[ Новые сообщения · Участники · Правила форума · Поиск · RSS ]
 
Работай из дома! 18+

ГДЗ по Математике. 6 класс
KADETДата: Среда, 24.12.2014, 11:10 | Сообщение # 181
Генерал-майор
Группа: Проверенные
Сообщений: 337
Награды: 0
Репутация: 0
Статус: Offline


 
Работай из дома! 18+
 
 




Задача № 896

Измерьте в сантиметрах расстояние от точки О (рис. 54) до точек С и Р. Где на прямой находится каждая из этих точек по отношению к точке О?

Ответ на задание



Задача № 897

Запишите координаты точек О, А, В, С, D, Р, К, М и Е (рис. 55). Начало отсчета — точка О.

Ответы на задание



Задача № 898

Изобразите на координатной прямой точки А (1), В (8,3), С ( - 6), D (6), М ( - 2,4), К (2,4).

Ответ на задачу



Задача № 899

Треугольный флажок находится в точке с координатой -2, а прямоугольный — в точке с координатой + 2 (рис. 56). Отметьте и обозначьте начало отсчета и единичный отрезок. Запишите координаты точек В, С и D.

Ответ на задание и решение



Задача № 900

Отметьте на координатной прямой точку, имеющую координату ху если

Ответ на задачку

Фото: 7115990.jpg (15.7 Kb) · 6908436.jpg (16.5 Kb) · 5452207.jpg (19.6 Kb) · 6895991.jpg (18.2 Kb) · 5297852.jpg (17.0 Kb)


 
 
KADETДата: Среда, 24.12.2014, 11:12 | Сообщение # 182
Генерал-майор
Группа: Проверенные
Сообщений: 337
Награды: 0
Репутация: 0
Статус: Offline


 
Работай из дома! 18+
 
 


Задача № 901

Изобразите точкой на координатной прямой число а, если:

Ответ на задание



Задача № 902

Найдите по шкале (рис. 57) высоты гор и глубины морей и океанов.

Ответы на задание



Задача № 903

На координатной прямой изображены точки А (— 2) и В (7). Найдите расстояние между точками А и В в единичных отрезках.

Ответ на задачу



Задача № 904

Назовите какие-нибудь три числа, расположенные на координатной прямой:

а) правее числа 11;
б) левее числа —8;
в) левее числа —820;
г) правее числа —78.

Ответ на задание и решение



Задача № 905

Установите на демонстрационном термометре столбик так, чтобы термометр показывал температуру: —12 °С, —11 °С, — 7 °С, +3°С, -8,5 °С, +7,3°С.

Ответ на задачку

Фото: 0994195.jpg (22.7 Kb) · 5608350.jpg (38.2 Kb) · 7845362.jpg (15.2 Kb) · 5977502.jpg (15.2 Kb) · 6856134.jpg (18.4 Kb)


 
 
KADETДата: Среда, 24.12.2014, 11:15 | Сообщение # 183
Генерал-майор
Группа: Проверенные
Сообщений: 337
Награды: 0
Репутация: 0
Статус: Offline


 
Работай из дома! 18+
 
 


Задача № 906

На здании Московского университета установлен термометр со стрелкой (рис. 58). Какую температуру показывает этот термометр?

Ответ на задание



Задача № 907

Из чисел выпишите сначала все отрицательные, а потом все положительные числа.

Ответы на задание



Задача № 908

Вычислите устно:

Ответ на задачу



Задача № 909

Сколько натуральных чисел расположено на координатном луче между числами:

Ответ на задание и решение



Задача № 910

Какое из чисел — правильная дробь или дробь, ей обратная,— на координатном луче расположено ближе к единице?

Ответ на задачку

Фото: 4122725.jpg (21.1 Kb) · 7170171.jpg (18.9 Kb) · 8904819.jpg (18.9 Kb) · 7083483.jpg (21.5 Kb) · 8282919.jpg (15.4 Kb)


 
 
KADETДата: Среда, 24.12.2014, 11:17 | Сообщение # 184
Генерал-майор
Группа: Проверенные
Сообщений: 337
Награды: 0
Репутация: 0
Статус: Offline


 
Работай из дома! 18+
 
 


Задача № 911

Древнегреческий ученый Аристотель родился в 384 г., а умер в 322 г. Пифагор родился в 570 г. и умер в 500 г. Историк Плутарх родился в 46 г., умер в 127 г. Кто из этих ученых родился раньше? Сколько лет прожил каждый из них?

