[ Новые сообщения · Участники · Правила форума · Поиск · RSS ]
 
Работай из дома! 18+

ГДЗ по Математике. 6 класс
KADETДата: Вторник, 23.12.2014, 19:30 | Сообщение # 151
Генерал-майор
Группа: Проверенные
Сообщений: 337
Награды: 0
Репутация: 0
Статус: Offline


 
Работай из дома! 18+
 
 




Задача № 746

Ответ на задание



Задача № 747

Ответы на задание



Задача № 748

На подкормку овощей и фруктовых деревьев израсходовано 2/3 из имевшихся 18 ц удобрений. На подкормку овощей пошли 3/4 израсходованных удобрений. Сколько центнеров удобрений израсходовано на подкормку овощей?

Ответ на задачу



Задача № 749

На окраску окон и дверей было истрачено 3,2 кг белил, что составляет 5/8 всех белил, истраченных на ремонт. А на ремонт было истрачено 4/5 всех купленных белил. Сколько килограммов белил было куплено?

Ответ на задание и решение



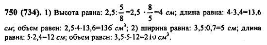
Задача № 750

Найдите объем прямоугольного параллелепипеда, если: 1) его ширина 2,5 см и составляет 5/8 высоты, а длина в 3,4 раза больше высоты; 2) его высота 3,5 см и составляет 0,7 ширины, а длина в 2,4 раза больше ширины.

Ответ на задачку

Фото: 8226557.jpg (19.4 Kb) · 4541515.jpg (41.6 Kb) · 3285053.jpg (19.5 Kb) · 2411367.jpg (23.0 Kb) · 7092975.jpg (29.8 Kb)
 
 
KADETДата: Вторник, 23.12.2014, 19:32 | Сообщение # 152
Генерал-майор
Группа: Проверенные
Сообщений: 337
Награды: 0
Репутация: 0
Статус: Offline


 
Работай из дома! 18+
 
 


Задача № 751

Двое мальчиков бросали баскетбольный мяч в корзину. Один мальчик из 20 бросков имел 13 попаданий, а другой из 26 бросков имел 15 попаданий. Найдите для каждого мальчика, какую часть составляли попадания от числа бросков. Чей результат лучше?

Ответ на задание



Задача № 752

Крутизной лестницы называют отношение высоты ступеньки к ее глубине. Чему равна крутизна лестницы, если высота ступеньки 18 см, а глубина 30 см?

Ответы на задание



Задача № 753

Автобус в первый час прошел 30 км, во второй 24 км, а в третий 42 км. Какую часть всего пути прошел автобус в каждый час? Какую часть пути, оставшуюся после первого часа движения, прошел автобус во вт*орой час и какую в третий час?

Ответ на задачу



Задача № 754

Для варенья на 3,6 кг ягод было взято 4,2 кг сахарного песку. В каком отношении по массе были взяты ягоды и сахарный песок?

Ответ на задание и решение



Задача № 755

В сосуд налили 240 г воды и положили 10 г соли. Найдите процентное содержание соли в растворе. Через некоторое время 50 г воды испарилось. Какое теперь стало процентное содержание соли в растворе?

Ответ на задачку

Фото: 9083475.jpg (28.5 Kb) · 9481365.jpg (17.9 Kb) · 4084228.jpg (63.1 Kb) · 4599723.jpg (18.8 Kb) · 5775969.jpg (37.3 Kb)
 
 
KADETДата: Вторник, 23.12.2014, 19:34 | Сообщение # 153
Генерал-майор
Группа: Проверенные
Сообщений: 337
Награды: 0
Репутация: 0
Статус: Offline


 
Работай из дома! 18+
 
 


Задача № 756

Комбайнер намолотил 76 т зерна, превысив задание на 12 т. На сколько процентов комбайнер перевыполнил задание?

Ответ на задание



Задача № 757

На складе были пшеница, овес и кукуруза, причем пшеница составляла 64%, овес 16% всего количества зерна. В товарный состав загрузили всю пшеницу и всю кукурузу. Какой процент погруженного зерна составляла пшеница? Какой процент погруженного зерна составляла бы пшеница, если вместо кукурузы погрузили бы овес?

