[ Новые сообщения · Участники · Правила форума · Поиск · RSS ]
 
Работай из дома! 18+

ГДЗ по Математике. 6 класс
KADETДата: Среда, 24.12.2014, 10:25 | Сообщение # 166
Генерал-майор
Группа: Проверенные
Сообщений: 337
Награды: 0
Репутация: 0
Статус: Offline


 
Работай из дома! 18+
 
 




Задача № 821

Расстояние между городами А и В на карте равно 8,5 см. Найдите расстояние между городами на местности, если масштаб карты

Ответ на задание



Задача № 822

Длина железной дороги Москва - Петербург приближенно равна 650 км. Изобразите отрезком эту дорогу, применив масштаб 1:10 000 000.

Ответы на задание



Задача № 823

Расстояние от Бреста до Владивостока более 10 000 км. Уместится ли на одной странице тетради это расстояние в масштабе одна десятимиллионная?

Ответ на задачу



Задача № 824

На рисунке 37 дан план квартиры в масштабе 1:100. Определите по плану, какие размеры имеют кухня, ванная и комнаты и какова их площадь в действительности.

Ответ на задание и решение



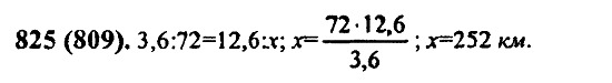
Задача № 825

Отрезку на карте, длина которого 3,6 см, соответствует расстояние на местности в 72 км. Каково расстояние между городами, если на этой карте расстояние между ними 12,6 см?

Ответ на задачку

Фото: 1071933.jpg (16.6 Kb) · 7226224.jpg (18.9 Kb) · 3035030.jpg (18.6 Kb) · 1213709.jpg (55.9 Kb) · 8420050.jpg (17.9 Kb)
 
 
KADETДата: Среда, 24.12.2014, 10:27 | Сообщение # 167
Генерал-майор
Группа: Проверенные
Сообщений: 337
Награды: 0
Репутация: 0
Статус: Offline


 
Работай из дома! 18+
 
 


Задача № 826

Длина железнодорожной магистрали 3140 км. Какой длины получится линия, изображающая эту магистраль на карте, сделанной в масштабе: а) 1:10 000 000; б) 1:2 000 000?

Ответ на задание



Задача № 827

Отрезок на местности длиной 3 км изображен на карте отрезком 6 см. Какова на карте длина отрезка, изображающего отрезок 10 км? Какой Отрезок на местности изображает отрезок на карте длиной 1,8 см?

Ответы на задание



Задача № 828

Длина детали на чертеже, сделанном в масштабе 1: б, равна 7,2 см. Чему будет равна длина этой детали на другом чертеже, сделанном в масштабе 1:3? в масштабе 2:1?

Ответ на задачу



Задача № 829

Ответ на задание и решение



Задача № 830

Какое число надо отнять от числителя и знаменателя дроби 31/47, чтобы получить дробь 5/9 ?

Ответ на задачку

Фото: 5154175.jpg (27.6 Kb) · 2908423.jpg (17.5 Kb) · 6043761.jpg (25.9 Kb) · 5467957.jpg (18.5 Kb) · 3586871.jpg (16.6 Kb)
 
 
KADETДата: Среда, 24.12.2014, 10:31 | Сообщение # 168
Генерал-майор
Группа: Проверенные
Сообщений: 337
Награды: 0
Репутация: 0
Статус: Offline


 
Работай из дома! 18+
 
 


Задача № 831

Ответ на задание



Задача № 832

Две трети от двух третьих числа равны двум третьим. Какое это число?

Ответы на задание



Задача № 833

Сколько гектаров в 1 м2? Сколько часов в 1 с? Сколько литров в 1 см3?

Ответ на задачу



Задача № 834

Известно, что объем пирамиды в 3 раза меньше объема призмы такой же высоты и с таким же основанием (рис. 38). Вычислите объем четырехугольной пирамиды, в основании которой прямоугольник со сторонами 2/3 дм и 9/10 дм, а высота равна 5 дм.