Ответ на задание



Задача № 912

Площадь поверхности планеты Меркурий равна 75 млн. км2 и составляет 15/92 площади поверхности планеты Венера. Найдите площадь поверхности планеты Венера.

Ответы на задание



Задача № 913

Вычислите устно:

Ответ на задачу



Задача № 914

Найдите значение выражения:

Ответ на задание и решение



Задача № 915

Из цифр 7, 8, 3 и 5 составьте четыре различных числа, оканчивающиеся цифрой 7 и кратные 3.

Ответ на задачку

Фото: 0902261.jpg (26.2 Kb) · 7185702.jpg (16.8 Kb) · 1588923.jpg (18.3 Kb) · 4203853.jpg (27.7 Kb) · 6044630.jpg (19.4 Kb)


 
 
KADETДата: Среда, 24.12.2014, 11:20 | Сообщение # 185
Генерал-майор
Группа: Проверенные
Сообщений: 337
Награды: 0
Репутация: 0
Статус: Offline


 
Работай из дома! 18+
 
 


Задача № 916

На рисунке 59, а изображен цилиндр. Сверху и снизу ВИЗ цилиндр ограничен кругами, которые называются основаниями цилиндра. Развертка боковой поверхности цилиндра — прямоугольник. На рисунке 59, б изображена развертка поверхности цилиндра. Попробуйте вычислить площадь поверхности цилиндра, если его высота 5 см, а радиус оснований 2 см.

Ответ на задание



Задача № 917

Решите задачу:

1) Бабушка купила 6 бубликов, 4 булочки по той же цене, что и бублики, и батон за 0,13 р. За все она заплатила 0,73 р. Сколько стоит одна булочка или один бублик?
2) Дедушка купил внуку 7 тетрадей в клетку и по той же цене в тетрадей в линейку. Дедушка купил еще ручку за 0,35 р. За все он заплатил 0,61 р. Сколько стоит одна тетрадь?
3) Для работников завода построен дом на 240 квартир.Трехкомнатные квартиры составляют 15% всех квартир и 2010-28.jpg числа однокомнатных квартир. Остальные квартиры двухкомнатные.. Сколько в доме двухкомнатных квартир?
4) На лодочной станции было 150 лодок. Трехместные лодки составляли 14% всех лодок и 2010-29.jpg числа пятиместных лодок. Остальные лодки были четырехместные. Сколько четырехместных лодок было на станции?

Ответы на задание



Задача № 918

Где по отношению к узлу веревки находится каждая птица (рис. 60)? (Сторона клетки 1 дм.)

Ответ на задачу



Задача № 919

Начертите в тетради горизонтальную прямую и отметьте на ней точку О. Отметьте на этой прямой точки М, N, Р и К, если: а) М правее О на 14 клеток; б) N левее О на 15 клеток; в) Р левее О на 9 клеток; г) К правее О на 2 клетки. Напишите координаты точек M, N, Р и К, если единичный отрезок равен: а) одной клетке тетради; б) двум клеткам тетради.

Ответ на задание и решение



Задача № 920

Отметьте на координатной прямой точки М (— 4), N (3), Р(-8,5), K(7,5), C(-6), T(6).

Ответ на задачку

Фото: 0631695.jpg (99.7 Kb) · 7887095.jpg (49.5 Kb) · 5641951.jpg (22.0 Kb) · 5020259.jpg (22.2 Kb) · 7402125.jpg (16.7 Kb)
 
 
KADETДата: Среда, 24.12.2014, 11:23 | Сообщение # 186
Генерал-майор
Группа: Проверенные
Сообщений: 337
Награды: 0
Репутация: 0
Статус: Offline


 
Работай из дома! 18+
 
 


Задача № 921

Приняв за единичный отрезок длину 6 клеток тетради, начертите координатную прямую и отметьте на ней точки

Ответ на задание



Задача № 922

Начертите шкалу температур от — 60 °С до 60 °С, приняв отрезок длиной 1 см за 10 °С. Отметьте на этой шкале точку замерзания ртути (— 39 °С), нормальную температуру человеческого тела (37 °С), точку замерзания бензина ( — 60 °С), точку кипения ацетона (56 °С), точку замерзания глицерина (-20 °С).

