784077.jpg (31.9 Kb)
 
 
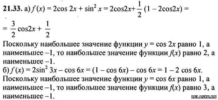
CSKAДата: Среда, 02.09.2015, 16:51 | Сообщение # 82
Полковник
Группа: Проверенные
Сообщений: 169
Награды: 0
Репутация: 0
Статус: Offline


 
Работай из дома! 18+
 
 


Ответы на задания из параграфа № 22. Мордкович А. Г. Алгебра 10-11 класс.

Для увеличения ответа на задачу, нажмите на картинку



---------------------------------------------------------------------



---------------------------------------------------------------------

Перейти в оглавление решебника по Алгебре. Мордкович
Фото: 7305026.jpg (46.5 Kb) · 0641588.jpg (35.8 Kb)
 
 
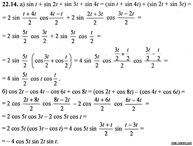
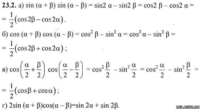
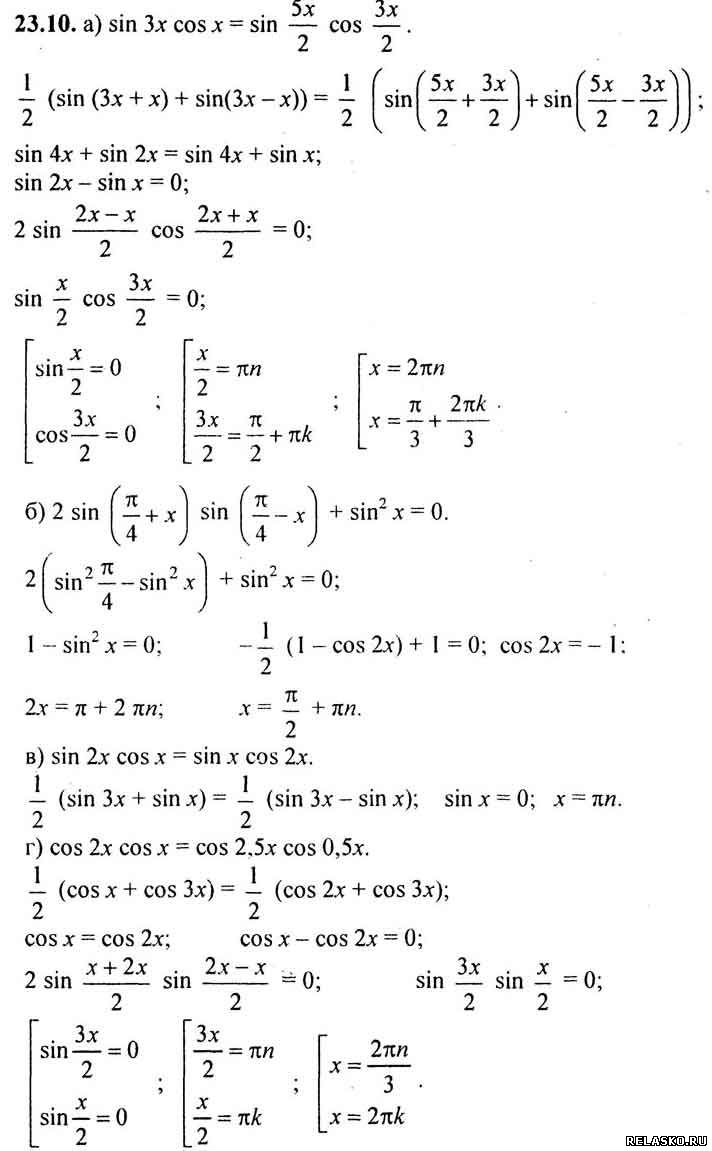
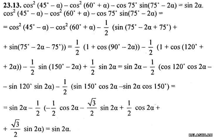
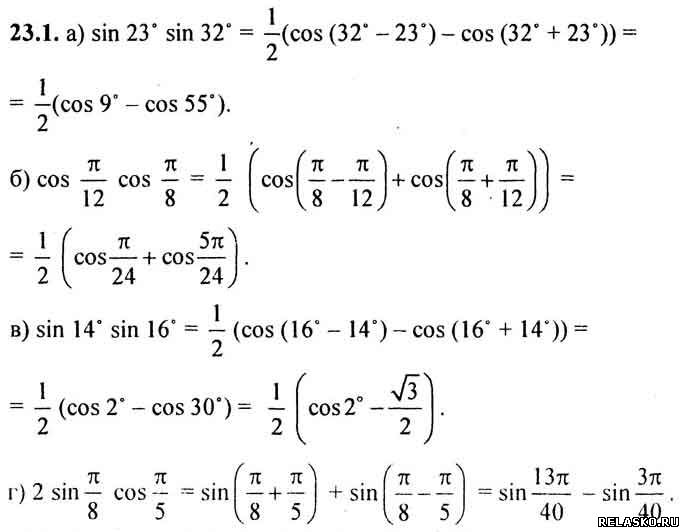
CSKAДата: Среда, 02.09.2015, 16:53 | Сообщение # 83
Полковник
Группа: Проверенные
Сообщений: 169
Награды: 0
Репутация: 0
Статус: Offline