Ответы на задание



Задача № 758


Ответ на задачу



Задача № 759

Ответ на задание и решение



Задача № 760

Ответ на задачку

Фото: 6824784.jpg (22.5 Kb) · 7546805.jpg (42.8 Kb) · 6679417.jpg (35.5 Kb) · 5389806.jpg (65.1 Kb) · 9897384.jpg (47.1 Kb)
 
 
KADETДата: Вторник, 23.12.2014, 19:36 | Сообщение # 154
Генерал-майор
Группа: Проверенные
Сообщений: 337
Награды: 0
Репутация: 0
Статус: Offline


 
Работай из дома! 18+
 
 


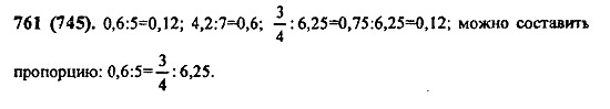
Задача № 761

Ответ на задание



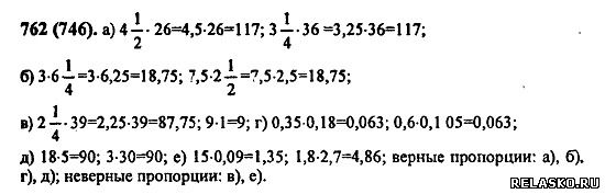
Задача № 762

Ответы на задание



Задача № 763


Ответ на задачу



Задача № 764

Ответ на задание и решение



Задача № 765

Ответ на задачку

Фото: 9713894.jpg (20.3 Kb) · 4098300.jpg (40.6 Kb) · 5396075.jpg (108.6 Kb) · 7732710.jpg (24.8 Kb) · 5443027.jpg (15.3 Kb)
 
 
KADETДата: Вторник, 23.12.2014, 19:37 | Сообщение # 155
Генерал-майор
Группа: Проверенные
Сообщений: 337
Награды: 0
Репутация: 0
Статус: Offline


 
Работай из дома! 18+
 
 


Задача № 766

Ответ на задание



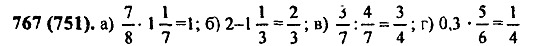
Задача № 767

Ответы на задание



Задача № 768


Ответ на задачу



Задача № 769

Ответ на задание и решение



Задача № 770

Ответ на задачку

Фото: 0623473.jpg (17.3 Kb) · 2296246.jpg (18.7 Kb) · 4604503.jpg (16.4 Kb) · 6886820.jpg (19.8 Kb) · 9863765.jpg (16.4 Kb)
 
 
KADETДата: Вторник, 23.12.2014, 19:40 | Сообщение # 156
Генерал-майор
Группа: Проверенные
Сообщений: 337
Награды: 0
Репутация: 0
Статус: Offline


 
Работай из дома! 18+
 
 


Задача № 771

Ответ на задание



Задача № 772

Из ружья сделано 50 выстрелов, при этом 5 пуль пролетели мимо цели. Определите процент попаданий.

Ответы на задание



Задача № 773

Угол А равен 30°, а угол В равен 50°. Какую часть угол А составляет от угла В? Во сколько раз угол В больше угла А?

Ответ на задачу



Задача № 774

Бригаде было дано задание собрать 280 ц винограда. Она собрала 350 ц. На сколько процентов бригада перевыполнила задание? На сколько процентов бригада выполнила задание?

Ответ на задание и решение



Задача № 775

В парке посадили клены и дубы, причем на каждые 4 клена приходится один дуб. Сколько процентов от всех посаженных деревьев составляют клены? Сколько всего посадили деревьев в парке, если кленов посадили 480?

Ответ на задачку

Фото: 5277364.jpg (18.6 Kb) · 4214890.jpg (16.7 Kb) · 1360201.jpg (18.9 Kb) · 8847659.jpg (22.7 Kb) · 9942468.jpg (18.6 Kb)
 
 
KADETДата: Вторник, 23.12.2014, 19:41 | Сообщение # 157
Генерал-майор
Группа: Проверенные
Сообщений: 337
Награды: 0
Репутация: 0
Статус: Offline


 
Работай из дома! 18+
 
 


Задача № 776

Ответ на задание



Задача № 777

Ответы на задание



Задача № 778

Из 225 кг руды получили 34,2 кг меди. Каково процентное содержание меди в руде?

Ответ на задачу



Задача № 779

Через 2 ч после выхода со станции А тепловоз увеличил скорость на 12 км/ч и через 5 ч после начала движения прибыл в пункт назначения В. Какова была скорость тепловоза в начале пути, если расстояние от А до В равно 261 км?

Ответ на задание и решение



Задача № 780

Если к 2/8 неизвестного числа прибавить 0,8, то получится 1,2. Найдите неизвестное число.