Ответы на задание



Задача № 923

Через реку построен мост длиной 234 м. Он имеет пять пролетов, четыре из которых имеют одинаковую длину, а пятый на 14 м длиннее каждого из остальных. Какова длина каждого пролета моста?

Ответ на задачу



Задача № 924

Экскурсантов можно посадить в лодки или по 4 человека, или по 6 человек. В том недругом случае свободных мест не останется. Сколько было экскурсантов, если их больше 40, но меньше 50?

Ответ на задание и решение



Задача № 925

Пионеры за три дня собрали 560 кг семян различных деревьев. В первый день они собрали 35% всех собранных семян, что составляло 7/8 количества семян, собранных во второй день. Сколько килограммов семян было собрано в третий день?

Ответ на задачку

Фото: 4616438.jpg (21.8 Kb) · 7668399.jpg (15.8 Kb) · 7825623.jpg (34.9 Kb) · 0609744.jpg (22.9 Kb) · 6011713.jpg (24.1 Kb)
 
 
KADETДата: Среда, 24.12.2014, 11:24 | Сообщение # 187
Генерал-майор
Группа: Проверенные
Сообщений: 337
Награды: 0
Репутация: 0
Статус: Offline


 
Работай из дома! 18+
 
 


Задача № 926

Найдите числа, противоположные числам:

Ответ на задание



Задача № 927

Поставьте вместо такое число, чтобы получилось верное равенство:

Ответы на задание



Задача № 928

Найдите значение выражения:

Ответ на задачу



Задача № 929

Найдите координаты точек А, В и С (рис. 62).

Ответ на задание и решение



Задача № 930

Каким числом является — х, если х:

а) отрицательное; б) нуль; в) положительное?

Ответ на задачку

Фото: 4349987.jpg (17.8 Kb) · 5651533.jpg (18.2 Kb) · 1702027.jpg (20.1 Kb) · 6524917.jpg (20.9 Kb) · 9185669.jpg (17.7 Kb)


 
 
KADETДата: Среда, 24.12.2014, 11:26 | Сообщение # 188
Генерал-майор
Группа: Проверенные
Сообщений: 337
Награды: 0
Репутация: 0
Статус: Offline


 
Работай из дома! 18+
 
 


Задача № 931

Заполните пустые места в таблице и отметьте на координатной прямой точки, имеющие своими координатами числа полученной таблицы.

Ответ на задание



Задача № 932

Решите уравнение:

а) — х = 607; б) — а = 30,4; в) - y=

Ответы на задание



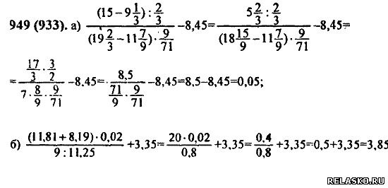
Задача № 933

Какие целые числа расположены на координатной прямой между числами:

Ответ на задачу



Задача № 934

Ответ на задание и решение



Задача № 935

Между какими целыми числами на координатной прямой расположено число:

Ответ на задачку

Фото: 9388465.jpg (27.4 Kb) · 6063960.jpg (17.0 Kb) · 3338889.jpg (23.7 Kb) · 5816561.jpg (21.9 Kb) · 1870148.jpg (16.2 Kb)


 
 
KADETДата: Среда, 24.12.2014, 11:28 | Сообщение # 189
Генерал-майор
Группа: Проверенные
Сообщений: 337
Награды: 0
Репутация: 0
Статус: Offline


 
Работай из дома! 18+
 
 


Задача № 936

Найдите числа, которые на координатной прямой находятся на расстоянии:

а) 6 единиц от числа —9; б) 10 единиц от числа 4; в) 10 единиц от числа —4; г) 100 единиц от числа 0.