 
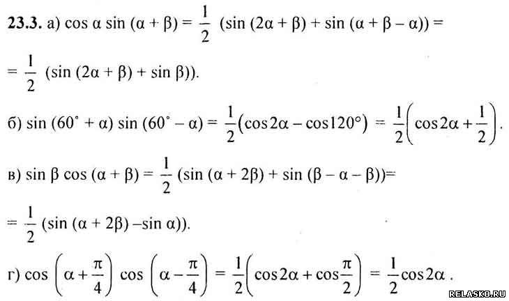
Работай из дома! 18+
 
 


Ответы на задания из параграфа № 23. Мордкович А. Г. Алгебра 10-11 класс.

Для увеличения ответа на задачу, нажмите на картинку



---------------------------------------------------------------------



---------------------------------------------------------------------



---------------------------------------------------------------------



---------------------------------------------------------------------



---------------------------------------------------------------------

Перейти в оглавление решебника по Алгебре. Мордкович
Фото: 1317569.jpg (23.6 Kb) · 7542988.jpg (19.1 Kb) · 1327980.jpg (20.1 Kb) · 9873540.jpg (26.3 Kb) · 6543703.jpg (26.3 Kb)
 
 
CSKAДата: Среда, 02.09.2015, 16:53 | Сообщение # 84
Полковник
Группа: Проверенные
Сообщений: 169
Награды: 0
Репутация: 0
Статус: Offline


 
Работай из дома! 18+
 
 


Ответы на задания из параграфа № 23. Мордкович А. Г. Алгебра 10-11 класс.

Для увеличения ответа на задачу, нажмите на картинку



---------------------------------------------------------------------



---------------------------------------------------------------------



---------------------------------------------------------------------



---------------------------------------------------------------------



---------------------------------------------------------------------

Перейти в оглавление решебника по Алгебре. Мордкович
Фото: 3541571.jpg (18.1 Kb) · 3867254.jpg (18.7 Kb) · 7587837.jpg (13.8 Kb) · 4833492.jpg (23.5 Kb) · 9104842.jpg (48.7 Kb)
 
 
CSKAДата: Среда, 02.09.2015, 16:54 | Сообщение # 85
Полковник
Группа: Проверенные
Сообщений: 169
Награды: 0
Репутация: 0
Статус: Offline


 
Работай из дома! 18+
 
 


Ответы на задания из параграфа № 23. Мордкович А. Г. Алгебра 10-11 класс.

Для увеличения ответа на задачу, нажмите на картинку



---------------------------------------------------------------------



---------------------------------------------------------------------



---------------------------------------------------------------------

Перейти в оглавление решебника по Алгебре. Мордкович
Фото: 5620474.jpg (37.3 Kb) · 8772124.jpg (43.0 Kb) · 2923466.jpg (26.2 Kb)
 