Ответ на задание и решение



Задача № 835

Чтобы приготовить 4 порции картофельной запеканки нужно взять 0.44 кг картофеля сколько потребуется картофеля чтобы приготовить 12 порций запеканки?

Ответ на задачку

Фото: 5525951.jpg (36.6 Kb) · 0168546.jpg (28.7 Kb) · 6184884.jpg (16.1 Kb) · 3234934.jpg (19.7 Kb) · 6343757.jpg (60.8 Kb)
 
 
KADETДата: Среда, 24.12.2014, 10:33 | Сообщение # 169
Генерал-майор
Группа: Проверенные
Сообщений: 337
Награды: 0
Репутация: 0
Статус: Offline


 
Работай из дома! 18+
 
 


Задача № 836

Некоторое расстояние ласточка пролетела за 0,5 ч со скоростью 50 км/ч. За сколько минут пролетит то же расстояние стриж, если будет лететь со скоростью 100 км/ч?

Ответ на задание



Задача № 837

Начертите окружность и постройте два ее радиуса, угол между которыми 120°. Закрасьте часть круга между этими радиусами. Какая часть круга окажется закрашенной и какая часть круга останется незакрашенной?

Ответы на задание



Задача № 838

Решите задачу:

1) Сумма двух чисел 7,2, причем 1/3 большего числа равна меньшему числу. Найдите эти числа.
2) Разность двух чисел 1,5, причем 1/4 большего числа равна меньшему числу. Найдите эти числа.

Ответ на задачу



Задача № 839

Ответ на задание и решение



Задача № 840

Найдите с помощью карты расстояние от Москвы до Киева.

Ответ на задачку

Фото: 5093035.jpg (63.0 Kb) · 3343904.jpg (20.5 Kb) · 3551352.jpg (61.4 Kb) · 6117801.jpg (30.9 Kb) · 6874635.jpg (32.2 Kb)
 
 
KADETДата: Среда, 24.12.2014, 10:37 | Сообщение # 170
Генерал-майор
Группа: Проверенные
Сообщений: 337
Награды: 0
Репутация: 0
Статус: Offline


 
Работай из дома! 18+
 
 


Задача № 841

Измерьте длину и ширину своей комнаты. Начертите в тетради план этой комнаты в масштабе 1:100

Ответ на задание



Задача № 842

Расстояние на местности в 20 м изображено на плане отрезком 1 см. Определите масштаб плана.

Ответы на задание



Задача № 843

Длина дома на плане 25 см. Чему равна длина дома на местности, если план сделан в масштабе 1:300?

Ответ на задачу



Задача № 844

Расстояние между городами на местности равно 1300 км. Каким отрезком будет изображено это расстояние на карте, масштаб которой 1:10 000 000?

Ответ на задание и решение



Задача № 845

Длина детали на чертеже?сделанном в масштабе 1:3, равна 2,4 см. Чему будет равна длина этой детали на другом чертеже, сделанном в масштабе 2:1?

Ответ на задачку

Фото: 2122620.jpg (18.6 Kb) · 6324476.jpg (16.8 Kb) · 9748274.jpg (15.3 Kb) · 6892257.jpg (19.4 Kb) · 9509155.jpg (21.6 Kb)
 
 
KADETДата: Среда, 24.12.2014, 10:40 | Сообщение # 171
Генерал-майор
Группа: Проверенные
Сообщений: 337
Награды: 0
Репутация: 0
Статус: Offline


 
Работай из дома! 18+
 
 


Задача № 846

Ответ на задание



Задача № 847

Найдите длину окружности, радиус которой равен 24 см; 4,7 дм; 18,6 м. Число п округлите до сотых.

Ответы на задание



Задача № 848

Чему равна длина окружности, если ее радиус равен 22, 1,54 м; 5,67 дм? Значение числа п возьмите равным 22/7.

