[ Новые сообщения · Участники · Правила форума · Поиск · RSS ]
 
Работай из дома! 18+

Решебник по Алгебре. 10 - 11 класс. Мордкович
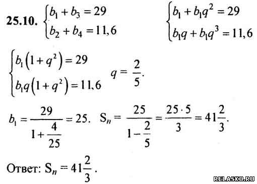
CSKAДата: Среда, 02.09.2015, 17:09 | Сообщение # 91
Полковник
Группа: Проверенные
Сообщений: 169
Награды: 0
Репутация: 0
Статус: Offline


 
Работай из дома! 18+
 
 


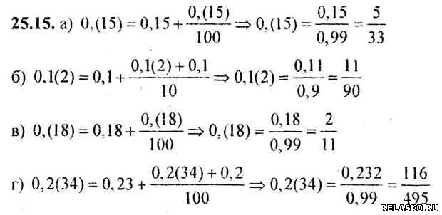
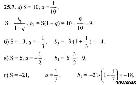
Ответы на задания из параграфа № 25. Мордкович А. Г. Алгебра 10-11 класс.

Для увеличения ответа на задачу, нажмите на картинку



---------------------------------------------------------------------



---------------------------------------------------------------------



---------------------------------------------------------------------



---------------------------------------------------------------------



---------------------------------------------------------------------

Перейти в оглавление решебника по Алгебре. Мордкович
Фото: 0921573.jpg (10.7 Kb) · 8414861.jpg (15.4 Kb) · 0295587.jpg (15.8 Kb) · 8285490.jpg (20.0 Kb) · 8409890.jpg (13.1 Kb)
 
 
CSKAДата: Среда, 02.09.2015, 17:09 | Сообщение # 92
Полковник
Группа: Проверенные
Сообщений: 169
Награды: 0
Репутация: 0
Статус: Offline


 
Работай из дома! 18+
 
 


Ответы на задания из параграфа № 25. Мордкович А. Г. Алгебра 10-11 класс.

Для увеличения ответа на задачу, нажмите на картинку



---------------------------------------------------------------------



---------------------------------------------------------------------



---------------------------------------------------------------------



---------------------------------------------------------------------



---------------------------------------------------------------------

Перейти в оглавление решебника по Алгебре. Мордкович
Фото: 7515285.jpg (12.0 Kb) · 2424876.jpg (10.3 Kb) · 1690989.jpg (17.9 Kb) · 5267984.jpg (17.7 Kb) · 8388681.jpg (11.9 Kb)
 
 
CSKAДата: Среда, 02.09.2015, 17:10 | Сообщение # 93
Полковник
Группа: Проверенные
Сообщений: 169
Награды: 0
Репутация: 0
Статус: Offline


 
Работай из дома! 18+
 
 


Ответы на задания из параграфа № 25. Мордкович А. Г. Алгебра 10-11 класс.

Для увеличения ответа на задачу, нажмите на картинку



---------------------------------------------------------------------



---------------------------------------------------------------------



---------------------------------------------------------------------



---------------------------------------------------------------------



---------------------------------------------------------------------

Перейти в оглавление решебника по Алгебре. Мордкович
Фото: 5920886.jpg (9.4 Kb) · 0166612.jpg (16.0 Kb) · 1289044.jpg (10.6 Kb) · 6355581.jpg (8.2 Kb) · 8716249.jpg (15.8 Kb)
 