Ответ на задание



Задача № 937

Начертите координатную прямую, приняв за единичный отрезок длину 4 клеток тетради, и отметьте на этой прямой точки

Ответы на задание



Задача № 938

Отметьте на «линии времени» следующие события из истории математики:

а) Книга «Начала» была написана Евклидом в III в. до н. э.
б) Теория чисел зародилась в Древней Греции в VI в. до н. э.
в) Десятичные дроби появились в Китае в III в.
г) Теория отношений и пропорций была разработана в Древней Греции в IV в. до н. э.
д) Позиционная десятичная система счисления распространилась в странах Востока в IX в. Сколько веков назад произошли эти события? Сравните «линию времени» и координатную прямую.

Ответ на задачу



Задача № 939

Укажите пары взаимно обратных чисел:

Ответ на задание и решение



Задача № 940

Витя купил 2,4 кг моркови. Сколько моркови купил Коля, если известно, что он купил:

а) на 0,7 кг больше Вити;
е) 5/4 того, что купил Витя;
б) на 0,9 кг меньше Вити;
ж) 0,5 того, что купил Витя;
в) в 3 раза больше Вити;
з) 20% того, что купил Витя;
г) в 1,2 раза меньше Вити;
и) 120% того, что купил Витя;
д) 3/8 того, что купил Витя;
к) на 20% больше того, что купил Витя?

Ответ на задачку

Фото: 0460209.jpg (16.6 Kb) · 6581794.jpg (19.5 Kb) · 6686402.jpg (43.7 Kb) · 5847473.jpg (16.9 Kb) · 6365574.jpg (31.5 Kb)


 
 
KADETДата: Среда, 24.12.2014, 11:36 | Сообщение # 190
Генерал-майор
Группа: Проверенные
Сообщений: 337
Награды: 0
Репутация: 0
Статус: Offline


 
Работай из дома! 18+
 
 


Задача № 941

Решите задачу:

1) Кирпичный завод должен был изготовить для строительства Дворца культуры 270 тыс. штук кирпича. В первую неделю он изготовил 4/9 задания, во вторую неделю он изготовил на 10% больше, чем в первую неделю. Сколько тысяч штук кирпича осталось изготовить заводу?

2) Колхоз продал государству за три дня 434 т зерна. В первыи день он продал 1031 этого количества, во второй день —на 10% меньше, чем в первый день, а в третий день — остальное зерно. Сколько тонн зерна продал колхоз в третий день?

Ответ на задание



Задача № 942

Ноты отличаются по длительности их звучания. Знаком обозначают целую, ноту вдвое короче — половинную, шестнадцатую

Ответы на задание



Задача № 943

Какие числа противоположны числам:

Ответ на задачу



Задача № 944

Запишите все натуральные числа, меньшие 5, и числа, им противоположные.

Ответ на задание и решение



Задача № 945

Ответ на задачку

Фото: 4987255.jpg (40.2 Kb) · 0137601.jpg (30.8 Kb) · 4072247.jpg (17.9 Kb) · 0693571.jpg (16.1 Kb) · 6934877.jpg (18.3 Kb)


 
 
KADETДата: Среда, 24.12.2014, 11:43 | Сообщение # 191
Генерал-майор
Группа: Проверенные
Сообщений: 337
Награды: 0
Репутация: 0
Статус: Offline


 
Работай из дома! 18+
 
 


Задача № 946

Во второй день со склада выдали в 2 раза больше проволоки, чем в первый день, а в третий день в 3 раза больше, чем в первый. Сколько килограммов проволоки выдали в эти три дня, если в первый день выдали на 30 кг меньше, чем в третий? 931. В колхозе на поливных землях собирали с гектара 60,8 ц пшеницы. Замена старого сорта пшеницы новым дает прибавку урожая на 25%. Сколько теперь пшеницы собирает колхоз с 23 га поливного поля?

Ответ на задание



Задача № 947

На поливных землях собирали с гектара 60,8 ц пшеницы.Замена старого сорта пшеницы новым даёт прибавку урожая на 25%. Сколько теперь пшеницы собирают с 23 га поливного поля?

В колхозе на поливных землях собирали с гектара 60,8 ц пшеницы. Замена старого сорта пшеницы новым дает прибавку урожая на 25%. Сколько теперь пшеницы собирает колхоз с 23 га поливного поля?