Ответ на задачу



Задача № 849

Диаметр долгоиграющей пластинки равен 50 см. Найдите длину окружности этой пластинки. Число п округлите до десятых.

Ответ на задание и решение



Задача № 850

Выполните необходимые измерения и найдите длину половины окружности, изображенной на рисунке 41.

Ответ на задачку

Фото: 5152847.jpg (40.3 Kb) · 1236908.jpg (22.0 Kb) · 2946475.jpg (24.2 Kb) · 3809850.jpg (15.5 Kb) · 7181041.jpg (18.8 Kb)
 
 
KADETДата: Среда, 24.12.2014, 10:43 | Сообщение # 172
Генерал-майор
Группа: Проверенные
Сообщений: 337
Награды: 0
Репутация: 0
Статус: Offline


 
Работай из дома! 18+
 
 


Задача № 851

Определите диаметр окружности, если ее длина равна 56,52 дм; 37,68 см

Ответ на задание



Задача № 852

Колесо на расстоянии 380 м сделало 150 оборотов. Найдите диаметр колеса. Результат округлите до сотых метра

Ответы на задание



Задача № 853

Измерьте радиус и вычислите площадь каждого круга на рисунке 42

Ответ на задачу



Задача № 854

Окружность арены цирка имеет длину 40,8 м. Найдите диаметр и площадь арены

Ответ на задание и решение



Задача № 855

Диаметр циферблата Кремлевских курантов 6,12 м, длина минутной стрелки 3,27 м. Найдите площадь циферблата. Какой путь проходит конец минутной стрелки курантов за час? Ответы округлите до сотых долей метра.

Ответ на задачку

Фото: 2567320.jpg (16.5 Kb) · 5366097.jpg (19.8 Kb) · 9517476.jpg (23.3 Kb) · 9580837.jpg (19.4 Kb) · 4237276.jpg (32.3 Kb)
 
 
KADETДата: Среда, 24.12.2014, 10:45 | Сообщение # 173
Генерал-майор
Группа: Проверенные
Сообщений: 337
Награды: 0
Репутация: 0
Статус: Offline


 
Работай из дома! 18+
 
 


Задача № 856

Выполните измерения и вычислите площадь каждой заштрихованной фигуры на рисунке 43.

Ответ на задание



Задача № 857

По рисунку 44 найдите площадь пятиугольника OABCD. Сравните ее с площадью четверти круга, радиус OD которого равен 5 см.

Ответы на задание



Задача № 858


Ответ на задачу



Задача № 859

Ответ на задание и решение



Задача № 860

Некоторое число вычли из числителя дроби 29/39 и прибавили к ее знаменателю. Получили дробь 6/11. Найдите это число.

Ответ на задачку

Фото: 4236289.jpg (59.2 Kb) · 5740634.jpg (39.0 Kb) · 1385800.jpg (19.8 Kb) · 6768654.jpg (18.9 Kb) · 2751817.jpg (24.3 Kb)
 
 
KADETДата: Среда, 24.12.2014, 10:48 | Сообщение # 174
Генерал-майор
Группа: Проверенные
Сообщений: 337
Награды: 0
Репутация: 0
Статус: Offline


 
Работай из дома! 18+
 
 


Задача № 861

Ответ на задание



Задача № 862

Запишите масштаб карты, если отрезок на местности в 1 км изображается на карте отрезком 10 см

Ответы на задание



Задача № 863

Запишите масштаб рисунка, если он изображает фигуру, увеличивая ее в 50 раз.

Ответ на задачу



Задача № 864

Решите задачу, составив пропорцию:

1) В 2,5 кг баранины содержится 0,4 кг белков. Сколько килограммов белков содержится в 3,2 кг баранины?

2) В 6,5 кг свинины содержится 2,6 кг жиров. Сколько жиров содержится в 10,5 кг такой свинины?