Ответ на задачку

Фото: 2261151.jpg (22.9 Kb) · 3179843.jpg (46.5 Kb) · 5441754.jpg (16.1 Kb) · 5488629.jpg (41.5 Kb) · 4797438.jpg (30.6 Kb)
 
 
KADETДата: Вторник, 23.12.2014, 19:44 | Сообщение # 158
Генерал-майор
Группа: Проверенные
Сообщений: 337
Награды: 0
Репутация: 0
Статус: Offline


 
Работай из дома! 18+
 
 


Задача № 781

Ответ на задание



Задача № 782

Определите, является ли прямой пропорциональной, обратной пропорциональной, или не является пропорциональной зависимость между величинами:

а) путем, пройденным автомашиной с постоянной скоростью, и временем ее движения;

б) стоимостью товара, купленного по одной цене, и его количеством;

в) площадью квадрата и длиной его стороны;

г) массой стального бруска и его объемом;

д) числом рабочих, выполняющих с одинаковой производительностью труда некоторую работу, и временем выполнения этой работы;

е) стоимостью товара и его количеством, купленным на определенную сумму денег;

ж) возрастом человека и размером его обуви;

з) объемом куба и длиной его ребра;

и) периметром квадрата и длиной его стороны;

к) дробью и ее знаменателем, если числитель не изменяется;

л) дробью и ее числителем, если знаменатель не изменяется.

Ответы на задание



Задача № 783

Стальной шарик объемом 6 см3 имеет массу 46,8 г. Какова масса шарика из той же стали, если его объем 2,5 см3?

Ответ на задачу



Задача № 784

Из 21 кг хлопкового семени получили 5,1 кг масла. Сколько масла получится из 7 кг хлопкового семени?

Ответ на задание и решение



Задача № 785

Для строительства стадиона 5 бульдозеров расчистили площадку за 210 мин. За какое время 7 бульдозеров расчистят эту площадку?

Ответ на задачку

Фото: 9971665.jpg (33.1 Kb) · 8862968.jpg (26.5 Kb) · 6140583.jpg (59.3 Kb) · 0852161.jpg (61.3 Kb) · 0453576.jpg (59.9 Kb)
 
 
KADETДата: Среда, 24.12.2014, 09:10 | Сообщение # 159
Генерал-майор
Группа: Проверенные
Сообщений: 337
Награды: 0
Репутация: 0
Статус: Offline


 
Работай из дома! 18+
 
 


Задача № 786

Для перевозки груза потребовалось 24 машины 1рузо- подъемностыо 7,5 т. Сколько нужно машин грузоподъемностью 4,5 т, чтобы перевезти тот же груз?

Ответ на задание



Задача № 787

Для определения всхожести семян посеяли горох. Из 200 посеянных горошин взошло 170. Какой процент горошин дали всходы (процент всхожести)?

Ответы на задание



Задача № 788

Во время воскресника по озеленению города на улице посадили липы. Принялось 95% всех посаженных лип. Сколько посадили лип, если принялось 57 лип?

Ответ на задачу



Задача № 789

В лыжной секции занимаются 80 учащихся. Среди них 32 девочки. Какой процент участников секции составляют девочки и какой мальчики?

Ответ на задание и решение



Задача № 790

Завод должен был за месяц по плану выплавить 980 т стали. Но план выполнили на 115%. Сколько тонн стали выплавил завод?

Колхоз по плану должен засеять 980 га кукурузой. Но план выполнили на 115%. Сколько гектаров кукурузы посеял колхоз?

Ответ на задачку

Фото: 1228045.jpg (61.1 Kb) · 2924521.jpg (70.0 Kb) · 5235779.jpg (67.8 Kb) · 7264375.jpg (70.8 Kb) · 4546823.jpg (60.4 Kb)
 
 
KADETДата: Среда, 24.12.2014, 09:26 | Сообщение # 160
Генерал-майор
Группа: Проверенные
Сообщений: 337
Награды: 0
Репутация: 0
Статус: Offline


 
Работай из дома! 18+
 
 


Задача № 791

За 8 месяцев рабочий выполнил 96% годового плана. Сколько процентов годового плана выполнит рабочий за 12 месяцев, если будет работать с той же производительностью?

Ответ на задание



Задача № 792

За три дня было убрано 16,5% всей свеклы. Сколько потребуется дней, чтобы убрать 60,5% всей свеклы, если работать с той же производительностью?

Ответы на задание



Задача № 793

В железной руде на 7 частей железа приходится 3 части примесей. Сколько тонн примесей в руде, которая содержит 73,5 т железа?

Ответ на задачу



Задача № 794

Для приготовления борща на каждые 100 г мяса надо взять 60 г свеклы. Сколько свеклы надо взять на 650 г мяса?