Ответы на задание



Задача № 948

Составьте по каждой схеме уравнение и решите его:

Ответ на задачу



Задача № 949

Ответ на задание и решение



Задача № 950

Ответ на задачку

Фото: 4731646.jpg (36.1 Kb) · 9805851.jpg (22.7 Kb) · 3587095.jpg (23.4 Kb) · 0837513.jpg (44.8 Kb) · 0808603.jpg (23.5 Kb)


 
 
KADETДата: Среда, 24.12.2014, 11:46 | Сообщение # 192
Генерал-майор
Группа: Проверенные
Сообщений: 337
Награды: 0
Репутация: 0
Статус: Offline


 
Работай из дома! 18+
 
 


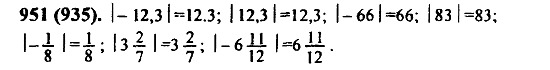
Задача № 951

Найдите модуль каждого из чисел: 81, 1,3; —5,2

Напишите соответствующие равенства.

Ответ на задание



Задача № 952

Найдите значение выражения |х|, если х= —12,3;

Ответы на задание



Задача № 953

Найдите расстояние (в единичных отрезках) от начала отсчета до каждой из точек: А (3,7), В ( — 7,8), С ( — 200)

Ответ на задачу



Задача № 954

Точка А лежит от начала отсчета влево на 5,8 единицы, а точка В — вправо на 9,8 единицы. Чему равна координата каждой точки? Чему равен модуль каждой координаты?

Ответ на задание и решение



Задача № 955

Найдите:
а) отрицательное число, модуль которого равен 25; ; 7,4;
б) положительное число, модуль которого равен 12; 1; ; 3,2.

Ответ на задачку

Фото: 1726732.jpg (21.4 Kb) · 8409988.jpg (16.1 Kb) · 0499960.jpg (60.4 Kb) · 3589489.jpg (18.5 Kb) · 9062486.jpg (17.0 Kb)


 
 
KADETДата: Среда, 24.12.2014, 11:47 | Сообщение # 193
Генерал-майор
Группа: Проверенные
Сообщений: 337
Награды: 0
Репутация: 0
Статус: Offline


 
Работай из дома! 18+
 
 


Задача № 956

Напишите все числа, имеющие модуль:

Ответ на задание



Задача № 957

Известно, что IаI=7. Чему равен | —а|?

Ответы на задание



Задача № 958

Из двух чисел выберите то, у которого модуль больше:

Ответ на задачу



Задача № 959

Среди чисел числа укажите пары:

а) противоположных чисел;
б) обратных чисел.

Ответ на задание и решение



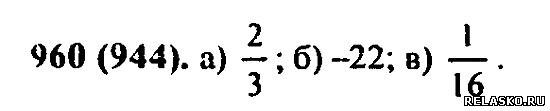
Задача № 960

Вычислите устно:

Ответ на задачку

Фото: 0872122.jpg (18.9 Kb) · 2085741.jpg (19.3 Kb) · 6768434.jpg (39.8 Kb) · 4187479.jpg (22.0 Kb) · 8781170.jpg (20.0 Kb)


 
 
KADETДата: Среда, 24.12.2014, 11:49 | Сообщение # 194
Генерал-майор
Группа: Проверенные
Сообщений: 337
Награды: 0
Репутация: 0
Статус: Offline


 
Работай из дома! 18+
 
 


Задача № 961

Какое из чисел на координатной прямой расположено правее: -2 или -1; -6 или -7; 0 или -4,2; - 11 или - 15?

Ответ на задание



Задача № 962

На рисунке 64, а изображен конус. Основание конуса — круг, а развертка боковой поверхности — сектор (см. рис. 64, б). Вычислите площадь поверхности конуса, если радиус его основания 3 см, а развертка боковой поверхности — сектор с прямым углом, радиус этого сектора 12 см. Есть ли в условии задачи лишние данные?

