[ Новые сообщения · Участники · Правила форума · Поиск · RSS ]
 
Работай из дома! 18+

ГДЗ по Математике. 6 класс
KADETДата: Среда, 24.12.2014, 11:53 | Сообщение # 196
Генерал-майор
Группа: Проверенные
Сообщений: 337
Награды: 0
Репутация: 0
Статус: Offline


 
Работай из дома! 18+
 
 




Задача № 971

Скорость грузовика составила 5/7скорости легковой автомашины. Найдите скоростиь легковой автомашины, если скорость грузовика на 22км/ч меньше скорости легковой автомашины?

Ответ на задание



Задача № 972

Урожайность хлопка на первом поле на 12.5% меньше урожайности хлопка на втором поле. Какова урожайность хлопка на 1 поле, если на 2 поле она равна 28ц с гектара.

Ответы на задание



Задача № 973

Ответ на задачу



Задача № 974

Отметьте на прямой числа

Ответ на задание и решение



Задача № 975

В Ростове и Воронеже измеряли температуру 1, 6, 11, 16, 21 и 26 декабря в 12 ч дня. Результаты (в градусах Цельсия) указаны в таблице. Сравните температуру в Ростове и Воронеже в одно и то же время.

Ответ на задачку

Фото: 2845255.jpg (29.7 Kb) · 2440247.jpg (24.4 Kb) · 0204745.jpg (25.1 Kb) · 6456403.jpg (19.5 Kb) · 5599109.jpg (42.6 Kb)


 
 
KADETДата: Среда, 24.12.2014, 11:54 | Сообщение # 197
Генерал-майор
Группа: Проверенные
Сообщений: 337
Награды: 0
Репутация: 0
Статус: Offline


 
Работай из дома! 18+
 
 


Задача № 976

Поставьте вместо * знак , что бы получилось верное равенство

Ответ на задание



Задача № 977

Пользуясь таблицей, назовите города сначала в порядке возрастания их высоты над уровнем Мирового океана, а затем в порядке убывания

Ответы на задание



Задача № 978

Ответ на задачу



Задача № 979

Между какими соседними целыми числами заключено число:

Ответ на задание и решение



Задача № 980

Известно, что х и у — положительные числа, а. m и n — отрицательные.

Сравните:

а) 0 и n; г) 0 и — m; ж) —m и n; к) — ImI и m;
б) у и 0; д) х и m; з) — х и у; л) х и IxI;
в) —х и 0; е) n и х; и) ImI и m; м) х и | —хI.

Ответ на задачку

Фото: 9854540.jpg (22.3 Kb) · 3034074.jpg (31.3 Kb) · 8091900.jpg (24.0 Kb) · 0644543.jpg (19.9 Kb) · 8824743.jpg (23.3 Kb)


 
 
KADETДата: Среда, 24.12.2014, 11:57 | Сообщение # 198
Генерал-майор
Группа: Проверенные
Сообщений: 337
Награды: 0
Репутация: 0
Статус: Offline


 
Работай из дома! 18+
 
 


Задача № 981

Запишите в виде неравенства предложение:

а) -4,3 — отрицательное число;
б) 27,1 — положительное число;
в) а — отрицательное число;
г) b — положительное число.

Ответ на задание



Задача № 982

Белка сидит на дереве в точке М (4), а дятел — в точке N (— 3). Какое расстояние от дятла до белки? Кто из них дальше от дупла, если дупло принято за начало отсчета?

Ответы на задание



Задача № 983

На улице температура а °С, а в квартире b °С. На сколько градусов температура в квартире выше, чем на улице? Решите задачу при:

а) а —12, b = 20;
б) а =—11, b = 19.

Ответ на задачу



Задача № 984

Какие числа имеют модуль, равный 2; 1,7 ; 0; 1; -(-4)?