Ответ на задание и решение



Задача № 795

Ответ на задачку

Фото: 4231487.jpg (61.5 Kb) · 9846435.jpg (65.8 Kb) · 9294328.jpg (59.0 Kb) · 5901535.jpg (55.6 Kb) · 2240158.jpg (18.6 Kb)
 
 
KADETДата: Среда, 24.12.2014, 10:14 | Сообщение # 161
Генерал-майор
Группа: Проверенные
Сообщений: 337
Награды: 0
Репутация: 0
Статус: Offline


 
Работай из дома! 18+
 
 


Задача № 796

Представьте в виде суммы двух дробей с числителем 1 каждую из следующих дробей:

Ответ на задание



Задача № 797

Ответы на задание



Задача № 798

Средние члены пропорции 6 и 10. Какими могут быть крайние члены? Приведите примеры.

Ответ на задачу



Задача № 799

Ответ на задание и решение



Задача № 800

Ответ на задачку

Фото: 8462096.jpg (20.1 Kb) · 8094257.jpg (19.7 Kb) · 9640967.jpg (19.5 Kb) · 8333692.jpg (15.5 Kb) · 3935287.jpg (19.6 Kb)
 
 
KADETДата: Среда, 24.12.2014, 10:16 | Сообщение # 162
Генерал-майор
Группа: Проверенные
Сообщений: 337
Награды: 0
Репутация: 0
Статус: Offline


 
Работай из дома! 18+
 
 


Задача № 801

Где на координатном луче должно быть расположено число с, чтобы была верна пропорция

Ответ на задание



Задача № 802

Развивайте свою память!

Закройте таблицу листом бумаги. На несколько секунд откройте первую строку и затем, вновь закрыв ее, постарайтесь повторить или записать три числа этой строки. Если вы верно воспроизвели все числа, переходите ко второй строке таблицы. Если в какой-либо строке допущена ошибка, сами напишите несколько наборов из такого же, как в строке, количества двузначных чисел и тренируйтесь в их запоминании.

Если вы можете без ошибок воспроизвести не менее пяти двузначных чисел, у вас хорошая память.

Ответы на задание



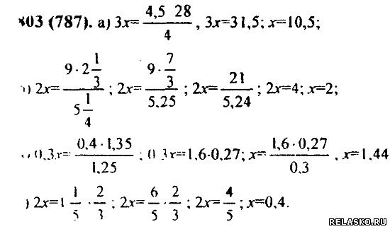
Задача № 803


Ответ на задачу



Задача № 804

Можно ли составить верную пропорцию из следующих чисел:

Ответ на задание и решение



Задача № 805

Из равенства произведений 3 • 24 = 8 • 9 составьте три верные пропорции.

Ответ на задачку

Фото: 4499174.jpg (14.1 Kb) · 4319640.jpg (15.5 Kb) · 3688855.jpg (48.9 Kb) · 6700060.jpg (25.5 Kb) · 4639664.jpg (17.9 Kb)
 
 
KADETДата: Среда, 24.12.2014, 10:18 | Сообщение # 163
Генерал-майор
Группа: Проверенные
Сообщений: 337
Награды: 0
Репутация: 0
Статус: Offline


 
Работай из дома! 18+
 
 


Задача № 806

Длина отрезка АВ равна 8 дм, а длина отрезка CD равна 2 см. Найдите отношение длин отрезков АВ и CD. Какую часть длины отрезка А В составляет длина отрезка CD?

Ответ на задание



Задача № 807

Путевка в санаторий стоит 460 р. Профсоюз оплачивает 70% стоимости путевки. Сколько за путевку заплатит отдыхающий?

Ответы на задание



Задача № 808


Ответ на задачу



Задача № 809

Решите задачу:

1) При обработке детали из отливки массой 40 кг в отходы ушло 3,2 кг. Какой процент составляет масса детали от массы отливки?
2) При сортировке зерна из 1750 кг в отходы ушло 105 кг. Какой процент зерна остался?

Ответ на задание и решение



Задача № 810

Ответ на задачку

Фото: 5822994.jpg (19.6 Kb) · 5267935.jpg (15.6 Kb) · 1808342.jpg (44.1 Kb) · 6535242.jpg (45.5 Kb) · 3876236.jpg (25.2 Kb)
 
 
KADETДата: Среда, 24.12.2014, 10:20 | Сообщение # 164
Генерал-майор
Группа: Проверенные
Сообщений: 337
Награды: 0
Репутация: 0
Статус: Offline


 
Работай из дома! 18+
 
 


Задача № 811

Из 20 кг яблок получается 16 кг яблочного пюре. Сколько яблочного пюре получится из 45 кг яблок?