 
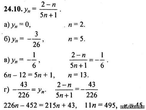
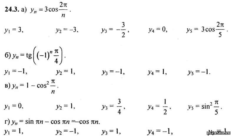
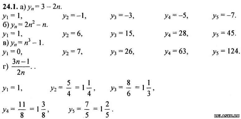
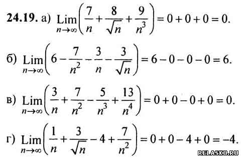
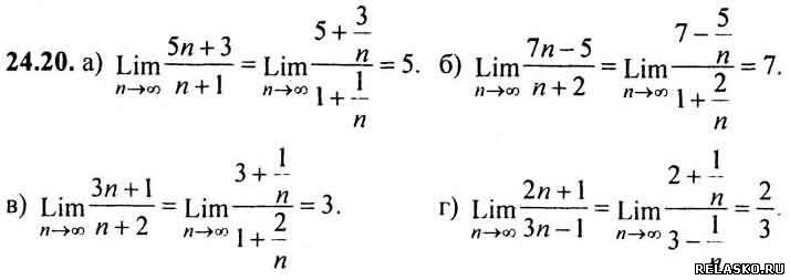
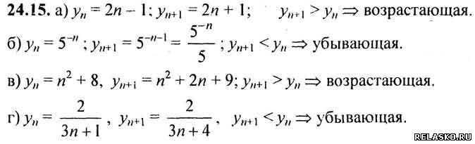
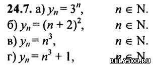
CSKAДата: Среда, 02.09.2015, 16:56 | Сообщение # 86
Полковник
Группа: Проверенные
Сообщений: 169
Награды: 0
Репутация: 0
Статус: Offline


 
Работай из дома! 18+
 
 


Ответы на задания из параграфа № 24. Мордкович А. Г. Алгебра 10-11 класс.

Для увеличения ответа на задачу, нажмите на картинку



---------------------------------------------------------------------



---------------------------------------------------------------------



---------------------------------------------------------------------



---------------------------------------------------------------------



---------------------------------------------------------------------

Перейти в оглавление решебника по Алгебре. Мордкович
Фото: 0054083.jpg (14.5 Kb) · 7080141.jpg (19.6 Kb) · 4559075.jpg (15.7 Kb) · 8612981.jpg (5.3 Kb) · 1256512.jpg (4.5 Kb)
 
 
CSKAДата: Среда, 02.09.2015, 16:57 | Сообщение # 87
Полковник
Группа: Проверенные
Сообщений: 169
Награды: 0
Репутация: 0
Статус: Offline


 
Работай из дома! 18+
 
 


Ответы на задания из параграфа № 24. Мордкович А. Г. Алгебра 10-11 класс.

Для увеличения ответа на задачу, нажмите на картинку



---------------------------------------------------------------------



---------------------------------------------------------------------



---------------------------------------------------------------------



---------------------------------------------------------------------



---------------------------------------------------------------------

Перейти в оглавление решебника по Алгебре. Мордкович
Фото: 3737819.jpg (4.4 Kb) · 2566114.jpg (4.9 Kb) · 8910774.jpg (6.2 Kb) · 1095200.jpg (4.0 Kb) · 4999844.jpg (11.9 Kb)
 
 
CSKAДата: Среда, 02.09.2015, 16:57 | Сообщение # 88
Полковник
Группа: Проверенные
Сообщений: 169
Награды: 0
Репутация: 0
Статус: Offline


 
Работай из дома! 18+
 
 


Ответы на задания из параграфа № 24. Мордкович А. Г. Алгебра 10-11 класс.

Для увеличения ответа на задачу, нажмите на картинку



---------------------------------------------------------------------



---------------------------------------------------------------------



---------------------------------------------------------------------



---------------------------------------------------------------------



---------------------------------------------------------------------

Перейти в оглавление решебника по Алгебре. Мордкович
Фото: 4484315.jpg (21.7 Kb) · 0441996.jpg (10.1 Kb) · 7915879.jpg (10.4 Kb) · 4800359.jpg (12.3 Kb) · 1269461.jpg (12.9 Kb)
 
 
CSKAДата: Среда, 02.09.2015, 16:58 | Сообщение # 89
Полковник
Группа: Проверенные
Сообщений: 169
Награды: 0
Репутация: 0
Статус: Offline


 
Работай из дома! 18+
 
 


Ответы на задания из параграфа № 24. Мордкович А. Г. Алгебра 10-11 класс.