Ответ на задание и решение



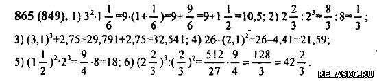
Задача № 865

Ответ на задачку

Фото: 8548120.jpg (33.8 Kb) · 0818048.jpg (15.0 Kb) · 3639257.jpg (20.0 Kb) · 9457110.jpg (98.0 Kb) · 3325945.jpg (35.5 Kb)
 
 
KADETДата: Среда, 24.12.2014, 10:52 | Сообщение # 175
Генерал-майор
Группа: Проверенные
Сообщений: 337
Награды: 0
Репутация: 0
Статус: Offline


 
Работай из дома! 18+
 
 


Задача № 866

На рисунке 45 изображен план двухкомнатной квартиры в масштабе 1:200. Узнайте по рисунку сумму площадей двух жилых комнат (I и II) и узнайте по плану, какую площадь занимают остальные помещения этой квартиры.

Ответ на задание



Задача № 867

С помощью тонкой нити измерьте длину какой- нибудь окружности (на стакане, ведре, тарелке), измерьте длину диаметра. Найдите отношение длины окружности к длине диаметра и сравните полученный результат с числом п

Ответы на задание



Задача № 868

Найдите длину окружности, если ее радиус равен 36 см; 0,44 см; 125 км. (Число п округлите до сотых.)

Ответ на задачу



Задача № 869

Диаметр колеса тепловоза равен 180 см. За 2,5 мин колесо сделало 500 оборотов. С какой скоростью идет тепловоз?

Ответ на задание и решение



Задача № 870

Выполните измерения и вычислите площадь каждой заштрихованной фигуры (рис. 46)

Ответ на задачку

Фото: 9611247.jpg (45.8 Kb) · 9124680.jpg (18.3 Kb) · 9978980.jpg (18.0 Kb) · 0965561.jpg (31.9 Kb) · 8447678.jpg (47.2 Kb)
 
 
KADETДата: Среда, 24.12.2014, 10:56 | Сообщение # 176
Генерал-майор
Группа: Проверенные
Сообщений: 337
Награды: 0
Репутация: 0
Статус: Offline


 
Работай из дома! 18+
 
 


Задача № 871

Рабочий выполнил 3/8 работы за 9 ч. За какое времй он выполнит 7/12 работы, если будет работать с той же производительностью?

Ответ на задание



Задача № 872

Ведро вмещает 6 л бензина. В такое же ведро вместо бензина налито равное (по массе) количество дегтя. Сколько литров дегтя налито в ведро, если масса 1 л бензина 0,8 кг, а масса 1 л дегтя 1,2 кг?

Ответы на задание



Задача № 873


Ответ на задачу



Задача № 874

Диаметр земного шара приближенно равен 12,7 тыс. км. Скольким тысячам километров равен радиус и длина экватора Земли? (Число тысяч округлите до десятых.)

Ответ на задание и решение



Задача № 875

Один из самых больших глобусов Земли был изготовлен в 1889 г. для Парижской всемирной выставки. Его диаметр был 12,7 м. В каком масштабе этот глобус изображал Землю? Какова длина экватора и меридианов на этом глобусе?

Ответ на задачку

Фото: 6742296.jpg (45.2 Kb) · 8016177.jpg (16.7 Kb) · 2691935.jpg (51.0 Kb) · 6841802.jpg (18.3 Kb) · 5791425.jpg (27.0 Kb)
 
 
KADETДата: Среда, 24.12.2014, 10:59 | Сообщение # 177
Генерал-майор
Группа: Проверенные
Сообщений: 337
Награды: 0
Репутация: 0
Статус: Offline


 
Работай из дома! 18+
 
 


Задача № 876

Площадь поверхности Луны приближенно равна 38 млн. км2, что составляет 0,075 площади поверхности Земли. Найдите площадь поверхности Земли. (Результат округлите до миллионов квадратных километров.)