Ответ на задание и решение



Задача № 985

Определите координаты точек B С и D, если А (m) (рис. 66)

Ответ на задачку

Фото: 1200096.jpg (19.7 Kb) · 0730510.jpg (16.6 Kb) · 2774991.jpg (15.9 Kb) · 3996949.jpg (17.7 Kb) · 6710441.jpg (19.4 Kb)


 
 
KADETДата: Среда, 24.12.2014, 11:59 | Сообщение # 199
Генерал-майор
Группа: Проверенные
Сообщений: 337
Награды: 0
Репутация: 0
Статус: Offline


 
Работай из дома! 18+
 
 


Задача № 986

Один купец имел 730 руб. И был должен другому 380 руб. Второй купец имел 970 руб. и был должен первому 460 руб. Сколько денег останется у каждого купца после взаимных расчетов? Попробуйте сформулировать задачу, используя понятие отрицательного числа?

Ответ на задание



Задача № 987

При каких значениях а верно равенство а+|а|=0 и при каких неверно?

Ответы на задание



Задача № 988

Возраст Москвы около 850 лет, Новгорода 1100 лет, Рима 2700 лет, Александрии 2300 лет, Киева более 1400 лет. В каком веке возник каждый из городов?

Ответ на задачу



Задача № 989

Найдите значение:

IxI — IуI, если х= —64,1, у= —7,6;
IxI +lyl. если х=— 54,5, у= 52,8.

Ответ на задание и решение



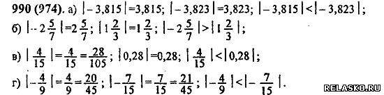
Задача № 990

Определите, у какого из двух чисел модуль больше:

Ответ на задачку

Фото: 2427564.jpg (25.8 Kb) · 6847581.jpg (15.8 Kb) · 3706225.jpg (48.3 Kb) · 4501362.jpg (25.4 Kb) · 1462588.jpg (39.5 Kb)


 
 
KADETДата: Среда, 24.12.2014, 12:02 | Сообщение # 200
Генерал-майор
Группа: Проверенные
Сообщений: 337
Награды: 0
Репутация: 0
Статус: Offline


 
Работай из дома! 18+
 
 


Задача № 991

Из рисунка 67 видно, что куб можно составить из шести одинаковых четырехугольных пирамид, у которых вершина О, а основаниями служат грани куба. Найдите объем пирамиды, если ребро куба 1,2 см. Найдите ребро куба, если объем одной пирамиды 1/6 см3 .

Ответ на задание



Задача № 992

Найдите неизвестный член пропорции: 1) 3,5:х = 0,8:2,4; 2) 6,8:2,5=х: 1,5.

Ответы на задание



Задача № 993

Решите задачу:

1) Для приготовления компота смешали 2,5 кг яблок, 2 кг груш и 0,5 кг вишен. Найдите процентное содержание каждого вида фруктов, взятых для приготовления компота.

2) Смешали 0,16 кг грузинского, 0,52 кг азербайджанского и 0,12 кг индийского чая. Найдите процентное содержание каждого вида чая в полученной смеси.

Ответ на задачу



Задача № 994

Вычислите:

61,71 :((14,42-13,74) .1,5)+63,163:7,61;
73,32:((15,41-14,76). 1,6)+55,186:6,73.

Ответ на задание и решение



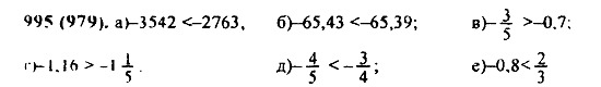
Задача № 995

Поставьте вместо * знак > или <С так, чтобы получилось верное неравенство:

Ответ на задачку

Фото: 0798532.jpg (38.0 Kb) · 7413608.jpg (17.4 Kb) · 3054730.jpg (44.1 Kb) · 8938678.jpg (28.6 Kb) · 8441757.jpg (20.4 Kb)


 
 
KADETДата: Среда, 24.12.2014, 12:04 | Сообщение # 201
Генерал-майор
Группа: Проверенные
Сообщений: 337
Награды: 0
Репутация: 0
Статус: Offline


 
Работай из дома! 18+
 
 


Задача № 996

Какие цифры можно написать вместо *, чтобы получилось верное неравенство:

Ответ на задание



Задача № 997

Расположите числа 2,8; 0,5; 0; —1; —1,1; 0,1 и —1,6:

а) в порядке возрастания;
б) в порядке убывания.