Ответы на задание



Задача № 963

Найдите значение k, если - k равно -3,5; 6,8;

Ответ на задачу



Задача № 964

Решите уравнение:

Ответ на задание и решение



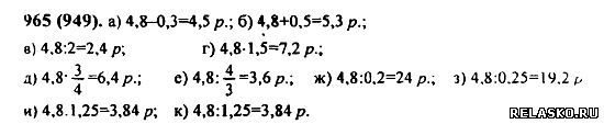
Задача № 965

Нина купила 4,8 м ткани. Сколько ткани купила Оля, если Нина купила :

а) на 0,3 м больше Оли:
б) на 0,5 м меньше Оли:
в) в 2 раза больше Оли;
г) в 1,5 раза меньше Оли
д) 3/4 того что купила оля
е) 4/3 того, что купила Оля
ж) 0,2 того, что купила Оля
з) 25% того что купила Оля
и) на 25% больше того, что купила Оля
к) 125% Того что купила Оля

Ответ на задачку

Фото: 8996386.jpg (14.8 Kb) · 4166785.jpg (51.1 Kb) · 1280228.jpg (20.0 Kb) · 4752182.jpg (17.3 Kb) · 6677836.jpg (29.4 Kb)


 
 
KADETДата: Среда, 24.12.2014, 11:51 | Сообщение # 195
Генерал-майор
Группа: Проверенные
Сообщений: 337
Награды: 0
Репутация: 0
Статус: Offline


 
Работай из дома! 18+
 
 


Задача № 966

Найдите значение выражения:

Ответ на задание



Задача № 967

Отметьте на координатной прямой числа, модули которых равны 3; 8; 1; 3,5;

Ответы на задание



Задача № 968

Из двух чисел выберите то, у которого больше модуль:

Ответ на задачу



Задача № 969

Площадь первого поля составляет 6/7 площади второго поля. Чему равна площадь первого поля, если площадь первого 12,6га?

Ответ на задание и решение



Задача № 970

На соревнованиях по бегу Иванов пробежал дистанцию за 73,2 с и его время составило 75% времени, показанного Сергеевым. Кто из них быстрее преодолел дистанцию? Какой результат показал Сергеев?

Ответ на задачку




Продолжение решебника по Математике ...
Фото: 6897492.jpg (58.4 Kb) · 4561339.jpg (17.8 Kb) · 3231158.jpg (43.8 Kb) · 3259368.jpg (17.6 Kb) · 7312017.jpg (20.1 Kb)


 
 
Поиск:

Работай из дома! 18+
 
 
 
 
 
 

 
Последние темы на форуме:
 
  • Новогодние праздники 2021-2022 официальные выходные
  • Показатели давления и сердцебиения у женщины 57 лет
  • Гороскоп на декабрь 2021 Женщина Телец
  • Гороскоп на январь 2022 от Павла Глоба
  • Гороскоп на декабрь 2021 от Павла Глоба
  • Гороскоп на ноябрь 2021 от Павла Глоба
  • Стенограмма судьбы - Содержание серий, актеры и роли сериала
  • Мосгаз. Западня - Содержание серий, актеры и роли 2021
  • Тобол - Содержание серий, актеры и роли сериала. 2021
  • Гороскоп для Тигра на сегодня от Павла Глоба
  • Утраченные воспоминания - Содержание серий, актеры и роли
  • Чёрно-белая любовь - Содержание серий, актеры и роли сериала
  • Забытая женщина - Содержание серий, актеры и роли сериала
  • Тайна спящей дамы - Содержание серий, актеры и роли сериала
  • Сериал Часы с кукушкой - Содержание серий, актеры и роли
  •  
     

     
    Обращаем ваше внимание на то, что данный интернет-сайт www.kinolog.do.am носит исключительно информационный характер и ни при каких условиях не является публичной офертой, определяемой положениями Статьи 437 (2) Гражданского кодекса РФ. Цена и наличие товара может отличаться от действительной. Пожалуйста, уточняйте цены и наличие товара у наших менеджеров.
    Администрация сайта не несет ответственности за действия и содержание размещаемой информации пользователей: комментарии, материалы, сообщения и темы на форуме, публикации, объявления и т.д.
    Правообладателям | Реклама | Учебники | Политика
    Отопление, водоснабжение, газоснабжение, канализация © 2003 - 2021
    Рейтинг@Mail.ru Рейтинг арматурных сайтов. ARMTORG.RU Яндекс.Метрика