 
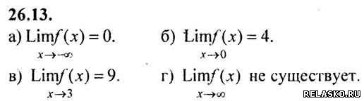
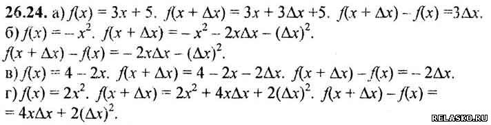
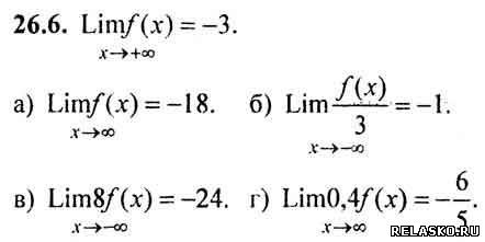
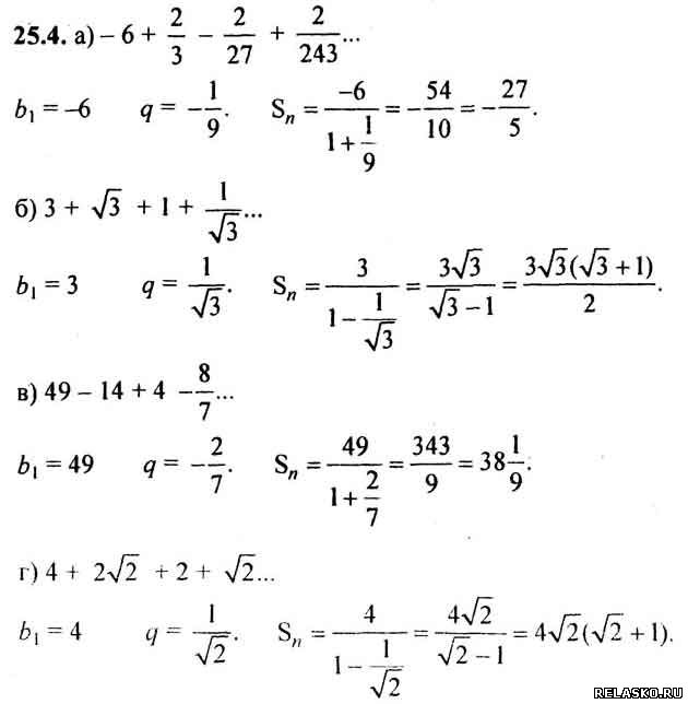
CSKAДата: Среда, 02.09.2015, 17:15 | Сообщение # 94
Полковник
Группа: Проверенные
Сообщений: 169
Награды: 0
Репутация: 0
Статус: Offline


 
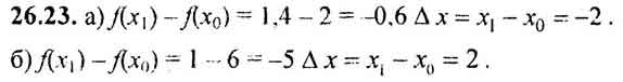
Работай из дома! 18+
 
 


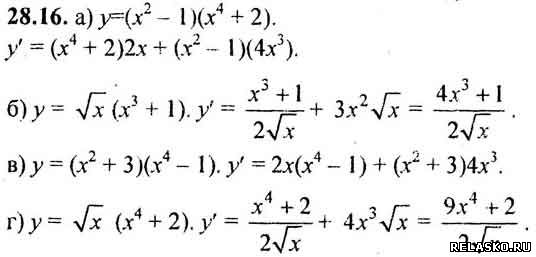
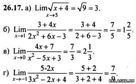
Ответы на задания из параграфа № 26. Мордкович А. Г. Алгебра 10-11 класс.

Для увеличения ответа на задачу, нажмите на картинку



---------------------------------------------------------------------



---------------------------------------------------------------------



---------------------------------------------------------------------



---------------------------------------------------------------------



---------------------------------------------------------------------

Перейти в оглавление решебника по Алгебре. Мордкович
Фото: 6096299.jpg (6.4 Kb) · 2425980.jpg (23.7 Kb) · 2277815.jpg (18.7 Kb) · 3919931.jpg (12.2 Kb) · 9137693.jpg (24.1 Kb)
 
 
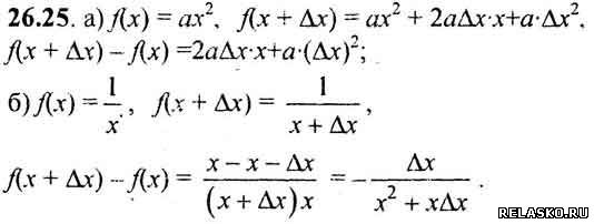
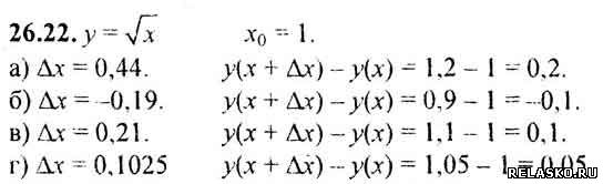
CSKAДата: Среда, 02.09.2015, 17:15 | Сообщение # 95
Полковник
Группа: Проверенные
Сообщений: 169
Награды: 0
Репутация: 0
Статус: Offline


 
Работай из дома! 18+
 
 


Ответы на задания из параграфа № 26. Мордкович А. Г. Алгебра 10-11 класс.