Ответы на задание



Задача № 998

За контрольную работу 6 человек получили отметку «5», 10 человек — «4», а остальные четверо — «3». Сколько процентов всех учащихся получили отметку «5», сколько «4» и сколько «3»?

Ответ на задачу



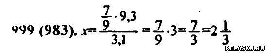
Задача № 999

Найдите неизвестный член пропорции : 3,1 = х:9,3.

Ответ на задание и решение



Задача № 1000

Вычислите:

Ответ на задачку

Фото: 6949378.jpg (20.8 Kb) · 1847214.jpg (15.4 Kb) · 8797346.jpg (23.7 Kb) · 4430961.jpg (20.9 Kb) · 6830757.jpg (38.0 Kb)


 
 
KADETДата: Среда, 24.12.2014, 13:17 | Сообщение # 202
Генерал-майор
Группа: Проверенные
Сообщений: 337
Награды: 0
Репутация: 0
Статус: Offline


 
Работай из дома! 18+
 
 


Задача № 1001

Объясните смысл предложения:

а) изменение температуры равно t °С, если t = 28; -30; -8; 4,5; -1,7;
б) изменение длины пружины равно х миллиметрам, если х = -10; 12; -9; -4.

Ответ на задание



Задача № 1002

Изменение температуры равно m градусам. Чему равно т, если температура:

а) понизилась на 6 °С;
б) повысилась на 3,6 °С;
в) повысилась на 60 °С;
г) понизилась на 3,4 °С?

Ответы на задание



Задача № 1003

Изменение длины пружины равно с мм. Чему равно с, если длина пружины:

а) увеличилась на 6 мм;
б) уменьшилась на 5 мм;
в) уменьшилась на 23 мм;
г) увеличилась на 18 мм?

Ответ на задачу



Задача № 1004

Прочитайте показания термометров, изображенных на рисунке 69. Какую температуру будет показывать каждый из этих термометров, если температура изменится: а) на -1 °С; б) на 1 °С; в) на 2 °С; г) на -2 °С?

Ответ на задание и решение



Задача № 1005

Отметьте на координатной прямой точку А (2). Укажите:

а) точку В, в которую перейдет точка А при перемещении на —6;
б) точку С, в которую перейдет точка А при перемещении на 6;
в) точку Dy в которую перейдет точка А при перемещении на —7;
г) точку Е, в которую перейдет точка А при перемещении на 3.

Назовите координаты точек В, С, D и Е.

Ответ на задачку

Фото: 0775196.jpg (36.6 Kb) · 0433432.jpg (17.3 Kb) · 4697119.jpg (16.2 Kb) · 9710245.jpg (42.4 Kb) · 7175174.jpg (19.6 Kb)
 
 
KADETДата: Среда, 24.12.2014, 13:21 | Сообщение # 203
Генерал-майор
Группа: Проверенные
Сообщений: 337
Награды: 0
Репутация: 0
Статус: Offline


 
Работай из дома! 18+
 
 


Задача № 1006

На сколько единиц переместилась точка Р (4) по координатной прямой, если она попала в точку К ( - 2)? А если она попала в точку Т (6)?

Ответ на задание



Задача № 1007

Среди чисел укажите числа:

а) положительные;
б) отрицательные;
в) неположительные;
г) неотрицательные;
д) не являющиеся ни положительными, ни отрицательными.

Ответы на задание



Задача № 1008

Верно ли неравенство: а>6; d<a; b>c; a>c; d>b (рис. 70)?

Ответ на задачу



Задача № 1009

На рисунке 71 под цифрой 1 показан вид фигуры спереди, а под цифрой 2 — вид сверху. Какая это фигура?