Ответ на задание



Задача № 877

Диаметр планеты Меркурий приближенно равен 5 тыс. км. Диаметр планеты Венера в 2,48 раз больше, а диаметр планеты Марс составляет 17/31 диаметра планеты Венера.

Ответы на задание



Задача № 878


Ответ на задачу



Задача № 879

Масштаб плана 1:1000. На плане изображен круглый бассейн. Определите диаметр бассейна и его площадь, если на плане радиус бассейна 1 см.

Ответ на задание и решение



Задача № 880

Ответ на задачку

Фото: 0088227.jpg (15.2 Kb) · 1318995.jpg (19.3 Kb) · 3813584.jpg (17.9 Kb) · 5745375.jpg (19.7 Kb) · 4657202.jpg (43.9 Kb)
 
 
KADETДата: Среда, 24.12.2014, 11:02 | Сообщение # 178
Генерал-майор
Группа: Проверенные
Сообщений: 337
Награды: 0
Репутация: 0
Статус: Offline


 
Работай из дома! 18+
 
 


Задача № 881

Цифры 1, 2, 3, 4, 5, 6, 7, 8, 9 расставьте в клетки так, чтобы равенства были верными:

Ответ на задание



Задача № 882

Длина окружности 1,2 м. Чему равна длина другой окружности, у которой диаметр в 2 раза больше диаметра первой окружности?

Ответы на задание



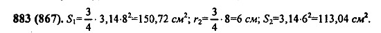
Задача № 883

Найдите площадь 3/4 круга, у которого радиус 8 см. Найдите площадь второго круга, у которого радиус составляет 3/4 радиуса первого круга.

Ответ на задачу



Задача № 884

Решите задачу:

1) В -двух строительных бригадах 88 человек. В первой бригаде в 2 2/3 раза меньше людей, чем во второй. Сколько человек в каждой бригаде?

2) На двух животноводческих фермах работают 26 человек. На первой ферме работают в 1 1/6 раза больше людей, чем на второй. Сколько человек работают на каждой ферме?

Ответ на задание и решение



Задача № 885

Ответ на задачку

Фото: 2974249.jpg (20.7 Kb) · 3860281.jpg (29.5 Kb) · 3840884.jpg (18.3 Kb) · 1263836.jpg (66.5 Kb) · 2428545.jpg (45.2 Kb)
 
 
KADETДата: Среда, 24.12.2014, 11:05 | Сообщение # 179
Генерал-майор
Группа: Проверенные
Сообщений: 337
Награды: 0
Репутация: 0
Статус: Offline


 
Работай из дома! 18+
 
 


Задача № 886

Длина экватора Луны примерно равна 10,9 тыс. км. Чему равен диаметр Луны? (Результат округлите до сотен километров.)

Ответ на задание



Задача № 887

Длина окружности 3,5 дм. Чему равна длина второй окружности, у которой диаметр составляет 5/7 диаметра первой окружности?

Ответы на задание



Задача № 888

Найдите площадь круга, у которого диаметр равен 12 см. Найдите площадь круга, у которого диаметр в 2 раза меньше диаметра первого круга.

Ответ на задачу



Задача № 889

Для перевозки картофеля выделили две автомашины. На первую машину погрузили в 1,2 раза больше картофеля, чем на вторую.

Сколько тонн картофеля погрузили на каждую автомашину, если на вторую погрузили на 0,9 т меньше, чем на первую?

Ответ на задание и решение



Задача № 890

Ответ на задачку

Фото: 9171845.jpg (15.5 Kb) · 8476643.jpg (16.2 Kb) · 3045723.jpg (17.9 Kb) · 0181856.jpg (39.2 Kb) · 7713521.jpg (26.0 Kb)
 
 
KADETДата: Среда, 24.12.2014, 11:08 | Сообщение # 180
Генерал-майор
Группа: Проверенные
Сообщений: 337
Награды: 0
Репутация: 0
Статус: Offline


 
Работай из дома! 18+
 
 


Задача № 891

Белка вылезла из дупла и бегает по стволу дерева вверх и вниз (рис. 51). Покажите, где будет находиться белка, если она удалится от дупла на 3 м. Сколько ответов можно дать на этот вопрос? Покажите на рисунке, где окажется белка, если она будет находиться:

а) выше дупла на 2 м;
б) ниже дупла на 3 м;
в) ниже дупла на 1,5 м;
г) выше дупла на 2,5 м.