Для увеличения ответа на задачу, нажмите на картинку



---------------------------------------------------------------------



---------------------------------------------------------------------



---------------------------------------------------------------------



---------------------------------------------------------------------



---------------------------------------------------------------------

Перейти в оглавление решебника по Алгебре. Мордкович
Фото: 6379674.jpg (7.7 Kb) · 1819081.jpg (18.1 Kb) · 2503376.jpg (9.9 Kb) · 8842186.jpg (9.3 Kb) · 6755260.jpg (18.9 Kb)
 
 
CSKAДата: Среда, 02.09.2015, 17:16 | Сообщение # 96
Полковник
Группа: Проверенные
Сообщений: 169
Награды: 0
Репутация: 0
Статус: Offline


 
Работай из дома! 18+
 
 


Ответы на задания из параграфа № 26. Мордкович А. Г. Алгебра 10-11 класс.

Для увеличения ответа на задачу, нажмите на картинку



---------------------------------------------------------------------



---------------------------------------------------------------------



---------------------------------------------------------------------



---------------------------------------------------------------------



---------------------------------------------------------------------

Перейти в оглавление решебника по Алгебре. Мордкович
Фото: 4815600.jpg (10.9 Kb) · 1377940.jpg (16.0 Kb) · 8845643.jpg (5.9 Kb) · 9708890.jpg (31.8 Kb) · 9292529.jpg (27.1 Kb)
 
 
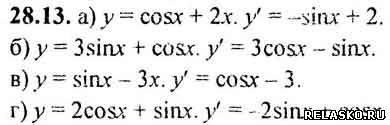
CSKAДата: Среда, 02.09.2015, 17:17 | Сообщение # 97
Полковник
Группа: Проверенные
Сообщений: 169
Награды: 0
Репутация: 0
Статус: Offline


 
Работай из дома! 18+
 
 


Ответы на задания из параграфа № 26. Мордкович А. Г. Алгебра 10-11 класс.

Для увеличения ответа на задачу, нажмите на картинку



---------------------------------------------------------------------



---------------------------------------------------------------------



---------------------------------------------------------------------



---------------------------------------------------------------------



---------------------------------------------------------------------

Перейти в оглавление решебника по Алгебре. Мордкович
Фото: 3455381.jpg (11.0 Kb) · 7715930.jpg (11.2 Kb) · 4470721.jpg (10.6 Kb) · 9751263.jpg (11.7 Kb) · 4199343.jpg (8.1 Kb)
 
 
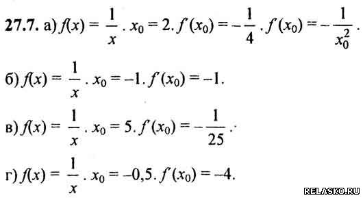
CSKAДата: Среда, 02.09.2015, 17:17 | Сообщение # 98
Полковник
Группа: Проверенные
Сообщений: 169
Награды: 0
Репутация: 0
Статус: Offline


 
Работай из дома! 18+
 
 


Ответы на задания из параграфа № 26. Мордкович А. Г. Алгебра 10-11 класс.

Для увеличения ответа на задачу, нажмите на картинку



---------------------------------------------------------------------



---------------------------------------------------------------------



---------------------------------------------------------------------



---------------------------------------------------------------------



---------------------------------------------------------------------

Перейти в оглавление решебника по Алгебре. Мордкович
Фото: 1717077.jpg (9.1 Kb) · 9546101.jpg (10.0 Kb) · 0824112.jpg (5.1 Kb) · 8936443.jpg (15.2 Kb) · 4942389.jpg (10.2 Kb)
 