Ответ на задание и решение



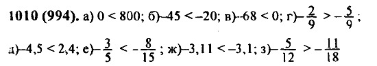
Задача № 1010

Сравните числа:

Ответ на задачку

Фото: 8838335.jpg (18.5 Kb) · 8645253.jpg (15.9 Kb) · 0428065.jpg (17.0 Kb) · 1788107.jpg (16.8 Kb) · 8116580.jpg (25.8 Kb)
 
 
KADETДата: Среда, 24.12.2014, 13:28 | Сообщение # 204
Генерал-майор
Группа: Проверенные
Сообщений: 337
Награды: 0
Репутация: 0
Статус: Offline


 
Работай из дома! 18+
 
 


Задача № 1011

Какие целые числа заключены между числами:

Ответ на задание



Задача № 1012

Назовите какое-нибудь число, которое:

Ответы на задание



Задача № 1013

Из всего собранного зерна пшеница составляла 80%, причем 70% этой пшеницы была пшеница твердых сортов. Сколько тонн зерна было собрано, если твердой пшеницы было собрано 560 т?

Ответ на задачу



Задача № 1014

Площадь прямоугольника 11,7 дм2, ширина этого прямоугольника 2,6 дм. Все его стороны увеличили на 0,2 дм. Найдите площадь нового прямоугольника.

Ответ на задание и решение



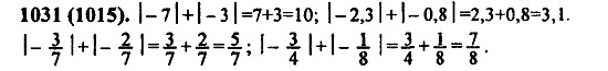
Задача № 1015

В воскресенье утром температура воздуха была — 2 °С. Какой стала температура воздуха в понедельник, если за сутки она изменилась: а) на —5 °С; б) на 3 °С; в) на 2 °С?

Ответ на задачку

Фото: 3906808.jpg (23.4 Kb) · 7021838.jpg (18.3 Kb) · 9338286.jpg (17.2 Kb) · 1042208.jpg (21.8 Kb) · 9292771.jpg (18.0 Kb)


 
 
KADETДата: Среда, 24.12.2014, 13:32 | Сообщение # 205
Генерал-майор
Группа: Проверенные
Сообщений: 337
Награды: 0
Репутация: 0
Статус: Offline


 
Работай из дома! 18+
 
 


Задача № 1016

Отметьте на координатной прямой точку С (— 4). Укажите точку В, в которую перейдет точка С при перемещении по координатной прямой на — 3, и точку D, в которую перейдет точка С при перемещении на+ 9.

Ответ на задание



Задача № 1017

Отметьте на координатной прямой точку М (— 4). После перемещения по координатной прямой она попала в точку С (3). Чему равно перемещение?

Ответы на задание



Задача № 1018

Имелась пачка бумаги. На перепечатывание одной рукописи израсходовали 21-07-251.jpg- пачки. На перепечатывание другой рукописи ушло 0,8 остатка. Сколько листов бумаги было в пачке, если после перепечатывания этих двух рукописей в ней осталось 40 листов?

Ответ на задачу



Задача № 1019

Найдите значение выражения:

Ответ на задание и решение



Задача № 1020

Найдите с помощью координатной прямой сумму чисел:

Ответ на задачку

Фото: 0857305.jpg (16.4 Kb) · 2562205.jpg (18.9 Kb) · 0555266.jpg (46.9 Kb) · 3581399.jpg (29.0 Kb) · 6376665.jpg (19.2 Kb)
 
 
KADETДата: Среда, 24.12.2014, 13:34 | Сообщение # 206
Генерал-майор
Группа: Проверенные
Сообщений: 337
Награды: 0
Репутация: 0
Статус: Offline


 
Работай из дома! 18+
 
 


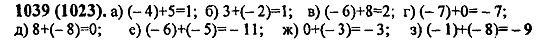
Задача № 1021

Выполните сложение чисел:

4 и 0; 0 и —3; —5 и 0; —3 и 3; 7 и —7.

Ответ на задание



Задача № 1022

Найдите значение выражения:

а) (-3,9 + 3,9) + (-9,1); б) 0+(4,8 + (-4,8)).

Ответы на задание



Задача № 1023

На координатной прямой отмечены числа а и а + 1 (рис. 78). Изобразите на этой же прямой числа а + 2; а + ( —3); а + (-4,5);

Ответ на задачу



Задача № 1024

На координатной прямой точке А соответствует число а+ 4, а точке В — число а + ( —4). Какое число соответствует середине отрезок АВ?