Для увеличения ответа на задачу, нажмите на картинку



---------------------------------------------------------------------



---------------------------------------------------------------------



---------------------------------------------------------------------



---------------------------------------------------------------------



---------------------------------------------------------------------

Продолжение ответов из задачника по Алгебре. Мордкович
Фото: 2033784.jpg (17.2 Kb) · 2260904.jpg (3.5 Kb) · 8400397.jpg (6.5 Kb) · 7212678.jpg (12.8 Kb) · 8752882.jpg (12.6 Kb)
 
 
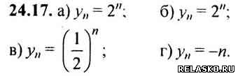
CSKAДата: Среда, 02.09.2015, 16:58 | Сообщение # 90
Полковник
Группа: Проверенные
Сообщений: 169
Награды: 0
Репутация: 0
Статус: Offline


 
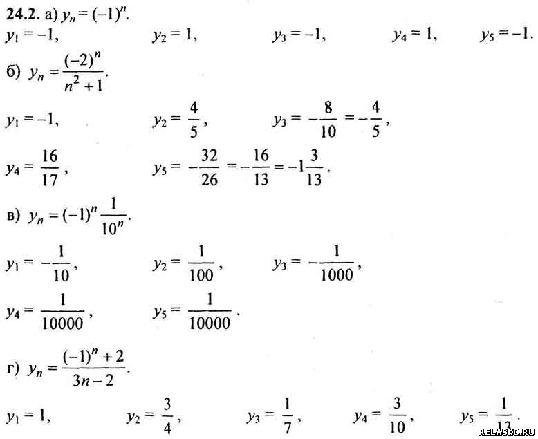
Работай из дома! 18+
 
 




Ответы на задания из параграфа № 24. Мордкович А. Г. Алгебра 10-11 класс.

Для увеличения ответа на задачу, нажмите на картинку



---------------------------------------------------------------------



---------------------------------------------------------------------

$IMAGE3$

---------------------------------------------------------------------

Перейти в оглавление решебника по Алгебре. Мордкович
Фото: 8095749.jpg (5.6 Kb) · 8427760.jpg (13.1 Kb)
 
 
Поиск:

Работай из дома! 18+
 
 
 
 
 
 

 
Последние темы на форуме:
 
  • Новогодние праздники 2021-2022 официальные выходные
  • Показатели давления и сердцебиения у женщины 57 лет
  • Гороскоп на декабрь 2021 Женщина Телец
  • Гороскоп на январь 2022 от Павла Глоба
  • Гороскоп на декабрь 2021 от Павла Глоба
  • Гороскоп на ноябрь 2021 от Павла Глоба
  • Стенограмма судьбы - Содержание серий, актеры и роли сериала
  • Мосгаз. Западня - Содержание серий, актеры и роли 2021
  • Тобол - Содержание серий, актеры и роли сериала. 2021
  • Гороскоп для Тигра на сегодня от Павла Глоба
  • Утраченные воспоминания - Содержание серий, актеры и роли
  • Чёрно-белая любовь - Содержание серий, актеры и роли сериала
  • Забытая женщина - Содержание серий, актеры и роли сериала
  • Тайна спящей дамы - Содержание серий, актеры и роли сериала
  • Сериал Часы с кукушкой - Содержание серий, актеры и роли
  •  
     

     
    Обращаем ваше внимание на то, что данный интернет-сайт www.kinolog.do.am носит исключительно информационный характер и ни при каких условиях не является публичной офертой, определяемой положениями Статьи 437 (2) Гражданского кодекса РФ. Цена и наличие товара может отличаться от действительной. Пожалуйста, уточняйте цены и наличие товара у наших менеджеров.
    Администрация сайта не несет ответственности за действия и содержание размещаемой информации пользователей: комментарии, материалы, сообщения и темы на форуме, публикации, объявления и т.д.
    Правообладателям | Реклама | Учебники | Политика
    Отопление, водоснабжение, газоснабжение, канализация © 2003 - 2021
    Рейтинг@Mail.ru Рейтинг арматурных сайтов. ARMTORG.RU Яндекс.Метрика