 
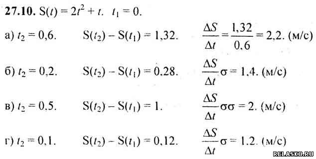
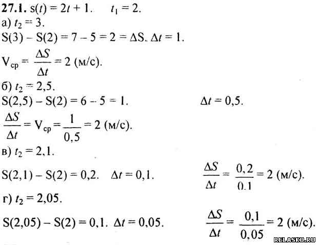
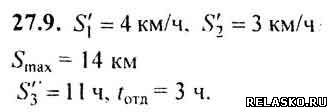
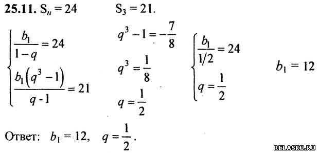
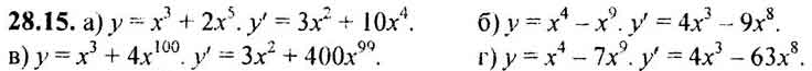
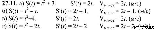
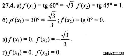
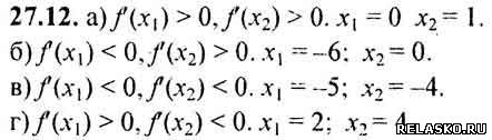
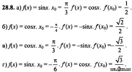
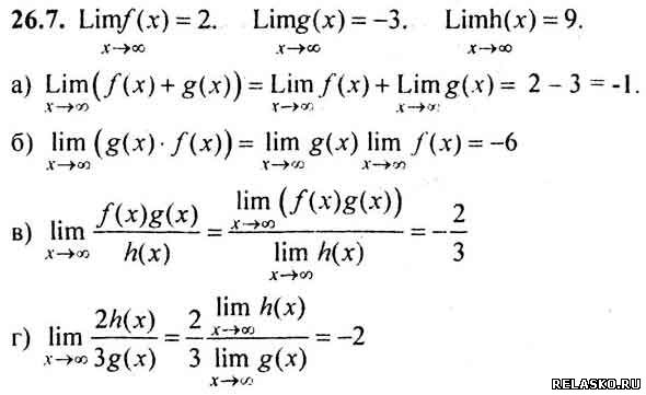
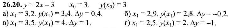
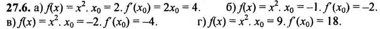
CSKAДата: Среда, 02.09.2015, 17:20 | Сообщение # 99
Полковник
Группа: Проверенные
Сообщений: 169
Награды: 0
Репутация: 0
Статус: Offline


 
Работай из дома! 18+
 
 


Ответы на задания из параграфа № 27. Мордкович А. Г. Алгебра 10-11 класс.

Для увеличения ответа на задачу, нажмите на картинку



---------------------------------------------------------------------



---------------------------------------------------------------------



---------------------------------------------------------------------



---------------------------------------------------------------------



---------------------------------------------------------------------

Перейти в оглавление решебника по Алгебре. Мордкович
Фото: 1983889.jpg (17.8 Kb) · 4217485.jpg (15.0 Kb) · 8009899.jpg (7.3 Kb) · 1326917.jpg (8.7 Kb) · 1008274.jpg (6.3 Kb)
 
 
CSKAДата: Среда, 02.09.2015, 17:20 | Сообщение # 100
Полковник
Группа: Проверенные
Сообщений: 169
Награды: 0
Репутация: 0
Статус: Offline


 
Работай из дома! 18+
 
 


Ответы на задания из параграфа № 27. Мордкович А. Г. Алгебра 10-11 класс.

Для увеличения ответа на задачу, нажмите на картинку



---------------------------------------------------------------------



---------------------------------------------------------------------



---------------------------------------------------------------------



---------------------------------------------------------------------



---------------------------------------------------------------------

Перейти в оглавление решебника по Алгебре. Мордкович
Фото: 1854133.jpg (7.3 Kb) · 2268048.jpg (9.3 Kb) · 2580262.jpg (9.5 Kb) · 3304622.jpg (3.3 Kb) · 7685399.jpg (13.9 Kb)
 