Ответ на задание и решение



Задача № 1025

Температура воздуха была — 2 °С. Какой стала температура воздуха, когда она изменилась на 3 °С; на 1 °С; на 2 °С; на —3 °С; на 5 °С; на — 4 °С? Сложение чисел выполняйте с помощью координатной прямой.

Ответ на задачку

Фото: 3304344.jpg (16.1 Kb) · 4958797.jpg (19.4 Kb) · 6036052.jpg (19.4 Kb) · 1268041.jpg (20.9 Kb) · 0588301.jpg (16.9 Kb)
 
 
KADETДата: Среда, 24.12.2014, 13:37 | Сообщение # 207
Генерал-майор
Группа: Проверенные
Сообщений: 337
Награды: 0
Репутация: 0
Статус: Offline


 
Работай из дома! 18+
 
 


Задача № 1026

Вычислите устно:

Ответ на задание



Задача № 1027

Назовите координаты точек A, K,C,D, М и В (рис. 7-9).

Ответы на задание



Задача № 1028

Какие числа на координатной прямой удалены:

а) от числа 4 на 5 единиц;
б) от числа —1 на 3 единицы;
в) от числа —6 на 4 единицы?

Ответ на задачу



Задача № 1029

Сколько целых чисел расположено между числами -50,5 и 50,5?

Ответ на задание и решение



Задача № 1030

Может ли быть положительным, отрицательным, нулем выражение: а) -а; б) -(-а)?

Ответ на задачку

Фото: 8397941.jpg (18.9 Kb) · 5330592.jpg (17.9 Kb) · 2128811.jpg (16.2 Kb) · 6003142.jpg (18.7 Kb) · 0565016.jpg (21.8 Kb)
 
 
KADETДата: Среда, 24.12.2014, 13:42 | Сообщение # 208
Генерал-майор
Группа: Проверенные
Сообщений: 337
Награды: 0
Репутация: 0
Статус: Offline


 
Работай из дома! 18+
 
 


Задача № 1031

Найдите сумму: l-7| + l-3|; I — 2.3I + I — 0.8I;

Ответ на задание



Задача № 1032

Сравните числа:

Ответы на задание



Задача № 1033

78% всех выстрелов попало в цель. Сколько было сделано выстрелов, если в цель попало 156 пуль?

Ответ на задачу



Задача № 1034

От провода длиной 13 м отрезали 30% его длины. Сколько метров провода осталось?

Ответ на задание и решение



Задача № 1035

Из 15 срезанных цветов 9 завяло. Сколько процентов срезанных цветов завяло?

Ответ на задачку

Фото: 1189463.jpg (24.8 Kb) · 7170835.jpg (17.9 Kb) · 9308064.jpg (15.1 Kb) · 1299991.jpg (17.0 Kb) · 1188217.jpg (15.0 Kb)
 
 
KADETДата: Среда, 24.12.2014, 13:46 | Сообщение # 209
Генерал-майор
Группа: Проверенные
Сообщений: 337
Награды: 0
Репутация: 0
Статус: Offline


 
Работай из дома! 18+
 
 


Задача № 1036

Стенной шкаф имеет высоту 1,8 м. Его глубина составляет 30% высоты, а ширина 250% глубины. Найдите объем шкафа.

Ответ на задание



Задача № 1037

Выполните действия:

1) 61,7 • 52,1 — 43,6 • ((119,62 + 218,48): 13,8),
2) 73,2 • 48,3 - 37,4 • ((166,02 + 219,38): 16,4).


Ответы на задание



Задача № 1038

На рисунке показаны две башни Московского Кремля — Арсенальная и Тайницкая. Рассмотрите форму отдельных их частей: использованы ли архитекторами известные вам фигуры — призма, цилиндр, пирамида, конус? Проверьте, нет ли элементов, размеры которых находятся в отношении золотого сечения.

Ответ на задачу



Задача № 1039

Найдите с помощью координатной прямой сумму чисел:

а) — 4 и 5; в) —6 и 8; д) 8 и —8; ж) 0 и —3;
б) 3 и —2; г) — 7 и 0; е) —6 и —5; з) —1 и —8.