Ответ на задание



Задача № 892

Поезд вышел со станции Петропавловск (рис. 52) и идет со скоростью 90 км/ч. В какой город придет поезд через 3 ч? Где будет находиться поезд:

а) через 10 ч, если он идет в Новосибирск;
б) через 5 ч, если он идет в Челябинск?

Ответы на задание



Задача № 893

Из пионерского лагеря (рис. 53) выходит отряд пионеров и движется по шоссе. Покажите, где будет находиться отряд:

а) через 3 ч, если он идет со скоростью 3 км/ч;

б) через 2 ч, если он идет со скоростью 4 км/ч. Что еще надо знать, чтобы на каждый вопрос был только один ответ?

Ответ на задачу



Задача № 894

Находясь в походе, туристы оставили пакеты в пунктах К, М и Р (см. рис. 53). Где по отношению к лагерю находятся эти пункты?

Ответ на задание и решение



Задача № 895

Проведите горизонтальную прямую и отметьте на ней точку О. Отметьте на этой прямой точки А, В, С и К, если известно, что:

а) А правее О на 6 клеток;
б) В левее О на 5,5 клетки;
в) С правее О на 2010-12.jpg клетки;
г) К левее О на 2 клетки.

Ответ на задачку




Продолжение решебника по Математике ...
Фото: 6804019.jpg (27.8 Kb) · 4409070.jpg (33.8 Kb) · 4872969.jpg (27.8 Kb) · 9678063.jpg (18.5 Kb) · 3612273.jpg (15.2 Kb)


 
 
Поиск:

Работай из дома! 18+
 
 
 
 
 
 

 
Последние темы на форуме:
 
  • Новогодние праздники 2021-2022 официальные выходные
  • Показатели давления и сердцебиения у женщины 57 лет
  • Гороскоп на декабрь 2021 Женщина Телец
  • Гороскоп на январь 2022 от Павла Глоба
  • Гороскоп на декабрь 2021 от Павла Глоба
  • Гороскоп на ноябрь 2021 от Павла Глоба
  • Стенограмма судьбы - Содержание серий, актеры и роли сериала
  • Мосгаз. Западня - Содержание серий, актеры и роли 2021
  • Тобол - Содержание серий, актеры и роли сериала. 2021
  • Гороскоп для Тигра на сегодня от Павла Глоба
  • Утраченные воспоминания - Содержание серий, актеры и роли
  • Чёрно-белая любовь - Содержание серий, актеры и роли сериала
  • Забытая женщина - Содержание серий, актеры и роли сериала
  • Тайна спящей дамы - Содержание серий, актеры и роли сериала
  • Сериал Часы с кукушкой - Содержание серий, актеры и роли
  •  
     

     
    Обращаем ваше внимание на то, что данный интернет-сайт www.kinolog.do.am носит исключительно информационный характер и ни при каких условиях не является публичной офертой, определяемой положениями Статьи 437 (2) Гражданского кодекса РФ. Цена и наличие товара может отличаться от действительной. Пожалуйста, уточняйте цены и наличие товара у наших менеджеров.
    Администрация сайта не несет ответственности за действия и содержание размещаемой информации пользователей: комментарии, материалы, сообщения и темы на форуме, публикации, объявления и т.д.
    Правообладателям | Реклама | Учебники | Политика
    Отопление, водоснабжение, газоснабжение, канализация © 2003 - 2021
    Рейтинг@Mail.ru Рейтинг арматурных сайтов. ARMTORG.RU Яндекс.Метрика