 
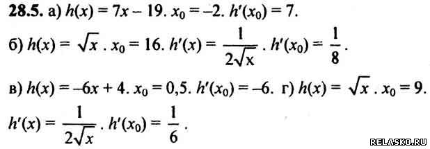
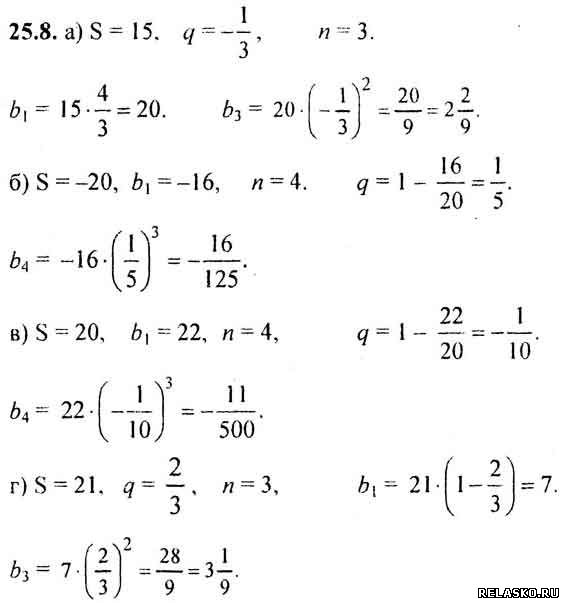
CSKAДата: Среда, 02.09.2015, 17:21 | Сообщение # 101
Полковник
Группа: Проверенные
Сообщений: 169
Награды: 0
Репутация: 0
Статус: Offline


 
Работай из дома! 18+
 
 


Ответы на задания из параграфа № 27. Мордкович А. Г. Алгебра 10-11 класс.

Для увеличения ответа на задачу, нажмите на картинку



---------------------------------------------------------------------



---------------------------------------------------------------------



---------------------------------------------------------------------



---------------------------------------------------------------------

Перейти в оглавление решебника по Алгебре. Мордкович
Фото: 2239517.jpg (9.7 Kb) · 5244203.jpg (8.2 Kb) · 1588370.jpg (4.4 Kb) · 4315413.jpg (6.2 Kb)
 
 
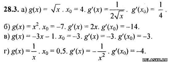
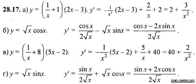
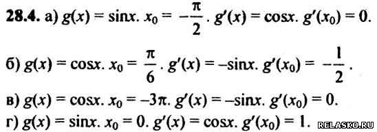
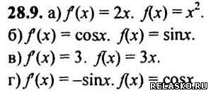
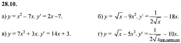
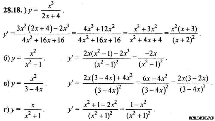
CSKAДата: Среда, 02.09.2015, 17:24 | Сообщение # 102
Полковник
Группа: Проверенные
Сообщений: 169
Награды: 0
Репутация: 0
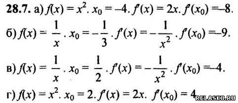
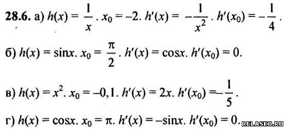
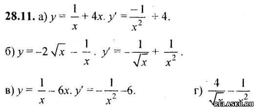
Статус: Offline


 
Работай из дома! 18+
 
 


Ответы на задания из параграфа № 28. Мордкович А. Г. Алгебра 10-11 класс.

Для увеличения ответа на задачу, нажмите на картинку



---------------------------------------------------------------------



---------------------------------------------------------------------



---------------------------------------------------------------------



---------------------------------------------------------------------



---------------------------------------------------------------------

Перейти в оглавление решебника по Алгебре. Мордкович
Фото: 2945091.jpg (4.6 Kb) · 2933637.jpg (5.0 Kb) · 0216717.jpg (10.6 Kb) · 7362379.jpg (11.6 Kb) · 6986190.jpg (10.9 Kb)
 
 
CSKAДата: Среда, 02.09.2015, 17:25 | Сообщение # 103
Полковник
Группа: Проверенные
Сообщений: 169
Награды: 0
Репутация: 0
Статус: Offline


 
Работай из дома! 18+
 
 


Ответы на задания из параграфа № 28. Мордкович А. Г. Алгебра 10-11 класс.