Ответ на задание и решение



Задача № 1040

В пятых классах школы 80 человек. Из них отличники составляют 21,25%. В шестых классах 90 человек. Отличники составляют 20%. В каких классах больше отличников и на сколько человек?

Ответ на задачку

Фото: 4317117.jpg (18.8 Kb) · 0724073.jpg (37.4 Kb) · 8503942.jpg (19.7 Kb) · 7659221.jpg (22.4 Kb) · 8551331.jpg (22.9 Kb)
 
 
KADETДата: Среда, 24.12.2014, 13:51 | Сообщение # 210
Генерал-майор
Группа: Проверенные
Сообщений: 337
Награды: 0
Репутация: 0
Статус: Offline


 
Работай из дома! 18+
 
 


Задача № 1041

Найдите объем прямоугольного параллелепипеда, длина которого 21 см, а ширина составляет длины и 30% высоты.

Ответ на задание



Задача № 1042

Найдите значение выражения:

а) (203-20,809 — 150 + 83,079): :(1,3472 +1,1528);
б) 30,3 • (124,9 - (48,96:6,8 + 36,04): 9,2).

Ответы на задание



Задача № 1043

Число -2 изменили на -5. С какой стороны от начала отсчета расположено получившееся число? На каком расстоянии от начала отсчета оно находится? Чему равна сумма -2 и -5?

Ответ на задачу



Задача № 1044

За первую половину ночи температура изменилась на -5, а за вторую -4.На сколько градусов изменилась температура за ночь?

Ответ на задание и решение



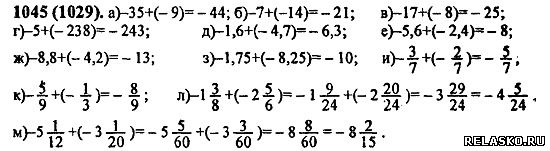
Задача № 1045

Ответ на задачку




Продолжение решебника по Математике ...
Фото: 2989000.jpg (22.8 Kb) · 9136558.jpg (40.8 Kb) · 9723442.jpg (20.3 Kb) · 7644932.jpg (15.3 Kb) · 5307834.jpg (46.7 Kb)


 
 
Поиск:

Работай из дома! 18+
 
 
 
 
 
 

 
Последние темы на форуме:
 
  • Новогодние праздники 2021-2022 официальные выходные
  • Показатели давления и сердцебиения у женщины 57 лет
  • Гороскоп на декабрь 2021 Женщина Телец
  • Гороскоп на январь 2022 от Павла Глоба
  • Гороскоп на декабрь 2021 от Павла Глоба
  • Гороскоп на ноябрь 2021 от Павла Глоба
  • Стенограмма судьбы - Содержание серий, актеры и роли сериала
  • Мосгаз. Западня - Содержание серий, актеры и роли 2021
  • Тобол - Содержание серий, актеры и роли сериала. 2021
  • Гороскоп для Тигра на сегодня от Павла Глоба
  • Утраченные воспоминания - Содержание серий, актеры и роли
  • Чёрно-белая любовь - Содержание серий, актеры и роли сериала
  • Забытая женщина - Содержание серий, актеры и роли сериала
  • Тайна спящей дамы - Содержание серий, актеры и роли сериала
  • Сериал Часы с кукушкой - Содержание серий, актеры и роли
  •  
     

     
    Обращаем ваше внимание на то, что данный интернет-сайт www.kinolog.do.am носит исключительно информационный характер и ни при каких условиях не является публичной офертой, определяемой положениями Статьи 437 (2) Гражданского кодекса РФ. Цена и наличие товара может отличаться от действительной. Пожалуйста, уточняйте цены и наличие товара у наших менеджеров.
    Администрация сайта не несет ответственности за действия и содержание размещаемой информации пользователей: комментарии, материалы, сообщения и темы на форуме, публикации, объявления и т.д.
    Правообладателям | Реклама | Учебники | Политика
    Отопление, водоснабжение, газоснабжение, канализация © 2003 - 2021
    Рейтинг@Mail.ru Рейтинг арматурных сайтов. ARMTORG.RU Яндекс.Метрика