Ответ на задание



Задача № 812

Трое маляров могут закончить работу за 5 дней. Для ускорения работы добавили еще двух маляров. За какое время они закончат работу, считая, что все маляры будут работать с одинаковой производительностью?

Ответы на задание



Задача № 813

Бетонная плита объемом 2,5м3 имеет массу 4,75т. Каков объем плиты из такого же бетона, если ее масса 6,65т?

Ответ на задачу



Задача № 814

В сахарной свекле содержится 18,5% сахара. Сколько сахара содержится в 38,5 т сахарной свеклы? Ответ округлите до десятых долей тонны.

Ответ на задание и решение



Задача № 815

В семенах подсолнечника нового сорта содержится 49,5% масла. Сколько килограммов таких семян надо взять, чтобы в них содержалось 29,7 кг масла?

Ответ на задачку

Фото: 5880571.jpg (59.9 Kb) · 4708171.jpg (57.0 Kb) · 1005193.jpg (53.7 Kb) · 5576535.jpg (62.5 Kb) · 3949012.jpg (55.7 Kb)
 
 
KADETДата: Среда, 24.12.2014, 10:22 | Сообщение # 165
Генерал-майор
Группа: Проверенные
Сообщений: 337
Награды: 0
Репутация: 0
Статус: Offline


 
Работай из дома! 18+
 
 


Задача № 816

В 80 кг картофеля содержится 14 кг крахмала. Найдите процентное содержание крахмала в таком картофеле.

Ответ на задание



Задача № 817

В семенах льна содержится 47% масла. Сколько масла содержится в 80 кг семян льна?

Ответы на задание



Задача № 818

Рис содержит 75% крахмала, а ячмень 60%. Сколько надо взять ячменя, чтобы в нем содержалось столько же крахмала, сколько его содержится в 5 кг риса?

Ответ на задачу



Задача № 819

Ответ на задание и решение



Задача № 820

Определите по карте (рис. 36) расстояние от опушки леса (точка А) до точки пересечения дороги с рекой. Масштаб карты 1:100 000.

Ответ на задачку



Продолжение решебника по Математике ...
Фото: 2965899.jpg (56.8 Kb) · 9458438.jpg (60.9 Kb) · 2723524.jpg (117.8 Kb) · 3196227.jpg (24.6 Kb) · 9646456.jpg (16.1 Kb)


 
 
Поиск:

Работай из дома! 18+
 
 
 
 
 
 

 
Последние темы на форуме:
 
  • Новогодние праздники 2021-2022 официальные выходные
  • Показатели давления и сердцебиения у женщины 57 лет
  • Гороскоп на декабрь 2021 Женщина Телец
  • Гороскоп на январь 2022 от Павла Глоба
  • Гороскоп на декабрь 2021 от Павла Глоба
  • Гороскоп на ноябрь 2021 от Павла Глоба
  • Стенограмма судьбы - Содержание серий, актеры и роли сериала
  • Мосгаз. Западня - Содержание серий, актеры и роли 2021
  • Тобол - Содержание серий, актеры и роли сериала. 2021
  • Гороскоп для Тигра на сегодня от Павла Глоба
  • Утраченные воспоминания - Содержание серий, актеры и роли
  • Чёрно-белая любовь - Содержание серий, актеры и роли сериала
  • Забытая женщина - Содержание серий, актеры и роли сериала
  • Тайна спящей дамы - Содержание серий, актеры и роли сериала
  • Сериал Часы с кукушкой - Содержание серий, актеры и роли
  •  
     

     
    Обращаем ваше внимание на то, что данный интернет-сайт www.kinolog.do.am носит исключительно информационный характер и ни при каких условиях не является публичной офертой, определяемой положениями Статьи 437 (2) Гражданского кодекса РФ. Цена и наличие товара может отличаться от действительной. Пожалуйста, уточняйте цены и наличие товара у наших менеджеров.
    Администрация сайта не несет ответственности за действия и содержание размещаемой информации пользователей: комментарии, материалы, сообщения и темы на форуме, публикации, объявления и т.д.
    Правообладателям | Реклама | Учебники | Политика
    Отопление, водоснабжение, газоснабжение, канализация © 2003 - 2021
    Рейтинг@Mail.ru Рейтинг арматурных сайтов. ARMTORG.RU Яндекс.Метрика