Для увеличения ответа на задачу, нажмите на картинку



---------------------------------------------------------------------



---------------------------------------------------------------------



---------------------------------------------------------------------



---------------------------------------------------------------------



---------------------------------------------------------------------

Перейти в оглавление решебника по Алгебре. Мордкович
Фото: 4490775.jpg (11.3 Kb) · 4562255.jpg (10.3 Kb) · 6517669.jpg (12.3 Kb) · 2207241.jpg (6.2 Kb) · 6764230.jpg (7.3 Kb)
 
 
CSKAДата: Среда, 02.09.2015, 17:26 | Сообщение # 104
Полковник
Группа: Проверенные
Сообщений: 169
Награды: 0
Репутация: 0
Статус: Offline


 
Работай из дома! 18+
 
 


Ответы на задания из параграфа № 28. Мордкович А. Г. Алгебра 10-11 класс.

Для увеличения ответа на задачу, нажмите на картинку



---------------------------------------------------------------------



---------------------------------------------------------------------



---------------------------------------------------------------------



---------------------------------------------------------------------



---------------------------------------------------------------------

Продолжение ответов из задачника по Алгебре. Мордкович
Фото: 0638093.jpg (6.6 Kb) · 3805523.jpg (5.5 Kb) · 2594493.jpg (7.0 Kb) · 4668668.jpg (5.2 Kb) · 2062215.jpg (6.6 Kb)
 
 
CSKAДата: Среда, 02.09.2015, 17:26 | Сообщение # 105
Полковник
Группа: Проверенные
Сообщений: 169
Награды: 0
Репутация: 0
Статус: Offline


 
Работай из дома! 18+
 
 




Ответы на задания из параграфа № 28. Мордкович А. Г. Алгебра 10-11 класс.

Для увеличения ответа на задачу, нажмите на картинку



---------------------------------------------------------------------



---------------------------------------------------------------------



---------------------------------------------------------------------



---------------------------------------------------------------------



---------------------------------------------------------------------

Перейти в оглавление решебника по Алгебре. Мордкович
Фото: 2188171.jpg (12.8 Kb) · 4685380.jpg (15.5 Kb) · 8089900.jpg (21.3 Kb) · 8642800.jpg (9.8 Kb) · 3767267.jpg (9.3 Kb)
 
 
Поиск:

Работай из дома! 18+
 
 
 
 
 
 

 
Последние темы на форуме:
 
  • Новогодние праздники 2021-2022 официальные выходные
  • Показатели давления и сердцебиения у женщины 57 лет
  • Гороскоп на декабрь 2021 Женщина Телец
  • Гороскоп на январь 2022 от Павла Глоба
  • Гороскоп на декабрь 2021 от Павла Глоба
  • Гороскоп на ноябрь 2021 от Павла Глоба
  • Стенограмма судьбы - Содержание серий, актеры и роли сериала
  • Мосгаз. Западня - Содержание серий, актеры и роли 2021
  • Тобол - Содержание серий, актеры и роли сериала. 2021
  • Гороскоп для Тигра на сегодня от Павла Глоба
  • Утраченные воспоминания - Содержание серий, актеры и роли
  • Чёрно-белая любовь - Содержание серий, актеры и роли сериала
  • Забытая женщина - Содержание серий, актеры и роли сериала
  • Тайна спящей дамы - Содержание серий, актеры и роли сериала
  • Сериал Часы с кукушкой - Содержание серий, актеры и роли
  •  
     

     
    Обращаем ваше внимание на то, что данный интернет-сайт www.kinolog.do.am носит исключительно информационный характер и ни при каких условиях не является публичной офертой, определяемой положениями Статьи 437 (2) Гражданского кодекса РФ. Цена и наличие товара может отличаться от действительной. Пожалуйста, уточняйте цены и наличие товара у наших менеджеров.
    Администрация сайта не несет ответственности за действия и содержание размещаемой информации пользователей: комментарии, материалы, сообщения и темы на форуме, публикации, объявления и т.д.
    Правообладателям | Реклама | Учебники | Политика
    Отопление, водоснабжение, газоснабжение, канализация © 2003 - 2021
    Рейтинг@Mail.ru Рейтинг арматурных сайтов. ARMTORG.RU Яндекс.Метрика